Skip to main content

Degradation of polycyclic aromatic hydrocarbons in soil by a tolerant strain of Trichoderma asperellum

Abstract

Trichoderma asperellum H15, a previously isolated strain characterized by its high tolerance to low (LMW) and high molecular weight (HMW) PAHs, was tested for its ability to degrade 3–5 ring PAHs (phenanthrene, pyrene, and benzo[a]pyrene) in soil microcosms along with a biostimulation treatment with sugarcane bagasse. T. asperellum H15 rapidly adapted to PAH-contaminated soils, producing more CO2 than uncontaminated microcosms and achieving up to 78 % of phenanthrene degradation in soils contaminated with 1,000 mg Kg−1 after 14 days. In soils contaminated with 1,000 mg Kg−1 of a three-PAH mixture, strain H15 was shown to degrade 74 % phenanthrene, 63 % pyrene, and 81 % of benzo[a]pyrene. Fungal catechol 1,2 dioxygenase, laccase, and peroxidase enzyme activities were found to be involved in the degradation of PAHs by T. asperellum. The results demonstrated the potential of T. asperellum H15 to be used in a bioremediation process. This is the first report describing the involvement of T. asperellum in LMW and HMW-PAH degradation in soils. These findings, along with the ability to remove large amounts of PAHs in soil found in the present work provide enough evidence to consider T. asperellum as a promising and efficient PAH-degrading microorganism.

This is a preview of subscription content, access via your institution.

Fig. 1
Fig. 2
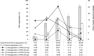
Fig. 3
Fig. 4
Fig. 5
Fig. 6

References

  • Acevedo F, Pizzul L, Castillo MD, Cuevas R, Diez MC (2011) Degradation of polycyclic aromatic hydrocarbons by the Chilean white-rot fungus Anthracophyllum discolor. J Hazard Mater 185(1):212–219. doi:10.1016/j.jhazmat.2010.09.020

    CAS  Article  Google Scholar 

  • Ahmad M, Roberts JN, Hardiman EM, Singh R, Eltis LD, Bugg TD (2011) Identification of DypB from Rhodococcus jostii RHA1 as a lignin peroxidase. Biochemistry 50(23):5096–5107. doi:10.1021/bi101892z

    CAS  Article  Google Scholar 

  • Archibald FS (1992) A new assay for lignin-type peroxidases employing the dye azure B. Appl Environ Microbiol 58(9):3110–3116

    CAS  Google Scholar 

  • Argumedo-Delira R, Alarcon A, Ferrera-Cerrato R, Almaraz JJ, Pena-Cabriales JJ (2012) Tolerance and growth of 11 Trichoderma strains to crude oil, naphthalene, phenanthrene and benzo[a]pyrene. J Environ Manage 95(Suppl):S291–S299. doi:10.1016/j.jenvman.2010.08.011

    CAS  Article  Google Scholar 

  • Atagana HI (2009) Biodegradation of PAHs by fungi in contaminated-soil containing cadmium and nickel ions. Afr J Biotechnol 8(21):5780–5789

    Google Scholar 

  • Baldrian P (2006) Fungal laccases—occurrence and properties. FEMS Microbiol Rev 30(2):215–242. doi:10.1111/j.1574-4976.2005.00010.x

    CAS  Article  Google Scholar 

  • Bouchez M, Blanchet D, Vandecasteele JP (1995) Substrate availability in phenanthrene biodegradation: transfer mechanism and influence on metabolism. Appl Microbiol Biotechnol 43(5):952–960

    CAS  Article  Google Scholar 

  • Cazares-Garcia SV, Vazquez-Garciduenas MS, Vazquez-Marrufo G (2013) Structural and phylogenetic analysis of laccases from Trichoderma: a bioinformatic approach. PLoS One 8 (1).doi: 10.1371/journal.pone.0055295

