Skip to main content

Lycopersicon esculentum under low temperature stress: an approach toward enhanced antioxidants and yield

Abstract

Brassinosteroids (BRs) have been implicated to overcome various abiotic stresses, and low temperature stress poses a serious threat to productivity of various horticultural crops like tomato. Therefore, a study was conducted to unravel the possible role of BRs in conferring alleviation to low temperature stress in Lycopersicon esculentum. Twenty-day-old seedlings of tomato var. S-22 (chilling tolerant) and PKM-1 (chilling sensitive) were sown in earthen pots, and at 40 days stage of growth, plants were exposed to varied levels of low temperatures (10/3, 12/7, 20/14, or 25/18 °C) for 24 h in a growth chamber. At 50 days stage of growth, the foliage of plants were sprayed with 0 or 10−8 M of BRs (28-homobrassinolide or 24-epibrassinolide), and 60-day-old plants were harvested to assess various physiological and biochemical parameters. Low temperatures induced a significant reduction in growth traits, chlorophyll content, and rate of photosynthesis in both the varieties differentially. Activities of antioxidant enzymes (catalase, peroxidase, and superoxide dismutase) and leaf proline content also increased substantially in both the varieties with decreasing temperature. On the other hand, treatment of BRs under stress and stress-free conditions significantly increased the aforesaid growth traits and biochemical parameters. Moreover, BRs further accelerated the antioxidative enzymes and proline content, which were already enhanced by the low temperature stress. Out of the two analogues of BRs tested, 24-epibrassinolide (EBL) was found more effective for both the varieties of tomato. EBL was found more potent stress alleviator against low temperature in both varieties of tomato.

This is a preview of subscription content, access via your institution.

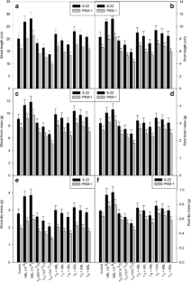
Fig. 1
Fig. 2
Fig. 3
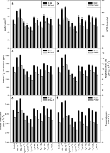
Fig. 4
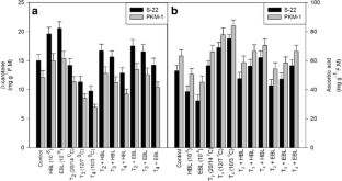
Fig. 5

References

  • Ali B, Hayat S, Hasan SA, Ahmad A (2006) Effect of root applied 28-homobrassinolide on the performance of Lycopersicon esculentum. Sci Hort 110:267–273

  • Allen DJ, Ort DR (2001) Impact of chilling temperatures on photosynthesis in warm-climate plants. Trends Plant Sci 6:36–42

    CAS  Article  Google Scholar 

  • Bajguz A, Hayat S (2009) Effect of brassinosteroids on the plant responses to environmental stresses. Plant Physiol Biochem 47:1–8

    CAS  Article  Google Scholar 

  • Blokhina O, Violainen E, Fagerstedt KV (2003) Antioxidants, oxidative damage and oxygen deprivation stress. Review Ann Bot 91:179–194

    CAS  Article  Google Scholar 

  • Cao S, Xu Q, Cao Y, Qian K, An K, Zhu Y, Binzeng H, Zhao H, Kuai B (2005) Loss-of-function mutations in DET2 gene lead to an enhanced resistance to oxidative stress in Arabidopsis. Plant Physiol 123:57–66

  • Chen KM, Gong HJ, Wang SM, Zhang CL (2007) Antioxidant defense system in Phragmites communis Trin. Ecotypes Biol Plant 51(4):754–758

  • Clouse SD (2011) Brassinosteroid signal transduction: from receptor kinase activation to transcriptional networks regulating plant development. Plant Cell 23:1219–1230

    CAS  Article  Google Scholar 

  • Cosgrove D (1997) Relaxation in a high stress environment: the molecular basis of extensible cell walls and enlargement. Plant Cell 9:1031–1041

    CAS  Article  Google Scholar 

  • Deng XP, Cheng YJ, Wu XB, Kwak SS, Chen W, Eneji AE (2012) Exogenous hydrogen peroxide positively influences root growth and exogenous hydrogen peroxide positively influences root growth and metabolism in leaves of sweet potato seedlings. Aust J Crop Sci 6(11):1572–1578

