Skip to main content

Variation along the year of trace metal levels in the compartments of the seagrass Posidonia oceanica in Port El Kantaoui, Tunisia

Abstract

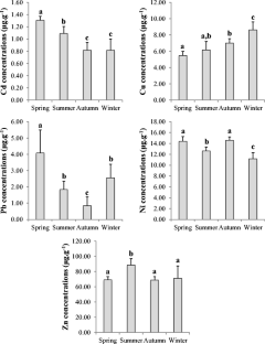
The accumulation of the five trace metals (TMs) cadmium, copper, lead, nickel and zinc was measured in Posidonia oceanica leaves. Shoots were seasonally sampled at 8–10-m depth from four stations located in Port El Kantaoui area, Tunisia, during four campaigns performed in 2012. Levels of the five TMs were analyzed using inductively coupled plasma atomic emission spectrometry (ICP-AES) in three compartments of P. oceanica shoots: blades and sheaths of adult leaves and intermediate leaves. Results showed a preferential accumulation of Cd, Pb, Ni and Zn in adult leaf blades. Therefore, we focus on the study of this compartment. TM levels of blades of adult leaves decreased in the following order: Zn > Ni > Cu > Pb > Cd, irrespective of the season. Levels of the five TMs significantly differed between seasons (p < 0.01). Levels of Cd and Cu showed a seasonal pattern: Cd decreased from spring to winter while Cu increased during that same period of time. A significant correlation (p < 0.01) was found between Cd–Cu and Cd–Pb. A significant correlation (p < 0.05) was also noted between Cd-Ni in the adult leaf blades. A relationship was recorded between the foliar surface of the adult leaf blades and Zn accumulation. This survey allowed to highlight the annual variation of TM accumulation in adult leaf blades of P. oceanica, in relation with ecophysiology of this seagrass. Therefore, this study reinforces the usefulness and the relevance of this compartment of P. oceanica, easy to sample without destruction of whole shoot, as a bioindicator of Zn, Ni, Cd and Pb contamination.

This is a preview of subscription content, access via your institution.

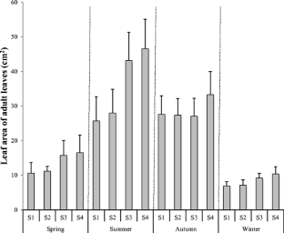
Fig. 1
Fig. 2
Fig. 3

References

  • Ben Brahim M, Hamza A, Hannachi I et al (2010) Variability in the structure of epiphytic assemblages of Posidonia oceanica in relation to human interferences in the Gulf of Gabes, Tunisia. Mar Environ Res 70:411–421

    CAS  Article  Google Scholar 

  • Ben Brahim M, Hamza A, Ismail SB et al (2013) What factors drive seasonal variation of phytoplankton, protozoans and metazoans on leaves of Posidonia oceanica and in the water column along the coast of the Kerkennah Islands, Tunisia? Mar Pollut Bull 71:286–298

    Article  Google Scholar 

  • Boudouresque CF, Bernard G, Bonhomme P et al (2006) Préservation et conservation des herbiers à Posidonia oceanica. Ramoge, Monaco

  • Bourgou M (1999) Les ports du Sahel au Nord de Monastir. In: Cérès (ed) La Méditerrannée: l’Homme et la mer, Série géographie 21, Tunisie, pp 259–276

  • Bryan GW (1983) Brown seaweed, Fucus vesiculosus, and the gastropod, Littorina littoralis, as indicators of trace-metal availability in estuaries. Sci Total Environ 28:91–104

    CAS  Article  Google Scholar 

  • Campanella L, Conti ME, Cubadda F et al (2001) Trace metals in seagrass, algae and molluscs from an uncontaminated area in the Mediterranean. Environ Pollut 111(1):117–126

    CAS  Article  Google Scholar 

  • Catsiki V, Panayotidis P (1993) Copper, chromium and nickel in tissues of the Mediterranean seagrasses Posidonia oceanica and Cymodocea nodosa (Potamogetonaceae) from Greek coastal areas. Chemosphere 26(5):963–978

    CAS  Article  Google Scholar 

  • Catsiki VA, Bei F (1992) Determination of trace metals in benthic organisms from an unpolluted area: Cyclades Islands (Aegean Sea). Fresenius Environ Bull 1:60–65

    Google Scholar 

  • Chouba L, Mzoughi N (2013) Assessment of heavy metals in sediment and in suspended particles affected by multiple anthropogenic contributions in harbours. Int J Environ Sci Technol 10:779–788. doi:10.1007/s13762-013-0233-0

    CAS  Article  Google Scholar 

  • Chouba L, Mzoughi-Aguir N (2006) Les métaux traces (Cd, Pb et Hg) et les hydrocarbures totaux des sédiments superficiels de la frange côtière du golfe de Gabès. Bull Inst Natn Scien Tech Mer de Salammbô 33:93–100