  • Cerniglia CE, Sutherland GR (2010) Degradation of polycyclic aromatic hydrocarbons by fungi. In: Timmis KN (ed) Handbook of hydrocarbon and lipid microbiology. Springer, Berlin, pp 2079–2110. doi:10.1007/978-3-540-77587-4_151

    Chapter  Google Scholar 

  • Chernin L, Chet I (2002) Microbial enzymes in the biocontrol of plant pathogens and pests. In: Burns R, Dick R (eds) Enzymes in the environment: activity, ecology, and applications. CRC Press, Columbus, pp 171–226. doi:10.1201/9780203904039.ch7

    Google Scholar 

  • Chutrakul C, Alcocer M, Bailey K, Peberdy JF (2008) The production and characterisation of trichotoxinpeptaibols, by Trichoderma asperellum. Chem Biodivers 5(9):1694–1706. doi:10.1002/cbdv.200890158

    CAS  Article  Google Scholar 

  • Conesa A, van den Hondel CA, Punt PJ (2000) Studies on the production of fungal peroxidases in Aspergillus niger. Appl Environ Microbiol 66(7):3016–3023

    CAS  Article  Google Scholar 

  • Cortes-Espinosa DV, Fernandez-Perrino FJ, Arana-Cuenca A, Esparza-Garcia F, Loera O, Rodriguez-Vazquez R (2006) Selection and identification of fungi isolated from sugarcane bagasse and their application for phenanthrene removal from soil. J Environ Sci Health A Tox Hazard Subst Environ Eng 41(3):475–486. doi:10.1080/10934520500428351

    CAS  Article  Google Scholar 

  • Cortes-Espinosa DV, Absalon AE, Sanchez N, Loera O, Rodriguez-Vazquez R, Fernandez FJ (2011) Heterologous expression of manganese peroxidase in Aspergillus niger and its effect on phenanthrene removal from soil. J Mol Microbiol Biotechnol 21(3-4):120–129. doi:10.1159/000331563

    CAS  Article  Google Scholar 

  • Cristica M, Manoliu A, Barbaneagra T, Ciornea E (2010) Compared analysis of catalase and peroxidase activity in cellulolytic fungus Trichoderma reesei grown on medium with different concentrations ofgrinded wheat and barley straws. An StiintUniv Al I Cuza Iasi, Sect II a Biol 12(3):89–93

    Google Scholar 

  • de los Santos-Villalobos S, Guzmán-Ortiz DA, Gómez-Lim MA, Délano-Frier JP, de-Folter S, Sánchez-García P, Peña-Cabriales JJ (2013) Potential use of Trichoderma asperellum (Samuels, Liechfeldt et Nirenberg) T8a as a biological control agent against anthracnose in mango (Mangifera indica L.). Biol Control 64 (1):37-44. doi:http://dx.doi.org/10.1016/j.biocontrol.2012.10.006

  • Ding G, Chen AJ, Lan J, Zhang H, Chen X, Liu X, Zou Z (2012) Sesquiterpenes and cyclopeptides from the endophytic fungus Trichoderma asperellum SAMUELS LIECKF. & NIRENBERG. Chem Biodivers 9(6):1205–1212. doi:10.1002/cbdv.201100185

    CAS  Article  Google Scholar 

  • Druzhinina IS, Seidl-Seiboth V, Herrera-Estrella A, Horwitz BA, Kenerley CM, Monte E, Mukherjee PK, Zeilinger S, Grigoriev IV, Kubicek CP (2011) Trichoderma: the genomics of opportunistic success. Nat Rev Microbiol 9(10):749–759

    CAS  Article  Google Scholar 

  • Fawal N (2014) The PeroxiBase.TrichodermaasperellumPeroxidases. https://peroxibase.toulouse.inra.fr/tools/search.php?searchString[]=Trichoderma+asperellum&searchType[]=Organism&od=1.

