Skip to main content

Valorization of treated olive mill wastewater in fertigation practice

Abstract

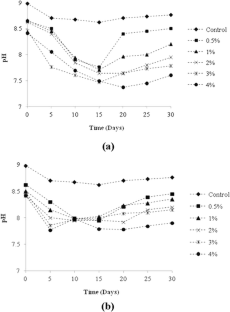
Olive mill wastewater (OMW) brings about a major environmental problem in Tunisia as well as in the other Mediterranean countries. Its strong organic load and its toxicity due to the presence of complex phenolic compounds have dire effects when applied to soil. To overcome this difficulty, the OMW pretreatment was investigated in the present work using the Fenton oxidation reaction with zero-valent iron. Then, this pretreated wastewater was valorized in fertigation practice. The effects of the addition of different concentrations of both treated and raw OMW on soil and cropping system were investigated. The treatment by Fenton oxidation with zero-valent iron could reduce 50 % of COD and decrease 53 % of phenolic compounds. OMW application had a temporary effect on the soil pH and EC. The results showed that the evolution of soil pH and EC was related to the organic matter of the soil which depends on the spread concentrations of raw or treated OMW. After 15-day incubation period, the soil pH and EC tended to stabilize and return to the control level. Moreover, this stabilization is faster in treated OMW than that in raw OMW especially for concentrations as high as 3 and 4 %. Plants cultivated with treated OMW showed an increase in their germination. The results pointed an improvement in the stem length of plants which is almost similar to that of the control for both pea and tomato, especially for high concentrations of 3 and 4 %.

This is a preview of subscription content, access via your institution.

Fig. 1
Fig. 2
Fig. 3
Fig. 4
Fig. 5
Fig. 6
Fig. 7

References

  • Abid N, Sayadi S (2006) Detrimental effect of olive mill wastewater on the composting process of agricultural wastes. Waste Manag 26:1099–1107. doi:10.1016/j.wasman.2005.06.015

    CAS  Article  Google Scholar 

  • Altieri R, Esposito A (2010) Evaluation of the fertilizing effect of olive mill waste compost in short-term crops. Int Biodeterior Biodegrad 64:124–128. doi:10.1016/j.ibiod.2009.12.002

    CAS  Article  Google Scholar 

  • Aytar P, Gedikli S, Sam M, Farizoğlu B, Çabuk A (2013) Sequential treatment of olive oil mill wastewater with adsorption and biological and photo-Fenton oxidation. Environ Sci Pollut Res 20:3060–3067. doi:10.1007/s11356-012-1212-6

    CAS  Article  Google Scholar 

  • Barbera AC, Maucieri C, Loppolo A, Milani M, Cavallaro V (2013) Effects of olive mill wastewater physico-chemical treatments on polyphenol abatement and Italian ryegrass (Lolium multiflorum Lam.) germinability. Water Res 52:275–281. doi:10.1016/j.watres.2013.11.004

    Article  Google Scholar 

  • Box JD (1983) Investigation of the Folin–Ciocalteau phenol reagent for the determination of polyphenolic substances in natural waters. Water Res 17:511–522

    CAS  Article  Google Scholar 

  • Bustamante MA, Pérez-Murcia MD, Paredes C, Moral R, Pérez-Espinosa A, Moreno-Caselles J (2007) Short-term carbon and nitrogen mineralization in soil amended with winery and distillery organic wastes. Bioresour Technol 98:3269–3277. doi:10.1016/j.biortech.2006.07.013

    CAS  Article  Google Scholar 

  • Bustamante MA, Said-Pullicino D, Paredes C, Cecilia JA, Moral R (2010) Influences of winery-distillery waste compost stability and soil type on soil carbon dynamics in amended soils. Waste Manag 30:1966–1975. doi:10.1016/j.wasman.2010.03.012

    CAS  Article  Google Scholar 

  • Camberato JJ (2001) Nitrogen in soil and fertilizers. SC Turfgrass Found News 8:6–10

    Google Scholar 

  • Canizares P, Lobato J, Paz R, Rodrigo MA, Saez C (2007) Advanced oxidation process for the treatment of olive oil mills wastewater. Chemosphere 67:832–838. doi:10.1016/j.chemosphere.2006.10.064