    CAS  Google Scholar 

  • Divi UK, Krishna P (2009) Brassinosteroid: a biotechnological target for enhancing crop yield and stress tolerance. New Biotechnol 26:131–136

    CAS  Article  Google Scholar 

  • Fariduddin Q, Shaista C, Yusuf M, Hayat S, Ahmad A (2011) 28-homobrassinolide improves growth and photosynthesis in Cucumis sativus L. through enhanced antioxidant system in the presence of chilling stress. Photosynthetica 49(1):55–64

  • Farooq M, Aziz T, Wahid A, Lee DJ, Siddique KHM (2009) Chilling tolerance in maize: agronomic and physiological approaches. Crop Pasture Sci 60:501–516

    Article  Google Scholar 

  • Felner M (2003) Recent progress in brassinosteroid research: hormone perception and signal transduction. In: Hayat S, Ahmad A (eds) Brassinosteroids: bioactivity and crop productivity. Kluwer Academic Publishers, Dordrecht

    Google Scholar 

  • Goh CH, Ko SM, Koh S, Kim YJ, Bae HJ (2012) Photosynthesis and environments: photoinhibition and repair mechanisms in plants. J Plant Biol 55:93–101

    CAS  Article  Google Scholar 

  • Hayat S, Yadav S, Wani AS, Irfan M, Ahmad A (2011) Comparative effect of 28-homobrassinolide and 24-epibrassinolide on the growth, carbonic anhydrase activity and photosynthetic efficiency of Lycopersicon esculentum. Photosynthetica 49:397–404

  • Iwahori S, Tominaga S, Higuchi S (1990) Retardation of abscission in citrus leaf and fruitlet explants by brassinolide. Plant Growth Regul 9:119–125

    CAS  Article  Google Scholar 

  • Kavi Kishor PB, Sreenivasulu N (2013) Is proline accumulation per se correlated with stress tolerance or is proline homoeostasis a more critical issue? Plant Cell Environ 37(2):300–311

    Article  Google Scholar 

  • Khripach VA, Zhabinskii VN, Groot AE (1999) Brassinosteroids: a new class of plant hormones. Acad Press, San Diego

    Google Scholar 

  • Khripach VA, Zhabinskii VN, Khripach NB (2003) New practical aspects of brassinosteroids and results of their 10 year agricultural use in Russia and Belarus. In: Hayat S, Ahmad A (eds) Brassinosteroids: bioactivity and crop productivity. Kluwer Academic Publisher, Dordrecht, pp 189–230

    Chapter  Google Scholar 

  • Liu Y, Zhao Z, Si J, Di C, Han J, An L (2009) Brassinosteroids alleviate chilling induced oxidative damage by enhancing antioxidant defense system in suspension cultured cells of Chorispora bungeana. Plant Growth Regul 59:207–214

  • Liu T, Li Y, Ren J, Zhang C, Kong M, Song X, Zhou J, Hou X (2013) Over-expression of BcFLC1 from non-heading Chinese cabbage enhances cold tolerance in Arabidopsis. Biol Plant 57:262–266

  • Lukatkin AS, Brazaityte A, Bobinas C, Duchovskis P (2012) Chilling injury in chilling-sensitive plants: a review. Agriculture 99:111–124

    Google Scholar 

  • Raghuramulu N, Nair MK, Kalyanasundarum S (1983) A manual of laboratory techniques. Natl. Instit Nutri, Silver Prints

    Google Scholar 

  • Ranganna S (1976) Manual of analysis of fruit and vegetable products. McGraw Hill, New Delhi, p 77

    Google Scholar 

  • Sadasivam S, Manickam A (1997) Carotenes. In: Biochemical methods. New Age International Publishers, New Delhi p. 187–188

  • Saltveit ME, Morris LL (1990) Overview on chilling injury of horticultural crops. In: Wang CY (ed) Chilling injury of horticultural crops. CRC Press, Boca Raton, pp 3–15

