Skip to main content

Ectoine alleviates behavioural, physiological and biochemical changes in Daphnia magna subjected to formaldehyde

Abstract

Ectoine (ECT) is produced by halophilic microorganisms in response to various stressful factors. Its protective properties in bacteria and some populations of isolated cells are known; however, no data are available on its protective influence on aquatic invertebrates subjected to a common pollutant, formaldehyde (FA). The purpose of this study was to determine the effects of FA alone (at 20 and 60 mg/L) and in the combination with various concentrations of ECT (5, 10 and 25 mg/L) at various times of exposure on behavioural, physiological and biochemical parameters of Daphnia magna. Specifically, mortality, heart rate, thoracic limb movement, reduced glutathione (GSH)/oxidised glutathione (GSSG) ratio, catalase (CAT) activity and nitric oxide (NOx) levels were determined. The results showed that both concentrations of FA when administered alone induced significant alterations of the determined parameters. On the other hand, animals treated with the combinations of FA + ECT showed decreased mortalities, attenuated inhibition of heart rates and thoracic limb activities, less decreased GSH/GSSG ratios, lower stimulation of CAT activities and NOx levels when compared to the crustaceans subjected to FA alone. The most distinct attenuation of toxic effects was observed in the combinations in which the highest concentrations of ECT were used. The results suggest that oxidative stress induced by FA in daphnids is likely to be alleviated by the antioxidative action of ECT.

This is a preview of subscription content, access via your institution.

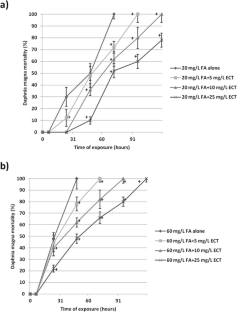
Fig. 1
Fig. 2
Fig. 3
Fig. 4
Fig. 5
Fig. 6
Fig. 7

References

  • Abdel-Aziz H, Wadi W, Abdallah DM, Lentzen G, Khayyal MT (2013) Novel effects of ectoine, a bacteria-derived natural tetrahydropyrimidine, in experimental colitis. Phytomedicine: Int J Phytother Phytopharmacol 20:585–591

    CAS  Article  Google Scholar 

  • Adamian TI, Gevorkian ÉS, Voskanian AV, Minasian SM (2012) Antitoxic influence of taurine. Patol Fiziol Eksp Ter 2:39–41

    Google Scholar 

  • Ahmad I, Oliveira M, Pacheco M, Santos MA (2005) Anguilla L. oxidative stress biomarkers responses to copper exposure with or without beta-naphthoflavone pre-exposure. Chemosphere 61:267–275

    CAS  Article  Google Scholar 

  • American Society of Testing and Materials (1986) Standard practice for conducting static acute toxicity tests on wastewaters with daphnia: annual book of ASTM standards. ASTM: Phila 11.04:D4229–D4284

    Google Scholar 

  • Aruoma OI, Halliwell B, Hoey BM, Butler J (1988) The antioxidant action of taurine, hypotaurine and their metabolic precursors. Biochem J 256:251–255

    CAS  Article  Google Scholar 

  • Barata C, Varo I, Navarro JC, Arun S, Porte C (2005) Antioxidant enzyme activities and lipid peroxidation in the freshwater cladoceran Daphnia magna exposed to redox cycling compounds. Comp Biochem Physiol C Toxicol Pharmacol 140:175–186

  • Bircan FS, Balabanli B, Turkozkan N, Ozan G (2011) Effects of taurine on nitric oxide and 3-nitrotyrosine levels in spleen during endotoxemia. Neurochem Res 36:1978–1983. doi:10.1007/s11064-011-0521-3

    CAS  Article  Google Scholar 

  • Boja JW, Nielsen JA, Foldvary E, Truitt EB (1985) Acute low level formaldehyde behavioural and neurochemical toxicity in the rat. Prog Neuro-Psychopharmacol Biol Psychiatry 9:671

    CAS  Article  Google Scholar 

  • Bownik A, Stępniewska Z (2015) Protective effects of ectoine on behavioral, physiological and biochemical parameters of daphnia magna subjected to hydrogen peroxide. Comp Biochem Physiol Part C: Toxicol Pharmacol 170:38–49

    CAS  Google Scholar 

  • Bownik A, Stępniewska Z, Skowroński T (2014) Protective effects of ectoine on heat-stressed daphnia magna. J Comp Physiol B 184:961–976

