Abstract
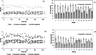
Sequential anaerobic-aerobic digestion has been demonstrated as a promising alternative for enhanced sludge stabilization. In this paper, a feasibility study of the sequential digestion applied to real waste activated sludge (WAS) and mixed sludge is presented. Process performance is evaluated in terms of total solid (TS) and volatile solid (VS) removal, biogas production, and dewaterability trend in the anaerobic and double-stage digested sludge. In the proposed digestion lay out, the aerobic stage was operated with intermittent aeration to reduce the nitrogen load recycled to the wastewater treatment plant (WWTP). Experimental results showed a very good performance of the sequential digestion process for both waste and mixed sludge, even if, given its better digestibility, higher efficiencies are observed for mixed sludge. VS removal efficiencies in the anaerobic stage were 48 and 50 % for waste and mixed sludge, respectively, while a significant additional improvement of the VS removal of 25 % for WAS and 45 % for mixed sludge has been obtained in the aerobic stage. The post-aerobic stage, operated with intermittent aeration, was also efficient in nitrogen removal, providing a significant decrease of the nitrogen content in the supernatant: nitrification efficiencies of 90 and 97 % and denitrification efficiencies of 62 and 70 % have been obtained for secondary and mixed sludges, respectively. A positive effect due to the aerobic stage was also observed on the sludge dewaterability in both cases. Biogas production, expressed as Nm3/(kgVSdestroyed), was 0.54 for waste and 0.82 for mixed sludge and is in the range of values reported in the literature in spite of the low anaerobic sludge retention time of 15 days.







Similar content being viewed by others
Explore related subjects
Discover the latest articles and news from researchers in related subjects, suggested using machine learning.References
APHA (1998) Standard methods for the examination of water and wastewater, 20th edn. APHA, Washington DC
Bhattacharya SK, Madura RL, Walling DA, Farrel GB (1996) Volatile solids reduction in two-phase and conventional anaerobic sludge digestion. Water Res 30:1041–1048
Bolzonella D, Pavan P, Battistoni P, Cecchi F (2005) Mesophilic anaerobic digestion of waste activated sludge: influence of the solid retention time in the wastewater treatment process. Process Biochem 40:1453–1460
Bousková A, Dohányos M, Schmidt JE, Angelidaki I (2005) Strategies for changing temperature from mesophilic tothermophilic conditions in anaerobic CSTR reactors treating sewage sludge. Water Res 39:481–1488
European Commission (EU) DG Environment B/2 (2001) Disposal and recycling routes for sewage sludge EU Part 3—Scientific and technical report, Luxembourg, pp. 72, available at http://ec.europa.eu/environment/waste/sludge/pdf/sludge_disposal3.pdf. Accessed May 2014
Gray NF (1992) How nature deals with waste. In: Biology of wastewater treatment, Chap. 1, Oxford University Press, U.K., pp. 830
Henze M, Grady CPL Jr, Gujer W, Marais GR, Matsuo T (1987) Activated sludge model no 1. IAWPRC scientific and technical reports no 1, IAWPRC. IWA Publishing, London, p 38
Kim J, Novak JT (2011) Combined anaerobic/aerobic digestion: effect of aerobic retention time on nitrogen and solids removal. Water Environ Res 83:802–806
Koop J, Dichtl N (2001) Prediction of full scale dewatering results of sewage sludge by the physical water distribution. Water Sci Technol 43:135–143
Kumar N, Novak JT, Murthy S (2006a) Effect of secondary aerobic digestion on properties of anaerobic digested biosolids. Water Environmental Federation 79th Annual Technical Exibition and Conference, Dallas, 6806–6829
Kumar N, Novak JT, Murthy S (2006b) Sequential anaerobic-aerobic digestion for enhanced volatile solids reduction and nitrogen removal. Water Environmental Federation Residuals and Biosolids Management Conference, Cincinnati, OH, March 12–14
Mata-Alvarez J, Mtz-Viturtia A, Torres R (1986) A simple device to measure biogas production in laboratory scale digesters. Biotechnol Lett 8:719–720
Mininni G, Braguglia CM, Ramadori R, Tomei MC (2004) An innovative sludge management system based on separation of primary and secondary sludge treatment. Water Sci Technol 50:145–153
Novak JT, Banjade S, Murthy SN (2011) Combined anaerobic-aerobic digestion for increased solids reduction and nitrogen removal. Water Res 45:618–624
Parravicini V, Svardal K, Hornek R, Kroiss H (2008) Aeration of anaerobically digested sewage sludge for COD and nitrogen removal: optimization at large-scale. Water Sci Technol 57:257–264
Speece RE (1988) A survey of municipal sludge digesters and diagnostic activity assays. Water Res 22:365–372
Subramanian S, Kumar N, Murthy SN, Novak JT (2007) Effect of anaerobic digestion and anaerobic/aerobic digestion processes on sludge dewatering. J Residuals Sci Tech 4:17–23
Tomei MC, Rita S, Mininni G (2011a) Performance of sequential anaerobic/aerobic digestion applied to municipal sewage sludge. J Enviro Manage 92:1867–1873
Tomei MC, Rita S, Mininni G (2011b) Sequential anaerobic/aerobic digestion of waste activated sludge: analysis of the process performance and kinetic study. New Biotechnol 29:17–22
Vesilind PA, Spinosa L (2001) Production and regulations. In: Spinosa L, Vesilind PA (eds) Sludge into biosolids—processing, disposal, utilization. IWA Publishing, London, pp 3–18
Wang F, Ji M, Lu S (2006) Influence of ultrasonic disintegration on the dewaterability of waste activated sludge. Environ Prog 25:257–260
Zupancic GD, Ros M (2008) Aerobic and two-stage anaerobic–aerobic sludge digestion with pure oxygen and air aeration. Bioresource Technol 99:100–109
Acknowledgments
This work was supported by the EU ROUTES project funded from the European Union’s Seventh Programme for research, technological development, and demonstration under grant agreement No. 265156.
Author information
Authors and Affiliations
Corresponding author
Additional information
Responsible editor: Philippe Garrigues
Rights and permissions
About this article
Cite this article
Tomei, M.C., Carozza, N.A. Sequential anaerobic/anaerobic digestion for enhanced sludge stabilization: comparison of the process performance for mixed and waste sludge. Environ Sci Pollut Res 22, 7271–7279 (2015). https://doi.org/10.1007/s11356-014-3130-2
Received:
Accepted:
Published:
Issue Date:
DOI: https://doi.org/10.1007/s11356-014-3130-2

