Skip to main content

EDTA ameliorates phytoextraction of lead and plant growth by reducing morphological and biochemical injuries in Brassica napus L. under lead stress

Abstract

Brassica species are very effective in remediation of heavy metal contaminated sites. Lead (Pb) as a toxic pollutant causes number of morphological and biochemical variations in the plants. Synthetic chelator such as ethylenediaminetetraacetic acid (EDTA) improves the capability of plants to uptake heavy metals from polluted soil. In this regard, the role of EDTA in phytoextraction of lead, the seedlings of Brassica napus L. were grown hydroponically. Lead levels (50 and 100 μM) were supplied alone or together with 2.5 mM EDTA in the nutrient culture. After 7 weeks of stress, plants indicated that toxicity of Pb caused negative effects on plants and significantly reduced growth, biomass, chlorophyll content, gas exchange characteristics, and antioxidant enzymes activities such as superoxide dismutase (SOD), guaiacol peroxidase (POD), ascorbate peroxidase (APX), and catalase (CAT). Exposure to Pb induced the malondialdehyde (MDA), and hydrogen peroxide (H2O2) generation in both shoots and roots. The addition of EDTA alone or in combination with Pb significantly improved the plant growth, biomass, gas exchange characteristics, chlorophyll content, and antioxidant enzymes activities. EDTA also caused substantial improvement in Pb accumulation in Brassica plants. It can be deduced that application of EDTA significantly lessened the adverse effects of lead toxicity. Additionally, B. napus L. exhibited greater degree of tolerance against Pb toxicity and it also accumulated significant concentration of Pb from media.

This is a preview of subscription content, access via your institution.

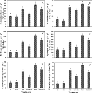
Fig. 1
Fig. 2
Fig. 3
Fig. 4

References

  • Aebi H (1984) Catalase in vitro. Methods Enzymol 105:121–126

    CAS  Article  Google Scholar 

  • Ahmad RA, Khalid M, Arshad ZA, Zahir M, Naveed (2011) Effect of raw (un-composted) and composted organic material on growth and yield of maize (Zea mays L.). Soil & Environ 25:135–142

    Google Scholar 

  • Ali B, Jin PQR, Ali S, Khan M, Aziz R, Tian T, Zhou W (2013) Morpho-physiological and ultra-structural changes induced by cadmium stress in seedlings of two cultivars of Brassica napus L. Biolog. Plant. Accepted in press

  • Alihan J, Bradshaw AD, Turner RG (2010) Heavy metal tolerance in plants. Ecol Res 7:1–85

    Google Scholar 

  • Balakhnina T, Kosobryukhov A, Ivanov A, Kreslavskii V (2005) The effect of cadmium on CO2 exchange, variable fluorescence of chlorophyll, and the level of antioxidant enzymes in pea leaves. Russ J Plant Physl 52:15–20

    CAS  Article  Google Scholar 

  • Blaylock MJ, Salt DE, Dushenkov S, Zakharova O, Gussman C, Kapulnik Y, Ensley BD, Raskin I (1997) Enhanced accumulation of Pb in Indian mustard by soil-applied chelating agents. Env Sci Tech 31(3):860–865

    Article  Google Scholar 

  • Chen ZS, Lee GJ, Liu JC (2000) The effects of chemical remediation treatments on the extractability and speciation of cadmium and lead in contaminated soils. Chemosphere 41:235–242

    CAS  Article  Google Scholar 

  • Dhindsa RS, Plumb-Dhindsa P, Thorpe TA (1981) Leaf senescence: correlated with increased levels of membrane permeability and lipid peroxidation, and decreased levels of superoxide dismutase and catalase. J Exp Bot 32(1):93–101

    CAS  Article  Google Scholar 

  • Dionisio-Sese ML, Tobita S (1998) Antioxidant responses of rice seedlings to salinity stress. Plant Sci 135(1):1–9

    CAS  Article  Google Scholar 

  • Ehsan S, Ali S, Noureen S, Farid M, Shakoor MB, Aslam A, Bharwana SA, Tauqeer HM (2013) Comparative assessment of different heavy metals in urban soil and vegetables irrigated with sewage/industrial waste water. Ecoterra 35:37–53

    Google Scholar 

  • Erdei S, Hegedus A, Hauptmann G, Szalai J, Horvath G (2002) Heavy metal induced physiological changes in the antioxidative response system, in: Proceedings of the Seventh Hungarian Congress on Plant Physiology. 89–90