    CAS  Article  Google Scholar 

  • Capasso R, De Martino A, Arienzo M (2002) Recovery and characterization of the metal polymeric organic fraction (polymerin) from olive oil mill wastewaters. J Agric Food Chem 50:2846–2855. doi:10.1021/jf011442c

    CAS  Article  Google Scholar 

  • Celano G, Smejkalová D, Spaccini R, Piccolo A (2008) Reduced toxicity of olive mill waste waters by oxidative coupling with biomimetic catalysis. Environ Sci Technol 42:4896–4901. doi:10.1021/es8000745

    CAS  Article  Google Scholar 

  • Chatzisymeon E, Xekoukoulotakis NP, Mantzavinos D (2009) Determination of key operating conditions for the photocatalytic treatment of olive mill wastewaters. Catal Today 144:143–148. doi:10.1016/j.cattod.2009.01.037

    CAS  Article  Google Scholar 

  • Chen H, Yao J, Wang F, Zhou Y, Chen K et al (2010) Toxicity of three phenolic compounds and their mixtures on the Gram positive bacteria Bacillus subtillis in the aquatic environment. Sci Total Environ 408:1043–1049. doi:10.1016/j.scitotenv.2009.11.051

    CAS  Article  Google Scholar 

  • Crognale S, D’Annibale A, Federici F, Fenice M, Quaratino D, Petruccioli M (2006) Olive oil mill wastewater valorisation by fungi. J Chem Technol Biotechnol 81:1547–1555. doi:10.1002/jctb.1564

    CAS  Article  Google Scholar 

  • Dhouib A, Ellouz M, Aloui F, Sayadi S (2006) Effect of bioaugmentation of activated sludge with white-rot fungi on olive mill wastewater detoxification. J Appl Microbiol 42:405–411. doi:10.1111/j.1472-765X.2006.01858.x

    CAS  Article  Google Scholar 

  • El Hassani FZ, Zinedine A, Bendriss Amraoui M, Errachidi F, Mdaghri Alaoui S et al (2009a) Characterization of the harmful effect of olive mill wastewater on spearmint. J Hazard Mater 170:779–785

    Article  Google Scholar 

  • El Hassani FZ, Bendriss Amraoui M, Zinedine A, Aissam H, Mdaghri Alaoui S et al (2009b) Changes in leaf phenols and other physiological parameters of peppermint in response to olive mill wastewater application. Int J Agric Biol 11:413–418

    Google Scholar 

  • Gargouri K, Masmoudi M, Rhouma A (2014) Influence of Olive Mill Wastewater (OMW) spread on carbon and nitrogen dynamics and biology of an arid sandy soil. Commun Soil Sci Plant Anal 45:1–14. doi:10.1080/00103624.2013.849727

    CAS  Article  Google Scholar 

  • Greco G, Colarieti ML, Toscano G, Iamarino G, Rao MA, Gianfreda L (2006) Mitigation of olive mill wastewater toxicity. J Agric Food Chem 54:6776–6782. doi:10.1021/jf061084j

    CAS  Article  Google Scholar 

  • Hachicha S, Cegarra J, Sellami F, Hachicha R, Drira N et al (2009) Elimination of polyphenols toxicity from olive mill wastewater sludge by its co-composting with sesame bark. J Hazard Mater 161:1131–1139. doi:10.1016/j.jhazmat.2008.04.066

    CAS  Article  Google Scholar 

  • Haddadin MSY, Haddadin J, Arabiyat OI, Hattar B (2009) Biological conversion of olive pomace into compost by using Trichoderma harzianum and Phanerochaete chrysosporium. Bioresour Technol 100:4773–4782. doi:10.1016/j.biortech.2009.04.047

    CAS  Article  Google Scholar 

  • International Olive Council report (2011). http://www.internationaloliveoil.org. Accessed 5 Nov 2012

  • Justino CI, Duarte K, Loureiro F, Pereira R, Antunes SC et al (2009) Toxicity and organic content characterization of olive oil mill wastewater undergoing a sequential treatment with fungi and photo-Fenton oxidation. J Hazard Mat 172:1560–1572. doi:10.1016/j.jhazmat.2009.08.028