    Google Scholar 

  • Sanghera GS, Wani SH, Hussain W, Singh NB (2011) Engineering cold stress tolerance in crop plants. Curr Genom 12:30–43

    CAS  Article  Google Scholar 

  • Sanita di Toppi L, Gabbrielli R (1999) Response to cadmium in higher plants. Environ Exp Bot 41:105–130

    Article  Google Scholar 

  • Shah F, Huang J, Cui K, Nie L, Shah T, Chen C, Wang K (2011) Impact of high-temperature stress on rice plant and its traits related to tolerance. J Agri Sci 149(05):545–556

    CAS  Article  Google Scholar 

  • Strauss AJ, Kruger GHJ, Strasser RJ, van Heerden PDR (2007) The role of low soil temperature in the inhibition of growth and PSII function during dark chilling in soybean genotypes of contrasting tolerance. Physiol Plant 131(1):89–105

    CAS  Article  Google Scholar 

  • Tiwari A, Kumar P, Singh S, Ansari SA (2005) Carbonic anhydrase in relation to higher plants. Photosynthetica 43:1–9

    CAS  Article  Google Scholar 

  • Wang LJ, Li SH (2006) Salicylic acid-induced heat or cold tolerance in relation to Ca2+ homeostasis and antioxidant systems in young grape plants. Plant Sci 170:685–694

    CAS  Article  Google Scholar 

  • Xia XJ, Zhang Y, Wu JX, Wang JT, Zhou YH, Shi K, Yu YL, Yu JQ (2009) Brassinosteroids promote metabolism of pesticides in cucumber. J Agric Food Chem 57:8406–8413

    CAS  Article  Google Scholar 

  • Yang MT, Chen SL, Lin CY, Chen YM (2005) Chilling stress suppresses chloroplast development and nuclear gene expression in leaves of mung bean seedlings. Planta 221:374–385

    CAS  Article  Google Scholar 

  • Yu JQ, Huang LF, Hu WH, Zhou YH, Mao WH, Ye SF, Nogues S (2004) A role of brassinosteroids in the regulation of photosynthesis in Cucumis sativus. J Exp Bot 55:1135–1143

  • Yuan LY, Shu S, Sun J, Guo SR, Tezuka T (2012) Effects of 24-epibrassinolide on the photosynthetic characteristics, antioxidant system, and chloroplast ultrastructure in Cucumis sativus L. under Ca (NO3)2 stress. Photosynth Res 112:205–214

  • Yusuf M, Fariduddin Q, Ahmad A (2011) 28-Homobrassinolide mitigates boron induced toxicity through enhanced antioxidant system in Vigna radiata plants. Chemosphere 85:1574–1585

  • Zhang C, Tian S (2009) Crucial contribution of membrane lipids unsaturation to acquisition of chilling-tolerance in peach fruit stored at 0°С. Food Chem 115:411–415

    Google Scholar 

  • Zhang XD, Wang RP, Zhang FJ, Tao FQ, Li WQ (2013) Lipid profiling and tolerance to low-temperature stress in Thellungiella salsuginea in comparison with Arabidopsis thaliana. Biol Plant 57:149–153

Download references

Acknowledgments

The authors gratefully acknowledge financial support provided by the Council of Science and Technology, Uttar Pradesh [Project No. CST/D-615], India, to carry out this study.

Author information

Affiliations

Authors

Corresponding author

Correspondence to Qazi Fariduddin.

Additional information

Responsible editor: Philippe Garrigues

Rights and permissions

Reprints and Permissions

About this article

Verify currency and authenticity via CrossMark

Cite this article

Khan, T.A., Fariduddin, Q. & Yusuf, M. Lycopersicon esculentum under low temperature stress: an approach toward enhanced antioxidants and yield. Environ Sci Pollut Res 22, 14178–14188 (2015). https://doi.org/10.1007/s11356-015-4658-5

Download citation

  • Received:

  • Accepted:

  • Published:

  • Issue Date:

  • DOI: https://doi.org/10.1007/s11356-015-4658-5

Keywords

  • Brassinosteroids
  • Low temperature
  • Lycopersicon esculentum
  • Lycopene
  • Photosynthesis and proline