  • Gajewska E, Skłodowska M, Słaba M, Mazur J (2006) Effect of nickel on antioxidative enzyme activities, praline and chlorophyll contents in wheat shoots. Biol Plant 50:653–659

    CAS  Article  Google Scholar 

  • Gomes-Junior RA, Moldes CA, Delite FS, Pompeu GB, Gratao PL, Mazzafera P, Lea PG, Azevedo RA (2006) Antioxidant metabolism of coffee cell suspension cultures in response to cadmium. Chemosphere 65:1330–1337

    CAS  Article  Google Scholar 

  • Gopal R, Rizvi AH (2008) Excess lead alters growth, metabolism and translocation of certain nutrients in radish. Chemosphere 70:1539–1544

    CAS  Article  Google Scholar 

  • Grifferty A, Barrington S (2000) Zinc uptake by young wheat plants under two transpiration regimes. J Environ Qual 29:443–446

    CAS  Article  Google Scholar 

  • Gupta DK, Nicolosoa FT, Schetingerb MRC, Rossatoa LV, Pereirab LB, Castroa GY, Srivastavac S, Tripathi RD (2009) Antioxidant defense mechanism in hydroponically grown Zea mays seedlings under moderate lead stress. J Hazard M 172:479–484

    CAS  Article  Google Scholar 

  • Hamid N, Bukhari N, Jawaid F (2010) Physiological responses of Phaseolus vulgaris to different lead concentrations. Pak J Bot 42:239–246

    CAS  Google Scholar 

  • Heath RL, Packer L (1968) Photoperoxidation in isolated chloroplasts. I. Kinetics and stoichiometry of fatty acid peroxidation. Arch Biochem Biophysiol 125:189–198

  • Huang JW, Chen J, Berti WR, Cunningham SD (1997) Phytoremediation of lead contaminated soils: role of synthetic chelates in lead phytoextraction. Environ Sci Technol 3:800–805

    Article  Google Scholar 

  • Kirkham MB (2006) Cadmium in plants on polluted soils: Effects of soil factors, hyperaccumulation, and amendments. Geoderma 137:19–32

    CAS  Article  Google Scholar 

  • Komarek M, Tlustos P, Szakova J, Chrastny V, Ettler V (2007) The use of maize and poplar in chelant-enhanced phytoextraction of lead from contaminated agricultural soils. Chemosphere 67:640–651

    CAS  Article  Google Scholar 

  • Macfarlane GR (2003) Chlorophyll a fluorescence as a potential biomarker of zinc stress in the grey mangrove, Avicenniamarina. Bull Environ Contam Toxicol 70:90–96

    CAS  Article  Google Scholar 

  • Metzner H, Rau H, Senger H (1965) Untersuchungen zur Synchronisierbareit einzelner Pigment mangel Mutanten von Chlorella. Planta 65:186–194

  • Mohd SAK, Cervantes C, Tavera HL, Avudainayagam S (2010) Chromium toxicity in plants. J Environ Int 31:739–753

    Google Scholar 

  • Najeeb U, Xua L, Ali S, Jilani G, Gonga HJ, Shenc WQ, Zhoua WJ (2009) Citric acid enhances the phytoextraction of manganese and plant growth by alleviating the ultrastructural damages in Juncus effusus L. J Hazard Mat 170:1156–1163

    CAS  Article  Google Scholar 

  • Nakano Y, Asada K (1981) Hydrogen peroxide is scavenged by ascorbate-specific peroxidase in spinach chloroplasts. Plant Cell Physiol 22:867–880

    CAS  Google Scholar 

  • Nowack B, Schulin R, Robinson BH (2006) Critical assessment of chelant-enhanced metal phytoextraction. Environ Sci Technol 40:5225–5232

    CAS  Article  Google Scholar 

  • Obidzinska (1998) The effect of lead on seed imbibition and germination in different plant species. Plant Sci 137:155–171

    Article  Google Scholar 

  • Rucinska-Sobkowiak R, Pukacki PM (2006) Antioxidative defense system in lupin roots exposed to increasing concentrations of lead. Acta Physiol Plant 28:357–364

    CAS  Article  Google Scholar 

  • Ruley AT, Sharma NC, Sahi SV, Singh SR, Sajwan KS (2006) Effects of lead and chelators on growth, photosynthetic activity and Pb uptake in Sesbania drummondii grown in soil. Environ Pollut 144:11–18