  • Fawal N, Li Q, Savelli B, Brette M, Passaia G, Fabre M, Mathe C, Dunand C (2013) PeroxiBase: a database for large-scale evolutionary analysis of peroxidases. Nucleic Acids Res 41(Database issue):D441–D444. doi:10.1093/nar/gks1083

    CAS  Article  Google Scholar 

  • Hadibarata T, Kristanti RA (2012) Identification of metabolites from benzo[a]pyrene oxidation by ligninolytic enzymes of Polyporus sp. S133. J Environ Manage 111:115–119. doi:10.1016/j.jenvman.2012.06.044

    CAS  Article  Google Scholar 

  • Hadibarata T, Tachibana S (2010) Characterization of phenanthrene degradation by strain Polyporus sp. S133. J Environ Sci (China) 22(1):142–149

    CAS  Article  Google Scholar 

  • Hadibarata T, Tachibana S, Itoh K (2007) Biodegradation of phenanthrene by fungi screened from nature. Pak J Biol Sci 10(15):2535–2543

    CAS  Article  Google Scholar 

  • Hadibarata T, Yusoff AR, Aris A, Kristanti RA (2012) Identification of naphthalene metabolism by white rot fungus Armillaria sp. F022. J Environ Sci (China) 24(4):728–732

    CAS  Article  Google Scholar 

  • Haritash AK, Kaushik CP (2009) Biodegradation aspects of polycyclic aromatic hydrocarbons (PAHs): a review. J Hazard Mater 169(1-3):1–15. doi:10.1016/j.jhazmat.2009.03.137

    CAS  Article  Google Scholar 

  • Hidayat A, Tachibana S, Itoh K (2012) Determination of chrysene degradation under saline conditions by Fusarium sp. F092, a fungus screened from nature. Fungal biol 116(6):706–714. doi:10.1016/j.funbio.2012.04.004

    CAS  Article  Google Scholar 

  • Jaklitsch WM (2009) European species of Hypocrea Part I. The green-spored species. Stud Mycol 63:1–91. doi:10.3114/sim.2009.63.01

    Article  Google Scholar 

  • Juhasz AL, Naidu R (2000) Bioremediation of high molecular weight polycyclic aromatic hydrocarbons: a review of the microbial degradation of benzo[a]pyrene. Int Biodet Biodegr 45:57–88

    CAS  Article  Google Scholar 

  • Kuwahara M, Glenn JK, Morgan MA, Gold MH (1984) Separation and characterization of two extracelluar H2O2-dependent oxidases from ligninolytic cultures of Phanerochaete chrysosporium. FEBS Lett 169 (2):247-250. doi.10.1016/0014-5793(84)80327-0

  • Liers C, Arnstadt T, Ullrich R, Hofrichter M (2011) Patterns of lignin degradation and oxidative enzyme secretion by different wood- and litter-colonizing basidiomycetes and ascomycetes grown on beech-wood. FEMS Microbiol Ecol 78(1):91–102. doi:10.1111/j.1574-6941.2011.01144.x

    CAS  Article  Google Scholar 

  • Marx IJ, van Wyk N, Smit S, Jacobson D, Viljoen-Bloom M, Volschenk H (2013) Comparative secretome analysis of Trichoderma asperellum S4F8 and Trichoderma reesei Rut C30 during solid-state fermentation on sugarcane bagasse. Biotechnol Biofuels 6(1):172. doi:10.1186/1754-6834-6-172

    Article  Google Scholar 

  • Matsubara M, Lynch JM, De Leij FAAM (2006) A simple screening procedure for selecting fungi with potential for use in the bioremediation of contaminated land. Enzyme Microb Tech 39(7):1365–1372. doi:10.1016/j.enzmictec.2005.04.025

    CAS  Article  Google Scholar 

  • Nagai M, Sato T, Watanabe H, Saito K, Kawata M, Enei H (2002) Purification and characterization of an extracellular laccase from the edible mushroom Lentinula edodes, and decolorization of chemically different dyes. Appl Microbiol Biotechnol 60(3):327–335. doi:10.1007/s00253-002-1109-2