    CAS  Article  Google Scholar 

  • Justino C, Marques AG, Duarte KR, Duarte AC, Pereira R et al (2010) Degradation of phenols in olive oil mill wastewater by biological, enzymatic, and photo-Fenton oxidation. Environ Sci Pollut Res 17:650–656. doi:10.1007/s11356-009-0256-8

    CAS  Article  Google Scholar 

  • Kallel M, Belaid C, Mechichi T, Ksibi M, Elleuch B (2009) Removal of organic load and phenolic compounds from olive mill wastewater by Fenton oxidation with zero-valent iron. Chem Eng J 150:391–395. doi:10.1016/j.cej.2009.01.017

    CAS  Article  Google Scholar 

  • Kapellakis IE, Tsagarakis KP, Avramaki C, Angelakis AN (2006) Olive mill wastewater management in river basins: a case study in Greece. Agric Water Manag 82:354–370. doi:10.1016/j.agwat.2005.08.004

    Article  Google Scholar 

  • Knechtel RJ (1978) A more economical method for the determination of chemical oxygen demand. Water Pollut Control 1978:25–29

    Google Scholar 

  • Kotsou M, Mari I, Lasaridi K, Chatzipavlidis I, Balis C, Kyriacou A (2004) The effect of live oil mill wastewater (OMW) on soil microbial communities and suppressiveness against Rhizoctonia solani. Appl Soil Ecol 26:113–121

    Article  Google Scholar 

  • Lafi WK, Shannak B, Al-Shannag M, Al-Anber Z, Al-Hasan M (2009) Treatment of olive mill wastewater by combined advanced oxidation and biodegradation. Sep Purif Technol 70:141–146. doi:10.1016/j.seppur.2009.09.008

    CAS  Article  Google Scholar 

  • Lee H, Shoda M (2008) Removal of COD and color from livestock wastewater by the Fenton method. J Hazard Mater 153:1314–1319. doi:10.1016/j.jhazmat.2007.09.097

    CAS  Article  Google Scholar 

  • Mantzavinos D, Kalogerakis N (2005) Treatment of olive mill effluents:Part I. Organic matter degradation by chemical and biological processes—an overview. Environ Int 31:289–295. doi:10.1016/j.envint.2004.10.005

    CAS  Article  Google Scholar 

  • McNamara CJ, Anastasiou CC, O’Flaherty V, Mitchell R (2008) Bioremediation of olive mill wastewater. Int Biodeterior Biodegrad 61:127–134. doi:10.1016/j.ibiod.2007.11.003

    CAS  Article  Google Scholar 

  • Mekki A, Dhouib A, Aloui F, Sayadi S (2006) Olive wastewater as an ecological fertilizer. Agron Sust Dev 26:61–67. doi:10.1051/agro:2005061

    CAS  Article  Google Scholar 

  • Mekki A, Dhouib A, Sayadi S (2007) Polyphenols dynamics and phytotoxicity in a soil amended by olive mill wastewaters. J Environ Manag 84:134–140. doi:10.1016/j.jenvman.2006.05.015

    CAS  Article  Google Scholar 

  • Ouzounidou G, Asfi M, Sortirakis N, Papadopoulou P, Gaitis F (2008) Olive millwastewater triggered changes in physiology and nutritional quality of tomato (Lycopersicon esculentum Mill.) depending on growth substrate. J Hazard Mater 158:523–530

    CAS  Article  Google Scholar 

  • Ouzounidou G, Zervakis GI, Gaitis F (2010) Raw and microbiologically detoxified olive mill waste and their impact on plant growth. Terr Aquat Environ Toxicol 4:21–38

    Google Scholar 

  • Oved T, Shaviv A, Goldrath T, Raphi T, Mandelbaun MD (2001) Influence of effluent irrigation on community composition and function of ammoniaoxidizing bacteria in soil. Appl Environ Microbiol 67:3426–3433. doi:10.1128/AEM. 67.8.3426-3433.2001

    CAS  Article  Google Scholar 

  • Pauwels JM, Van Rust E, Verloo M, Mvondo ZEA (1992) Manual of soil laboratory analytical methods of soil and plants. Agricultural publications, 28th edn. AGCD, Belgium