    CAS  Article  Google Scholar 

  • Saifullah, Meers E, de Qadir M, Caritat P, Tack FMG, Du Laing G, Zia MH (2009) EDTA-assisted Pb phytoextraction. Chemosphere 74:1279–1291

    CAS  Article  Google Scholar 

  • Santos FS, Hernandez-Allica J, Becerril JM, Amaral-Sobrinho N, Mazur N, Garbisu C (2006) Chelate-induced phytoextraction of metal polluted soils with Brachiaria decumbens. Chemosphere 65:43–50

    CAS  Article  Google Scholar 

  • Schmidt U (2003) Enhancing phytoextraction: the effect of chemical soil manipulation on mobility, plant accumulation, and leaching of heavy metals. J Environ Qual 32:1939–1954

    CAS  Article  Google Scholar 

  • Sharma PR, Dubey S (2005) Lead toxicity in plants. Braz J Plant Physiol 17:35–52

    CAS  Article  Google Scholar 

  • Singh S, Eapen S, D’Souza SF (2006) Cadmium accumulation and its influence on lipid peroxidation and antioxidative system in an aquatic plant, Bacopa monnieri L. Chemosphere 62:233–246

    CAS  Article  Google Scholar 

  • Smeets K, Cuypers A, Lambrechts A, Semane B, Hoet P, Van AL, Vangronsveld J (2005) Induction of oxidative stress and antioxidative mechanisms in Phaseolus vulgaris after Cd application. Plant Physiol Biochem 43:437–444

    CAS  Article  Google Scholar 

  • Vacullk M, Lux A, Luxovac M, Tanimoto E, Lichtscheidl I (2009) Silicon mitigates cadmium inhibitory effects in young maize plants. Ecotoxicol Environ Saf 67:52–58

    Google Scholar 

  • Wahid A, Perveen M, Gelani S, Basra S (2007) Pretreatment of seed with H2O2 improves salt tolerance of wheat seedlings by alleviation of oxidative damage and expression of stress proteins.". J Plant Physiol 164(3):283–294

    CAS  Article  Google Scholar 

  • Wang EX, Bormann FH, Benoit G (1995) Evidence of complete retention of atmospheric lead in soils of northern hardwood forested ecosystems. Environ Sci Technol 29:735–739

    CAS  Article  Google Scholar 

  • Xian X (1987) Chemical partitioning of cadmium, zinc, lead, and copper in soils near smelters. J Environ Sci Health 6:527–541

    Google Scholar 

  • Yang YN, Wei X, Lu J, You J, Wang W, Shi R (2010) Lead induced phytotoxicity mechanism involved in seed germination and seedling growth of wheat (Triticum aestivum L.). Ecotoxicol Environ Saf 73:1982–1987

    CAS  Article  Google Scholar 

  • Zhang J, Kirkham M (1994) Drought-stress-induced changes in activities of superoxide dismutase, catalase, and peroxidase in wheat species.". Plant Cell Physiol 35(5):785–791

    CAS  Google Scholar 

  • Zhang XZ (1992) The measurement and mechanism of lipid peroxidation and SOD, POD and CAT activities in biological system. In: Zhang XZ (ed) Research methodology of crop physiology. Agriculture Press, Beijing, pp 208–211

    Google Scholar 

Download references

Acknowledgments

The authors thank the Higher Education Commission of Pakistan for the financial support. The results presented in this paper are a part of M. Phil’s studies of Urooj Kanwal.

Author information

Affiliations

Authors

Corresponding author

Correspondence to Shafaqat Ali.

Additional information

Responsible editor: Elena Maestri

Rights and permissions

Reprints and Permissions

About this article

Verify currency and authenticity via CrossMark

Cite this article

Kanwal, U., Ali, S., Shakoor, M.B. et al. EDTA ameliorates phytoextraction of lead and plant growth by reducing morphological and biochemical injuries in Brassica napus L. under lead stress. Environ Sci Pollut Res 21, 9899–9910 (2014). https://doi.org/10.1007/s11356-014-3001-x

Download citation

  • Received:

  • Accepted:

  • Published:

  • Issue Date:

  • DOI: https://doi.org/10.1007/s11356-014-3001-x

Keywords

  • Antioxidant enzymes activities
  • Brassica napus L
  • EDTA
  • Phytoextraction
  • Lead
  • Toxicity