    Article  Google Scholar 

  • Bownik A, Stępniewska Z, Skowroński T (2015) Effects of ectoine on behavioural, physiological and biochemical parameters of daphnia magna. Comp Biochem Physiol Part C: Toxicol Pharmacol 168:2–10

    CAS  Google Scholar 

  • Casanova M, Morgan KT, Steinhagen WH, Everitt JI, Popp JA, Heck H’A (1991) Covalent binding of inhaled formaldehyde to DNA in the respiratory tract of rhesus monkeys: pharmacokinetics, rat-to-monkey interspecies scaling and extrapolation to man. Fundam Appl Toxicol 17:409–428

    CAS  Article  Google Scholar 

  • Fan WH, Cui MM, Shi ZW, Tan C, Yang XP (2012) Enhanced oxidative stress and physiological damage in daphnia magna by copper in the presence of nano-TiO2. J Nanomater 2012:7

    Google Scholar 

  • Finley JW, Wheeler EL, Witt SC (1981) Oxidation of glutathione by hydrogen peroxide and other oxidizing agents. J Agric Food Chem 29:404–407

    CAS  Article  Google Scholar 

  • Francis-Floyd R (1996) Use of formalin to control fish parasites. Cooperative Extension Servicek, University of Florida, 1–3

  • Franklin P, Dingle P, Stick S (2000) Raised exhaled nitric oxide in healthy children is associated with domestic formaldehyde levels. Am J Respir Crit Care Med 161:1757–1759

    CAS  Article  Google Scholar 

  • Galinski EA, Pfeiffer HP, Truper HG (1985) 1, 4, 5, 6-tetrahydro-2-methyl-4-pyrimidinecarboxylic acid. A novel cyclic amino acid from halophilic phototrophic bacteria of the genus ectothiorhodospira. Eur J Biochem 149:135–139

    CAS  Article  Google Scholar 

  • Göller K, Galinski EA (1999) Protection of a model enzyme (lactate dehydrogenase) against heat, urea and freeze-thaw treatment by compatible solute additives. J Mol Catal B 7:37–45

    Article  Google Scholar 

  • Gómez-Oliván LM, Galar-Martínez M, Islas-Flores H, García-Medina S, SanJuan-Reyes N (2014) DNA damage and oxidative stress induced by acetylsalicylic acid in daphnia magna. Comp Biochem Physiol Part C: Toxicol Pharmacol 164:21–26

    Google Scholar 

  • Goth L (1991) A simple method for determination of serum catalase activity and revision of reference range. Clin Chim Acta 196:143–151

    CAS  Article  Google Scholar 

  • Graf R, Anzali S, Buenger J, Pfluecker F, Driller H (2008) The multifunctional role of ectoine as a natural cell protectant. Clin Dermatol 26:326–333

    Article  Google Scholar 

  • Griess P (1879) Bemerkungen zu der abhandlung der H.H. Weselsky und Benedikt ueber einige azoverbindungen. Chem Ber 12:426–428

    Article  Google Scholar 

  • Gurel A, Coskun O, Armutcu F, Kanter M, Ozen OA (2005) Vitamin E against oxidative damage caused by formaldehyde in frontal cortex and hippocampus: biochemical and histological studies. J Chem Neuroanat 29:173–178. doi:10.1016/j.jchemneu.2005.01.001

    CAS  Article  Google Scholar 

  • Hagar HH (2004) The protective effect of taurine against cyclosporine A-induced oxidative stress and hepatotoxicity in rats. Toxicol Lett 151:335–343

    CAS  Article  Google Scholar 

  • Harishchandra RK, Wulff S, Lentzen G, Neuhaus T, Galla HJ (2010) The effect of compatible solute ectoines on the structural organization of lipid monolayer and bilayer membranes. Biophys Chem 150:37–46

    CAS  Article  Google Scholar 

  • Janssen CR, Persoone G (1993) Rapid toxicity screening tests for aquatic biota. 1. Methodology and experiments with daphnia magna. Environ Toxicol Chem 12:711–717

    CAS  Google Scholar 

  • Kang KA, Lee KH, Chae S, Zhang R, Jung MS, Ham YM, Baik JS, Lee NH, Hyun JW (2006) Cytoprotective effect of phloroglucinol on oxidative stress induced cell damage via catalase activation. J Cell Biochem 97:609–620