    CAS  Article  Google Scholar 

  • Ravelet C, Krivobok S, Sage L, Steiman R (2000) Biodegradation of pyrene by sediment fungi. Chemosphere 40(5):557–563

    CAS  Article  Google Scholar 

  • Reyes-Cesar A, Absalon AE, Fernandez FJ, Gonzalez JM, Cortes-Espinosa DV (2014) Biodegradation of a mixture of PAHs by non-ligninolytic fungal strains isolated from crude oil-contaminated soil. World J Microbiol Biotechnol 30(3):999–1009. doi:10.1007/s11274-013-1518-7

    CAS  Article  Google Scholar 

  • Saparrat MC, Margarita-Bucsinszky AM, Alfio-Tournier H, Cabello MN, Arambarri AM (2000) Extracellular ABTS-oxidizing activity of autochthonous fungal strains from Argentina in solid medium. Rev Iberoam Micol 17(2):64–68

    CAS  Google Scholar 

  • Saraswathy A, Hallberg R (2002) Degradation of pyrene by indigenous fungi from a former gasworks site. FEMS Microbiol Lett 210(2):227–232

    CAS  Article  Google Scholar 

  • Seo JS, Keum YS, Li QX (2009) Bacterial degradation of aromatic compounds. Int J Environ Res Public Health 6(1):278–309. doi:10.3390/ijerph6010278

    CAS  Article  Google Scholar 

  • Sharon E, Chet I, Viterbo A, Bar-Eyal M, Nagan H, Samuels G, Spiegel Y (2007) Parasitism of Trichoderma on Meloidogyne javanica and role of the gelatinous matrix. Eur J Plant Pathol 118(3):247–258. doi:10.1007/s10658-007-9140-x

    Article  Google Scholar 

  • Slusarski C, Pietr SJ (2009) Combined application of dazomet and Trichoderma asperellum as an efficient alternative to methyl bromide in controlling the soil-borne disease complex of bell pepper. Crop Prot 28(8):668–674. doi:10.1016/j.cropro.2009.03.016

    CAS  Article  Google Scholar 

  • Smith PK, Krohn RI, Hermanson GT, Mallia AK, Gartner FH, Provenzano MD, Fujimoto EK, Goeke NM, Olson BJ, Klenk DC (1985) Measurement of protein using bicinchoninic acid. Anal Biochem 150 (1):76-85. doi:10.1016/0003-2697(85)90442-7

  • Su SM, Zeng XB, Bai LY, Li LF, Duan R (2011) Arsenic biotransformation by arsenic-resistant fungi Trichoderma asperellum SM-12F1, Penicillium janthinellum SM-12F4, and Fusarium oxysporum CZ-8F1. Sci Total Environ 409(23):5057–5062. doi:10.1016/j.scitotenv.2011.08.039

    CAS  Article  Google Scholar 

  • Tabak HH, Lazorchak JM, Lei L, Khodadoust AP, Antia JE, Bagchi R, Suidan MT (2003) Studies on bioremediation of polycyclic aromatic hydrocarbon-contaminated sediments: bioavailability, biodegradability, and toxicity issues. Environ Toxicol Chem 22(3):473–482

    CAS  Article  Google Scholar 

  • Thion C, Cebron A, Beguiristain T, Leyval C (2013) Inoculation of PAH-degrading strains of Fusarium solani and Arthrobacter oxydans in rhizospheric sand and soil microcosms: microbial interactions and PAH dissipation. Biodegradation 24(4):569–581. doi:10.1007/s10532-013-9628-3

    CAS  Article  Google Scholar 

  • Tien M, Kirk TK (1988) Lignin peroxidase of Phanerochaete chrysosporium. In: Willis A. Wood STK (ed) Methods in Enzymology, vol Volume 161. Academic Press, pp 238-249.doi:http://dx.doi.org/10.1016/0076-6879(88)61025-1