    Google Scholar 

  • Conti M, Iacobucci M, Cecchetti G (2007) A biomonitoring study: trace metals in seagrass, algae and molluscs in a marine reference ecosystem (Southern Tyrrhenian Sea). Int J Environ Pollut 29(1–3):308–332

    CAS  Article  Google Scholar 

  • Conti ME, Bocca B, Iacobucci M et al (2010) Baseline trace metals in seagrass, algae, and mollusks in southern Tyrrhenian ecosystem (Linosa island, Sicily). Arch Environ Contam Toxicol 58:79–95

    CAS  Article  Google Scholar 

  • Dauby P, Poulicek M (1995) Methods for removing epiphytes from seagrasses: SEM observations on treated leaves. Aquat Bot 52(3):217–228

    Article  Google Scholar 

  • EC (2008) Directive 2008/56/EC of the European Parliament and of the Council of 17 June 2008 establishing a framework for community action in the field of marine environmental policy (Marine Strategy Framework Directive). Off J Eur Commun. L 164/19, 25.6.2008

  • Foster P (1976) Concentrations and concentration factors of heavy metals in brown algae. Environ Pollut 10:45–53

    CAS  Article  Google Scholar 

  • Giraud G (1977) Essai de classement des herbiers de Posidonia oceanica (Linné) Delile. Bot Mar 20(8):487–491

    Article  Google Scholar 

  • Gosselin M, Bouquegneau JM, Lefèbvre F et al (2006) Trace metal concentrations in Posidonia oceanica of North Corsica (northwestern Mediterranean Sea): use as a biological monitor? BMC Ecol 6(12):1–19

    Google Scholar 

  • Govindaraju K (1994) Compilation of working values and sample description for 383 geostandards. Geostandards Newslett Issue Supplement 18:1–158

  • Hafeez B, Khanif YM, Saleem M (2013) Role of zinc in plant nutrition—a review. Am J Exp Agric 3(2):374–391

    CAS  Article  Google Scholar 

  • Ikem A, Egiebor NO (2005) Assessment of trace elements in canned fishes (Mackerel, Tuna, Salmon, Sardines and Herrings) marketed in Georgia and Alabama (United States of America). J Food Comp Anal 18(8):771–787

    CAS  Article  Google Scholar 

  • Lafabrie C, Pergent G, Kantin R et al (2007) Trace metals assessment in water, sediment, mussel and seagrass species—validation of the use of Posidonia oceanica as a metal biomonitor. Chemosphere 68(11):2033–2039

    CAS  Article  Google Scholar 

  • Lafabrie C, Pergent-Martini C, Pergent G (2008) Metal contamination of Posidonia oceanica meadows along the Corsican coastline (Mediterranean). Environ Pollut 151:262–268

    CAS  Article  Google Scholar 

  • Ledent G, Warnau M, Temara A et al (1993) Contamination par les métaux lourds et dynamiques de l’accumulation du cadmium chez la phanérogame marine Posidonia oceanica. In: Boudouresque CF, Avon M, Pergent-Martini C (eds) Qualité du milieu marin—Indicateurs biologiques et physico chimiques. GIS Posidonie publ, Marseille, pp 249–259

    Google Scholar 

  • Kucuksezgin F, Kontas A, Altay O et al (2006) Assessment of marine pollution in Izmir Bay: nutrient, heavy metal and total hydrocarbon concentrations. Environ Int 32:41–51

    CAS  Article  Google Scholar 

  • Luy N, Gobert S, Sartoretto S et al (2012) Chemical contamination along the Mediterranean French coast using Posidonia oceanica (L.) Delile above-ground tissues: a multiple trace element study. Ecol Indic 18(1):269–277

    CAS  Article  Google Scholar 

  • Mabrouk L, Ben Brahim M, Hamza A et al. (2014) Temporal and spatial zonation of macroepiphytes on Posidonia oceanica (L.) Delile leaves in a meadow off Tunisia. Mar Ecol: Evol Persp doi: 10.1111/maec.12118

  • Mabrouk L, Hamza A, Mahfoudi M et al (2012) Spatial and temporal variations of epiphytic Ostreopsis siamensis on Posidonia oceanica (L.) Delile leaves in Mahdia (Tunisia). Cah Biol Mar 53:419–427

    Google Scholar 

  • Malea P, Haritonidis S (1995) Local distribution and seasonal variation of Fe, Pb, Zn, Cu, Cd, Na, K, Ca and Mg concentrations in the seagrass Cymodocea nodosa (Ucria) Aschers in the Antikyra Gulf, Greece. PSZNI Mar Ecol 16:41–56