    CAS  Article  Google Scholar 

  • Kim J, Kim S, An KW, Choi CY, Lee S, Choi K (2010b) Molecular cloning of daphnia magna catalase and its biomarker potential against oxidative stresses. Comp Biochem Physiol Part C: Toxicol Pharmacol 152:263–269

    Google Scholar 

  • Knapp S, Ladenstein R, Galinski EA (1999) Extrinsic protein stabilization by the naturally occuring osmolytes b-hydroxyectoine and betaine. Extremophiles 3:191–198

    CAS  Article  Google Scholar 

  • Koivisto S, Ketola M, Walls M (1992) Comparison of five cladoceran species in short- and long-term copper exposure. Hydrobiologia 248:125–136. doi:10.1007/bf00006080

    CAS  Article  Google Scholar 

  • Kriebel D, Myers D, Cheng M (2001) Short-term effects of formaldehyde on peak expiratory flow and irritant symptoms. Arch Environ Health 56:11

    CAS  Article  Google Scholar 

  • Lippert K, Galinski EA (1992) Enzyme stabilization by ectoine-type compatible solutes: protection against heating, freezing and drying. Appl Microbiol Biotechnol 37:61–65

    CAS  Google Scholar 

  • Lu Z, Li CM, Qiao Y, Yan Y, Yang X (2008) Effect of inhaled formaldehyde on learning and memory of mice. Indoor Air 18:77–83. doi:10.1111/j.1600-0668.2008.00524.x

    CAS  Article  Google Scholar 

  • Lu C-L, Tang S, Meng Z-J, He Y-Y, Song L-Y, Liu Y-P, Ma N, Li X-Y, Guo S-C (2014) Taurine improves the spatial learning and memory ability impaired by sub-chronic manganese exposure. J Biomed Sci 21:51

    Article  Google Scholar 

  • Lyu K, Zhu X, Wang Q, Chen Y, Yang Z (2013) Copper/zinc superoxide dismutase from the cladoceran daphnia magna: molecular cloning and expression in response to different acute environmental stressors. Environ Sci Technol 47:8887–8893

    CAS  Google Scholar 

  • Ma TH, Harris MM (1988) Review of the genotoxicity of formaldehyde. Mutat Res 196:37–59

    CAS  Article  Google Scholar 

  • Malek FA, Möritz KU, Fanghänel J (2004) Effects of a single inhalative exposure to formaldehyde on the open field behavior of mice. Int J Hyg Environ Health 207:151–158

    CAS  Article  Google Scholar 

  • Martins J, Oliva Teles L, Vasconcelos V (2007) Assays with daphnia magna and Danio rerio as alert systems in aquatic toxicology. Environ Int 33:414–425

    CAS  Article  Google Scholar 

  • Metz B, Kersten GF, Baart GJ et al (2006) Identification of formaldehyde-induced modifications in proteins: reactions with insulin. Bioconjug Chem 17:815–822

    CAS  Article  Google Scholar 

  • Nagata S, Wang YB (2001) Accumulation of ectoine in the halotolerant brevibacterium sp. JCM6894. J Biosci Bioeng 91:288–293

    CAS  Article  Google Scholar 

  • Németh I, Boda D (1989) The ratio of oxidized/reduced glutathione as an index of oxidative stress in various experimental models of shock syndrome. Biomed Biochim Acta 48:53–57

    Google Scholar 

  • Ostadal P, Elmoselhi AB, Zdobnicka I, Lukas A, Elimban V, Dhalla NS (2004) Role of oxidative stress in ischemia-reperfusion-induced changes in Na+, K(+)-ATPase isoform expression in rat heart. Antioxid Redox Signal 6:914–923

    CAS  Article  Google Scholar 

  • Oudit GY, Trivieri MG, Khaper N, Husain T, Wilson GJ, Liu P, Sole MJ, Backx PH (2004) Taurine supplementation reduces oxidative stress and improves cardiovascular function in an iron-overload murine model. Circulation 109:1877–1885

    CAS  Article  Google Scholar 

  • Owen JB, Butterfield DA (2010) Measurement of oxidized/reduced glutathione ratio. Methods Mol Biol 648:269–277

    CAS  Article  Google Scholar 

  • Pastor JM, Bernal V, Salvador M, Argandoña M, Vargas C, Csonka L, Sevilla Á, Iborra JL, Nieto JJ, Cánovas M (2013) Role of central metabolism in the osmoadaptation of the halophilic bacterium chromohalobacter salexigens. J Biol Chem 288:17769–17781

