Abstract
Purpose
Removal of malathion from agricultural runoff was studied using novel copper-coated chitosan nanocomposite (CuCH)—a biopolymeric waste obtained from marine industry.
Methods
Synthesis and characterization of the adsorbent using different spectral techniques like Fourier transform infrared spectroscopy (FTIR), scanning electron microscopy, energy-dispersive X-ray spectroscopy, Brunauer, Emmett, and Teller surface analyzer have been carried out. Equilibrium studies have been carried out to optimize the dose rate, pH, and the reaction time. Parathion and methyl parathion removal were also evaluated by CuCH in the batch mode. Using gas chromatography–mass spectrometry (GC–MS) and FTIR studies suitable mechanism for adsorption has been suggested.
Results
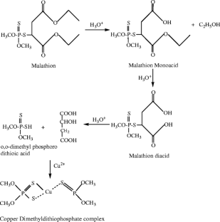
The particle size of the adsorbent ranged from 700 to 750 nm. The surface area was found to be 20 m2 g-1 with a pore volume of 0.11 cc g-1. The maximum adsorption capacity of malathion by CuCH was found to be 322.6 ± 3.5 mg g-1 at an optimum pH of 2.0. Presence of copper ions enhanced the adsorption capacity of the adsorbent. The reaction was found to follow pseudo second-order kinetics with a rate constant of 0.53 g mg-1 min-1. Evidence from FTIR indicated that copper ions form a dithionate complex with malathion during the adsorption stage. The adsorbent was found to remove malathion completely from spiked concentration of 2 mg l-1 in the agricultural run-off samples. It was also found that CuCH removed other organophospurous pesticides like methyl parathion and parathion under prevailing conditions.
Conclusions
The results indicated that CuCH could be applied for the removal of organophosphorous pesticides.







Similar content being viewed by others
Explore related subjects
Discover the latest articles and news from researchers in related subjects, suggested using machine learning.References
Akhtar M, Hasany SM, Bhanger MI, Iqbal S (2007) Low cost adsorbents for the removal of methyl parathion pesticide from aqueous solutions. Chemosphere 66:1829–1838
Akhtar M, Iqbal S, Bhangera MI, Moazzam M (2009a) Utilization of organic by-products for the removal of organophosphorous pesticide from aqueous media. J Hazard Mater 162:703–707
Akhtar M, Iqbal S, Bhangera MI, Zia-Ul-Haqc M, Moazzam M (2009b) Sorption of organophosphorous pesticides onto chickpea husk from aqueous solutions. Colloids Surf B 69:63–70
Ali I, Gupta VK (2007) Advances in water treatment by adsorption technology. Nat Protoc 1:2662–2667
Calvo P, Remuñán-López C, Vila-Jato JL, Alonso MJJ (1997) Novel hydrophilic chitosan–polyethylene oxide nanoparticles as protein carriers. J Appl Polym Sci 63:125–132
EEC council directive 80/778/EEC. Off J Eur Comm L 229, Aug. 30, 1980, p 11
Forney D, Davis D (1981) Effects of low concentrations of herbicides on submerged aquatic plants. Weed Sci 29:677
Garifyanov NS, Kozyrev BM (1966) Electron paramagnetic resonance in solutions of bivalent copper diethyl dithiophosphate. J Struc Chem 6:743–736.
Guibal E (2004) Interactions of metal ions with chitosan-based sorbents: a review. Sep Purif Technol 38:43–74
Gupta VK, Ali I (2008) Removal of endosulfan and methoxychlor from water on carbon slurry. Environ Sci Technol 42:766–770
Gupta VK, Jain CK, Ali I, Chandra S, Agarwal S (2001) Removal of lindane and malathion from wastewater using bagasse fly ash a sugar industry waste. Water Res 36:2483–2490
Gupta VK, Carrott MML, Ribeiro Carrott M, Suhas ML (2009) Growing approach to wastewater treatment—a review. Crit Rev Environ Sci Technol 39:783–842
Ho YS, Mckay G (1997) Psuedo kinetic model for sorption processes. In: Zhong L, Zhenhua Y (eds) Advances in adsorption separation science and technology, the proceedings of the fourth China–Japan–USA symposium on advanced adsorption separation science and technology, May 13–16, 1997. China, South China University of Technology Press, Guanzhou, Guangzhou, pp 257–263
Jusoh A, Hartini WJH, Ali NA, Endut A (2011) Study on the removal of pesticide in agricultural run off by granular activated carbon. Bioresource Technol 102:5312–5318
Leonard R (1988) Herbicides in surface water. In: Grover R (ed) Environmental chemistry of herbicides, vol 1. CRC Press, Boca Raton, FL, USA, pp 7, 45–87
Lu LC, Wang CI, Sye WF (2011) Applications of chitosan beads and porous crab shell powder for the removal of 17 organochlorine pesticides (OCPs) in water solution. Carbohydr Polym 83:1984–1989
Miliadis GE (1994) Determination of pesticide residues in natural waters of Greece by solid phase extraction and gas chromatography. Bull Environ Contam Toxicol 52:25–30
Miyamoto J, Mikami N, Takimoto Y (1990) The fate of pesticides in aquatic ecosystems. In: Hutson DH, Roberts TR (eds) Environmental fate of pesticides. Wiley, Chichester, England, pp 123–147
Mulla M, Mian L (1981) Biological and environmental impacts of insecticides malathion and parathion on non-target biota in aquatic ecosystem. Res Ver 78:101–135
Pal OR, Vanjara AK (2001) Removal of malathion and butachlor from aqueous solutions by clays and organoclays. Sep Pur Technol 24:167–172
Reigart JR, Roberts JR (1999) Organophosphate insecticides. Recognition and management of pesticide poisonings, 5th edn. U.S Environmental Protection Agency, Office of Prevention, Pesticides and Toxic Substances, Office of Pesticide Programs, U.S. Government Printing Office, Washington, DC, pp 34–47
Sankararamakrishnan N, Sharma AK, Sanghi R (2005) Organochlorine and organophosphorous pesticide residues in ground water and surface waters of Kanpur, Uttar Pradesh, India. Environ Int 31:113–120
Singh VK, Singh RS, Tiwari PN, Singh JK, Gode F, Sharma YC (2010) Removal of malathion from aqueous solutions and waste water using fly ash. J Water Resource Protect 2:322–330
USEPA. (2006) Malathion: revised human health risk assessment for the reregistration eligibility decision document (RED), EPA-HQOPP-2004-0348-0057. U.S. Environmental Protection Agency, Office of Prevention, Pesticides and Toxic Substances, Office of Pesticide Programs, U.S. Government Printing Office, Washington, DC
Wolfe NL, Zepp RG, Gordon JA, Baughman GL, Cline DM (1977) Kinetics of chemical degration of malathion in water. Environ Sci Technol 11:88–93
Acknowledgments
The authors would like to thank the DST unit of Nanosciences at IIT Kanpur for providing the SEM facility.
Author information
Authors and Affiliations
Corresponding author
Additional information
Responsible editor: Philippe Garrigues
Rights and permissions
About this article
Cite this article
Jaiswal, M., Chauhan, D. & Sankararamakrishnan, N. Copper chitosan nanocomposite: synthesis, characterization, and application in removal of organophosphorous pesticide from agricultural runoff. Environ Sci Pollut Res 19, 2055–2062 (2012). https://doi.org/10.1007/s11356-011-0699-6
Received:
Accepted:
Published:
Issue Date:
DOI: https://doi.org/10.1007/s11356-011-0699-6