    CAS  Article  Google Scholar 

  • Malea P, Haritonidis S, Kevrekidis T (1994) Seasonal and local variation of metal concentrations in the seagrass Posidonia oceanica (L.) Delile in the Antikyra Gulf, Greece. Sci Total Environ 153(3):225–235

    CAS  Article  Google Scholar 

  • Malea P, Kevrekidis T, Potouroglou M (2013) Seasonal variation of trace metal (Mn, Zn, Cu, Pb, Co, Cd) concentrations in compartments of the seagrass Cymodocea nodosa. Bot Mar 56:169–184

    CAS  Article  Google Scholar 

  • Pergent-Martini C, Pergent G (2000) Marine phanerogams as a tool in the evaluation of marine trace-metal contamination: an example from the Mediterranean. Int J Environ Pollut 13:1–6

    Article  Google Scholar 

  • Richir J, Gobert S (2014) A reassessment of the use of Posidonia oceanica and Mytilus galloprovincialis to biomonitor the coastal pollution of trace elements: new tools and tips. Mar Pollut Bull 89:390–406

    CAS  Article  Google Scholar 

  • Richir J, Luy N, Lepoint G et al (2013) Experimental in situ exposure of the seagrass Posidonia oceanica (L.) Delile to 15 trace elements. Aquat Toxicol 140–141:157–173. doi:10.1016/j.aquatox.2013.05.018

    Article  Google Scholar 

  • Richir J, Salivas-Decaux C, Lafabrie C et al. (2015) Bioassessment of trace element contamination of Mediterranean coastal waters using the seagrass Posidonia oceanica. J Environ Manag doi:10.1016/j.jenvman.2014.11.015

  • Roberts DA, Johnston EL, Poore AG (2008) Biomonitors and the assessment of ecological impacts: distribution of herbivorous epifauna in contaminated macroalgal beds. Environ Pollut 156(2):489–503

    CAS  Article  Google Scholar 

  • Sanz-Lázaro C, Malea P, Apostolaki ET et al (2012) The role of the seagrass Posidonia oceanica in the cycling of trace elements. Biogeosciences 9:2497–2507

    Article  Google Scholar 

  • Sghaier YR, Zakhama-Sraieb R, Charfi-Cheikhrouha F (2013) Patterns of shallow seagrass (Posidonia oceanica) growth and flowering along the Tunisian coast. Aquat Bot doi: 10.1016/j/aquabot.2011.09.006

  • Underwood AJ (1981) Techniques of analysis of variance in experimental biology and ecology. Oceanogr Mar Biol Ann Rev 19:513–605

    Google Scholar 

  • Underwood AJ (1997) Experiments in ecology: their logical design and interpretation using analysis of variance. Cambridge University Press, Cambridge

    Google Scholar 

  • UNEP/MAP (2011) Convention for the Protection of the Marine Environment and the Coastal Region of the Mediterranean and its Protocols. UNEP/MAP–Barcelona Convention, Athens

    Google Scholar 

  • Warnau M, Fowler SW, Teyssie JL (1996) Biokinetics of selected heavy metals and radionuclides in two marine macrophytes: the seagrass Posidonia oceanica and the alga Caulerpa taxifolia. Mar Environ Res 41(4):343–362

    CAS  Article  Google Scholar 

Download references

Acknowledgements

The authors would like to thank the reviewers for their comments that help improve the manuscript. We thank Dr Joseph A. Borg from the University of Malta and Dr Demian Willette from University of Loyola Marymount for improving the English language. The project “MAnagement of Port areas in the MEDiterranean Sea Basin (MAPMED)” has been funded by ENPI CBC MED Cross-Border Cooperation. This publication has been produced with the financial assistance of the European Union under the ENPI CBC Mediterranean Sea Basin Programme. The contents of this document are the sole responsibility of FST and UNICA (DICAAR) and can under no circumstances be regarded as reflecting the position of the European Union or of the Programme’s management structures.

Author information

Affiliations

Authors

Corresponding author

Correspondence to Rym Zakhama-Sraieb.

Additional information

Responsible editor: Philippe Garrigues

Rights and permissions

Reprints and Permissions

About this article

Verify currency and authenticity via CrossMark

Cite this article

Zakhama-Sraieb, R., Sghaier, Y.R., Hmida, A.B. et al. Variation along the year of trace metal levels in the compartments of the seagrass Posidonia oceanica in Port El Kantaoui, Tunisia. Environ Sci Pollut Res 23, 1681–1690 (2016). https://doi.org/10.1007/s11356-015-5163-6

Download citation

  • Received:

  • Accepted:

  • Published:

  • Issue Date:

  • DOI: https://doi.org/10.1007/s11356-015-5163-6

Keywords

  • Trace metals
  • Seasonal variation
  • Posidonia oceanica
  • Compartment
  • Port El Kantaoui
  • Tunisia