    CAS  Article  Google Scholar 

  • Pflughoeft KJ, Kierek K, Watnick PI (2003) Role of ectoine in vibrio cholerae osmoadaptation. Appl Environ Microbiol 69:5919–5927

    CAS  Article  Google Scholar 

  • Pitten FA, Kramer A, Herrmann K, Bremer J, Koch S (2000) Formaldehyde neurotoxicity in animal experiments. Pathol Res Pract 196:193–198

    CAS  Article  Google Scholar 

  • Pushpakiran G, Mahalakshmi K, Anuradha CV (2004) Protective effects of taurine on glutathione and glutathione-dependent enzymes in ethanol-fed rats. Pharmazie 59:869–872

    CAS  Google Scholar 

  • Recio L, Sisk S, Pluta L, Bermudez E, Gross EA, Chen Z, Morgan KT, Walker C (1992) p53 mutations in formaldehyde-induced nasal squamous carcinoma in rats. Cancer Res 52:6113–6116

    CAS  Google Scholar 

  • Roessler M, Müller V (2001) Osmoadaptation in bacteria and archaea: common principles and differences. Environ Microbiol 3:743–754

    CAS  Article  Google Scholar 

  • Roychoudhury A, Haussinger D, Oesterhelt F (2012) Effect of the compatible solute ectoine on the stability of the membrane proteins. Protein Pept Lett 19:791–794

    CAS  Article  Google Scholar 

  • Sarkar S, Mukherjee S, Chattopadhyay A, Bhattacharya S (2014) Low dose of arsenic trioxide triggers oxidative stress in zebrafish brain: expression of antioxidant genes. Ecotoxicol Environ Saf 107:1–8

    CAS  Article  Google Scholar 

  • Schaffer S, Azuma J, Takahashi K, Mozaffari M (2003) Why is taurine cytoprotective? In: Lombardini B, Schaffer S, Azuma J (eds) Taurine 5. Kluwer Plenum, New York, pp 307–321

    Chapter  Google Scholar 

  • Shimizu N, Ogino C, Kawanishi T, Hayashi Y (2002) Fractal analysis of daphnia motion for acute toxicity bioassay. Inc Environ Toxicol 17:441–448

    CAS  Article  Google Scholar 

  • Sienkiewicz A, Vileno B, Pierzchała K, Czuba M, Marcoux P, Graczyk A, Fajer PG, Forró L (2007) Oxidative stress-mediated protein conformation changes: ESR study of spin-labelled staphylococcal nuclease. J Phys Condens Matter 19:285201

    Article  Google Scholar 

  • Smith KL, Galloway TS, Depledge MH (2000) Neuro-endocrine biomarkers of pollution-induced stress in marine invertebrates. Sci Total Environ 262:185–190

    CAS  Article  Google Scholar 

  • Swenberg JA, Gross EA, Randall HW Barrow CS (1983) The effect of formaldehyde exposure on cytotoxicity and cell proliferation. In: Clary JJ, Gibson JE, Waritz RS (eds) Formaldehyde toxicology, epidemiology, and mechanisms. Marcel Dekker, New York, pp 225–236

    Google Scholar 

  • Sydlik U, Gallitz I, Albrecht C, Abel J, Krutmann J, Unfried K (2009) The compatible solute ectoine protects against nanoparticle-induced neutrophilic lung inflammation. Am J Respir Crit Care Med 180:29–35. doi:10.1164/rccm.200812-1911OC

    CAS  Article  Google Scholar 

  • Tang X-Q, Ren Y-K, Chen R-Q, Zhuang Y-Y, Fang H-R, Xu J-H, Wang C-Y, Hu B (2011) Formaldehyde induces neurotoxicity to PC12 cells involving inhibition of paraoxonase-1 expression and activity. Clin Exp Pharmacol Physiol 38:208–214

    CAS  Article  Google Scholar 

  • Tisler T, Zagorc-Koncan J (1997) Comparative assessment of toxicity of phenol, formaldehyde, and industrial wastewater to aquatic organisms. Water Air Soil Pollut 97:315–322

    CAS  Google Scholar 

  • Toews J, Rogalski JC, Clark TJ, Kast J (2008) Mass spectrometric identification of formaldehyde-induced peptide modifications under in vivo protein cross-linking conditions. Anal Chim Acta 618:168–183