    Google Scholar 

  • Peireira R, Ksibi M, Sousa J.P, Jörg R, Haddioui A et al (2009). Workshop on risk assessment of contaminated sites. National Engineering school of Sfax, Laboratory water energy and environment

  • Piñeiro AL, Albarrán A, Rato Nunes JM, Barreto C (2008) Short- and medium-term effects of two-phase olive mill waste application on olive grove production and soil properties under semiarid Mediterranean conditions. Bioresour Technol 99:7982–7987. doi:10.1016/j.biortech.2008.03.051

    Article  Google Scholar 

  • Piotrowska A, Iamarino G, Rao MA, Gianfreda L (2006) Short-term effects of olive mill waste water (OMW) on chemical and biochemical properties of a semiarid Mediterranean soil. Soil Biol Biochem 38:600–610. doi:10.1016/j.soilbio.2005.06.012

    CAS  Article  Google Scholar 

  • Quaratino D, D'Annibale A, Federici F, Cereti CF, Rossini F, Fenice M (2007) Enzyme and fungal treatments and a combination thereof reduce olive mill wastewater phytotoxicity on Zea mays L. seeds. Chemosphere 66:1627–1633. doi:10.1016/j.chemosphere.2006.07.092

    CAS  Article  Google Scholar 

  • Roig A, Cayuela ML, Sánchez-Monedero MA (2006) An overview on olive mill wastes and their valorisation methods. Waste Manag 26:960–969. doi:10.1016/j.wasman.2005.07.024

    CAS  Article  Google Scholar 

  • Sanchez-Monedero MA, Cayuela ML, Mondini C, Serramia N, Roig A (2008) Potential of olive mill wastes for soil C sequestration. Waste Manag 28:767–773. doi:10.1016/j.wasman.2007.09.029

    CAS  Article  Google Scholar 

  • Sierra J, Marti E, Montserrat G, Cruanas R, Garau MA (2001) Characterization and evolution of a soil affected by olive oil mill wastewater disposal. Sci Total Environ 279:207–214

    CAS  Article  Google Scholar 

  • Tsagaraki E, Larazides HN, Petrotos KB (2007) Olive mill wastewater treatment. In: Oreopoulou V, Russ W (eds) Utilization of by-products and treatment of waste in the food industry. Springer, New York, pp 133–157

    Chapter  Google Scholar 

  • Tsioulpas A, Dimou D, Iconomou D, Aggelis G (2002) Phenolic removal in olive oil mill wastewater by strains of Pleurotus spp. in respect to their phenol oxidase (laccase) activity. Bioresour Technol 84:251–257. doi:10.1016/S0960-8524(02)00043-3

    CAS  Article  Google Scholar 

  • Walkley A (1947) A critical examination of a rapid method for determining organic carbon in soils: effect of variations in digestion conditions and of inorganic soil constituents. Soil Sci 63:251–264

    CAS  Article  Google Scholar 

  • Zucconi F, Pera A, Forte M, Bertoldi M (1981) Evaluating toxicity of immature compost. Biocycle 22:54–57

    Google Scholar 

Download references

Acknowledgments

The authors would like to thank the Ministry of Higher Education, Scientific Research and Technology for the financial support to the current work. We wish to thank Mr. Jamil JAOUA, founder and former Head of the English Teaching Unit at the Sfax (Tunisia) Faculty of science, for having patiently edited this Paper.

Author information

Affiliations

Authors

Corresponding author

Correspondence to Salma Mseddi.

Additional information

Responsible editor: Philippe Garrigues

Rights and permissions

Reprints and Permissions

About this article

Verify currency and authenticity via CrossMark

Cite this article

Mseddi, S., Chaari, L., Belaid, C. et al. Valorization of treated olive mill wastewater in fertigation practice. Environ Sci Pollut Res 23, 15792–15800 (2016). https://doi.org/10.1007/s11356-015-4353-6

Download citation

  • Received:

  • Accepted:

  • Published:

  • Issue Date:

  • DOI: https://doi.org/10.1007/s11356-015-4353-6

Keywords

  • Olive mill wastewater
  • Phenolic compounds
  • Toxicity
  • Fenton oxidation
  • Zero-valent iron
  • Fertigation practice