Abstract
Introduction
Two emergent macrophytes, Arundo donax and Phragmites australis, were established in experimental subsurface flow, gravel-based constructed wetlands (CWs) receiving untreated recirculating aquaculture system wastewater.
Materials and methods
The hydraulic loading rate was 3.75 cm day−1. Many of the monitored water quality parameters (biological oxygen demand [BOD], total suspended solids [TSS], total phosphorus [TP], total nitrogen [TN], total ammoniacal nitrogen [TAN], nitrate nitrogen [NO3], and Escherichia coli) were removed efficiently by the CWs, to the extent that the CW effluent was suitable for use on human food crops grown for raw produce consumption under Victorian state regulations and also suitable for reuse within aquaculture systems.
Results and discussion
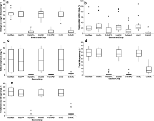
The BOD, TSS, TP, TN, TAN, and E. coli removal in the A. donax and P. australis beds was 94%, 67%, 96%, 97%, 99.6%, and effectively 100% and 95%, 87%, 95%, 98%, 99.7%, and effectively 100%, respectively, with no significant difference (p > 0.007) in performance between the A. donax and P. australis CWs. In this study, as expected, the aboveground yield of A. donax top growth (stems + leaves) (15.0 ± 3.4 kg wet weight) was considerably more than the P. australis beds (7.4 ± 2.8 kg wet weight). The standing crop produced in this short (14-week) trial equates to an estimated 125 and 77 t ha−1 year−1 biomass (dry weight) for A. donax and P. australis, respectively (assuming that plant growth is similar across a 250-day (September–April) growing season and a single-cut, annual harvest).
Conclusion
The similarity of the performance of the A. donax- and P. australis-planted beds indicates that either may be used in horizontal subsurface flow wetlands treating aquaculture wastewater, although the planting of A. donax provides additional opportunities for secondary income streams through utilization of the energy-rich biomass produced.





Similar content being viewed by others
Explore related subjects
Discover the latest articles and news from researchers in related subjects, suggested using machine learning.References
Allinson G, Watt A, Gervasi D, Mitchell B (2005) Renovating a constructed wetland for industrial wastewater treatment. Water 32(3):46–51
Angelini GL, Ceccarini L, Nassi o Di Nasso N, Bonari E (2009) Comparison of Arundo donax L. and Miscanthus x giganteus in a long-term field experiment in Central Italy: analysis of productive characteristics and energy balance. Biomass Bioenerg 33:635–643
ANZECC, ARMCANZ (2000) Australian and New Zealand guidelines for fresh and marine water quality. Australian and New Zealand Environment and Conservation Council and Agriculture and Resource Management Council of Australia and New Zealand, Canberra
APHA (2005) Standard methods for the examination of water and wastewater, 21st edn. American Public Health Association, Washington
Arnon DI (1949) Copper enzymes in isolated chloroplasts polyphenoloxidase in Beta vulgaris. Plant Physiol 24:1–15
BOM (2011) Climate data on-line. Commonwealth of Australia 2011, Bureau of Meteorology. Available at http://www.bom.gov.au/climate/data. Accessed September 2011
Brisson J, Chazarenc F (2009) Maximizing pollutant removal in constructed wetlands: should we pay more attention to macrophyte species selection? Sci Total Environ 407:3923–3930
Brix H (1997) Do macrophytes play a role in constructed treatment wetland? Water Sci Technol 35(5):11–17
Comeau Y, Brisson J, Réville JP, Forget C, Drioz A (2001) Phosphorus removal from trout farm effluents by constructed wetlands. Water Sci Technol 44(11–12):55–60
Cosentino SL, Copani V, D’Agosta GM, Sanzone E, Mantineo M (2006) First results on evaluation of Arundo donax L. clones collected in Southern Italy. Ind Crop Prod 23:212–222
Crooker CP, Contreras OJ (2010) Bioremediation of aquaculture wastes. Curr Opin Biotech 21:313–317
Daniel WW (1990) Applied nonparametric statistics, 2nd edn. PWS-Kent, Boston
De Iono NP, Wines LG, Jones LP, Collins OR (2006) A bioeconomic evaluation of a commercial scale recirculating finfish grow out system—an Australian perspective. Aquaculture 259:315–327
Decamp O, Warren A (1998) Bacteriovory in ciliates isolated from constructed wetlands (reed beds) used for wastewater treatment. Water Res 32:1989–1996
Decamp O, Warren A, Sanchez R (1999) The role of ciliated protozoa in subsurface flow wetland and their potential as bioindicators. Water Sci Technol 40(3):91–98
Edding EH, Kamstra A, Verreth JAJ, Huisman EA, Klapwijk A (2006) Design and operation of nitrifying trickling filters in recirculating aquaculture: a review. Aquacult Eng 34:234–260
EPA (1991) Guidelines for wastewater irrigation. Environment Protection Authority, Publication 168. EPA Victoria, Melbourne
Ewais EA (1997) Effects of cadmium, nickel and lead on growth, chlorophyll content and proteins of weeds. Biol Plantarum 39:403–410