    CAS  Article  Google Scholar 

  • Ton SS, Chang SH, Hsu LY, Wang MH, Wang KS (2012) Evaluation of acute toxicity and teratogenic effects of disinfectants by daphnia magna embryo assay. Environ Pollut 168:54–61

    CAS  Article  Google Scholar 

  • Ucmakli E, Armutcu F, Özturk A (2013) The effects of formaldehyde intoxication on the inducible nitric oxide synthase expression and nitric oxide level in the liver tissue of rats. Turk J Med Sci 43:52–56

    CAS  Google Scholar 

  • Unfried K, Kroker M, Autengruber A, Gotić M, Sydlik U (2014) The compatible solute ectoine reduces the exacerbating effect of environmental model particles on the immune response of the airways. J Allergy (Cairo). doi:10.1155/2014/708458

    Google Scholar 

  • USEPA (2002) Methods for measuring the acute toxicity of effluents and receiving waters to freshwater and marine organisms. U.S. Environmental protection agency office of water (4303T) 1200 Pennsylvania Avenue, NW Washington DC 20460, EPA-821-R-02-012

  • van Dijken JP, Otto R, Harder W (1975) Oxidation of methanol, formaldehyde and formate by catalase purified from methanol-grown hansenula polymorpha. Arch Microbiol 106:221–226

    Article  Google Scholar 

  • Velki M, Stepić S, Hackenberger BK (2013) Effects of formalin on some biomarker activities of earthworms pre-exposed to temephos. Chemosphere 90:2690–2696

    CAS  Article  Google Scholar 

  • Vӧlker C, Boedicker C, Daubenthaler J, Oetken M, Oehlmann J (2013) Comparative toxicity assessment of nanosilver on three daphnia species in acute, chronic and multi-generation experiments. PLoS ONE 8(10), e75026. doi:10.1371/journal.pone.0075026

    Article  Google Scholar 

  • Wei YH, Yuan FW, Chen WC, Chen SY (2011) Production and characterization of ectoine by marinococcus sp. ECT1 isolated from a high-salinity environment. J Biosci Bioeng 111:336–342. doi:10.1016/j.jbiosc.2010.11.009

    CAS  Article  Google Scholar 

  • Welborn J, Manahan D (1995) Taurine metabolism in larvae of marine invertebrate molluscs (bilvalvia, gastropoda). J Exp Biol 198:1791–1799

    CAS  Google Scholar 

  • World Health Organization (2006) IARC Monographs on the evaluation of carcinogenic risks to humans: volume 88 formaldehyde, 2-Butoxyethanol and 1-tert-Butoxy-2-propanol

  • Yancey PH (2005) Organic osmolytes as compatible, metabolic and counteracting cytoprotectants in high osmolarity and other stresses. J Exp Biol 208:2819–2830

    CAS  Article  Google Scholar 

  • Zhang L, Wang Y, Zhang C, Wang Y, Zhu D, Wang C, Nagata S (2006) Supplementation effect of ectoine on thermostability of phytase. J Biosci Bioeng 102:560–563

    CAS  Article  Google Scholar 

  • Zhang Z, Liu D, Bo Y, Liao Z, Tang L, Yin D, He M (2014) Taurine supplementation reduces oxidative stress and protects the liver in an iron-overload murine model. Mol Med Rep 10:2255–2262

    CAS  Google Scholar 

Download references

Acknowledgments

The authors wish to thank Promega Corp. for a free sample of GSH/GSSG assay kit and Prof. Tadeusz Skowroński for a word of advice.

Author information

Affiliations

Authors

Corresponding author

Correspondence to Adam Bownik.

Additional information

Responsible editor: Markus Hecker

Rights and permissions

Reprints and Permissions

About this article

Verify currency and authenticity via CrossMark

Cite this article

Bownik, A., Stępniewska, Z. Ectoine alleviates behavioural, physiological and biochemical changes in Daphnia magna subjected to formaldehyde. Environ Sci Pollut Res 22, 15549–15562 (2015). https://doi.org/10.1007/s11356-015-4747-5

Download citation

  • Received:

  • Accepted:

  • Published:

  • Issue Date:

  • DOI: https://doi.org/10.1007/s11356-015-4747-5

Keywords

  • Ectoine
  • Formaldehyde
  • Daphnia
  • Glutathione
  • Oxidative stress
  • Catalase
  • Nitric oxide