  • Todd SJ, Cain RB, Schmidt S (2002) Biotransformation of naphthalene and diaryl ethers by green microalgae. Biodegradation 13(4):229–238

    CAS  Article  Google Scholar 

  • Tondje PR, Roberts DP, Bon MC, Widmer T, Samuels GJ, Ismaiel A, Begoude AD, Tchana T, Nyemb-Tshomb E, Ndoumbe-Nkeng M, Bateman R, Fontem D, Hebbar KP (2007) Isolation and identification of mycoparasitic isolates of Trichoderma asperellum with potential for suppression of black pod disease of cacao in Cameroon. Biol Control 43(2):202–212. doi:10.1016/j.biocontro1.2007.08.004

    Article  Google Scholar 

  • US-EPA (2008) Polycyclic aromatic hydrocarbons (PAHs). Office of Solid Waste, United States Environmental Protection Agency.http://www.epa.gov/wastes/hazard/wastemin/minimize/factshts/pahs.pdf. Accessed March 2012

  • Verdin A, Sahraoui L, Durand R (2004) Degradation of benzo[a]pyrene by mitosporic fungi and extracellular oxidative enzymes. Int Biodeter Biodegr 53(2):65–70. doi:10.1016/j.ibiod.2003.12.001

    CAS  Article  Google Scholar 

  • Wojcieszynska D, Guzik U, Gren I, Perkosz M, Hupert-Kocurek K (2011) Induction of aromatic ring: cleavage dioxygenases in Stenotrophomonas maltophilia strain KB2 in cometabolic systems. World J Microbiol Biotechnol 27(4):805–811. doi:10.1007/s11274-010-0520-6

    CAS  Article  Google Scholar 

  • Wu Y, Luo Y, Zou D, Ni J, Liu W, Teng Y, Li Z (2008) Bioremediation of polycyclic aromatic hydrocarbons contaminated soil with Monilinia sp.: degradation and microbial community analysis. Biodegradation 19(2):247–257. doi:10.1007/s10532-007-9131-9

    CAS  Article  Google Scholar 

  • Yuan SY, Chang SW, Chang BV (2003) Biodegradation of polycyclic aromatic hydrocarbons in sludge. Bull Environ Contam Toxicol 71(3):625–632

    CAS  Article  Google Scholar 

  • Zafra G, Absalón ÁE, Cuevas MC, Cortés-Espinosa DV (2014) Isolation and selection of a highly tolerant microbial consortium with potential for PAH biodegradation from heavy crude oil-contaminated soils. Water Air Soil Poll 225(2):1826. doi:10.1007/s11270-013-1826-4

    Article  Google Scholar 

Download references

Acknowledgments

This work was supported by Consejo Nacional de Ciencia y Tecnología (CONACYT) project CB2008-105643, Instituto Politécnico Nacional project SIP20144071 and CONACYT grant 269828.

Author information

Affiliations

Authors

Corresponding author

Correspondence to Diana V. Cortés-Espinosa.

Additional information

Responsible editor: Robert Duran

Rights and permissions

Reprints and Permissions

About this article

Verify currency and authenticity via CrossMark

Cite this article

Zafra, G., Moreno-Montaño, A., Absalón, Á.E. et al. Degradation of polycyclic aromatic hydrocarbons in soil by a tolerant strain of Trichoderma asperellum . Environ Sci Pollut Res 22, 1034–1042 (2015). https://doi.org/10.1007/s11356-014-3357-y

Download citation

  • Received:

  • Accepted:

  • Published:

  • Issue Date:

  • DOI: https://doi.org/10.1007/s11356-014-3357-y

Keywords

  • Trichoderma asperellum
  • Polycyclic aromatic hydrocarbons (PAHs)
  • Soil bioremediation
  • Laccase
  • Peroxidase
  • Dioxygenase