Gadallah MAA (1994) Interactive effect of heavy metals and temperature on the growth and chlorophyll, saccharides and soluble nitrogen contents in Phaseolous vulgaris. Biol Plantarum 36:373–382
Gersberg RM, Gearhart RA, Ives M (1989a) Pathogen removal in constructed wetland. In: Hammer DA (ed) Constructed wetlands for wastewater treatment. Lewis, Chelsea, pp 431–446
Gersberg RM, lyon SR, Brenner R, Elkins BV (1989b) Integrated wastewater treatment using artificial wetlands: a gravel marsh case study. In: Hammer DA (ed) Constructed wetlands for wastewater treatment. Lewis, Chelsea, pp 145–152
Hagopian DS, Riley JG (1998) A closer look at the bacteriology of nitrification. Aquacult Eng 18:223–244
Hatano K, Trettin CC, House CH, Wolumn AG (1993) Microbial populations and decomposition activity in three subsurface flow constructed wetlands. In: Moshiri GA (ed) Constructed wetlands for water quality improvement. CRC, Boca Raton, pp 541–547
Idris SM, Jones PL, Salzman SA, Allinson G (2011) Performance of the giant reed (Arundo donax) in experimental wetlands receiving variable loads of industrial stormwater. Wat Air Soil Poll. doi:10.1007/s11270-011-0881-y
IWA (2000) Constructed wetlands for pollution control. Processes, performance, design and operation. IWA, London
Kadlec RH (2009) Comparison of free water and horizontal subsurface treatment wetlands. Ecol Eng 35:159–174
Kadlec RH, Knight RL (1996) Treatment wetlands. CRC, Boca Raton
Kadlec RH, Wallace SD (2009) Treatment wetlands, 2nd edn. CRC, Boca Raton
Karpiscak MM, Gerba CP, Watt PM, Foster KE, Falabi JA (1996) Multi-species plant systems for wastewater quality improvements and habitat enhancement. Water Sci Technol 33(10–11):231–236
Lawrie R (1996) Irrigation impacts at Nowra. Water 23:32–35
Lewis M, Jackson M (2002) Nalgrass: a nonwood fiber source suitable for existing US pulp mills. In: Janick J, Whipkey A (eds) Trends in new crops and new uses. ASHS, Alexandria, pp 371–376
Lin YF, Jing SR, Lee DY, Wang TW (2002) Nutrient removal from aquaculture wastewater using a constructed wetlands system. Aquaculture 209:169–184
Lin YF, Jing SR, Lee DY, Chang YF, Chen YM, Shih KC (2005) Performance of a constructed wetland treating intensive shrimp aquaculture wastewater under high hydraulic loading rate. Environ Pollut 134:411–421
Maltais-Landry G, Chazrenc F, Comeau Y, Troesch S, Brisson J (2007) Effects of artificial aeration, macrophyte species, and loading rate on removal efficiency in constructed wetland mesocosms treating fish farm wastewater. J Environ Eng Sci 6:409–414
Manios T, Kypriotakis Z, Manios V, Dialyna G (2002) Plant species in a two year old free water surface constructed wetland treating domestic wastewater in the island of Crete. J Environ Sci Heal A 37:1327–1335
Manios T, Edward IS, Millner AP (2003) The effect of heavy metals accumulation on the chlorophyll concentration of Typha latifolia plants, growing in a substrate containing sewage sludge compost and watered with metaliferus water. Ecol Eng 20:65–74
Milden A, Redding T (1998) Environmental management for aquaculture. Chapman & Hall, London
Mungray KA, Patel K (2011) Coliforms removal in two UASB + ASP based systems. Int Biodeter Biodegr 65:23–28
Perdue RE (1958) Arundo donax—source of musical reeds and industrial cellulose. Econ Bot 12:368–404
Pundsack J, Axler R, Hicks R, Henneck J, Nordmann D, McCarthy B (2001) Seasonal pathogen removal by alternative on-site wastewater treatment system. Water Environ Res 73:204–212
Rawlinson P (2002) The economics efficiencies of partial and intensive recirculation aquaculture systems for Murray cod. In: Ingram BA (ed) Murray cod aquaculture: now and into the future. Victorian Institute of Animal Science, Attwood, pp 17–18
Robinson JB (1992) Grapevine nutrition. In: Coombe BG, Dry PR (eds) Viticulture. Volume 2, practices. Winetitles, Adelaide
Ryerson DE, Dengler NG (1994) Light induced phenotypic plasticity in plants. In: Goldman CA (ed) Tested studies for laboratory teaching. Proceedings of the 15th Workshop/Conference of the Association for Biology Laboratory Education (ABLE); 15:259–293
Schulz C, Gelbrecht J, Rennert B (2003) Treatment of rainbow trout farm effluents in constructed wetland with emergent plants and subsurface horizontal water flow. Aquaculture 217:207–221
Schwartz MF, Boyd CE (1995) Constructed wetlands for treatment of channel catfish pond effluents. Prog Fish Cult 57:255–266
Seidel K (1976) Macrophytes and water purification. In: Tourbier J, Pierson RW (eds) Biological control of water pollution. Pennsylvania University Press, Philadelphia, pp 109–122
Sindilariu PD, Schulz C, Reiter R (2007) Treatment of flow-through trout aquaculture effluents in a constructed wetland. Aquaculture 270:92–104
Sindilariu PD, Wolter C, Reiter R (2008) Constructed wetland as a treatment method for effluents from intensive trout farms. Aquaculture 277:179–184
Sindilariu PD, Brinker A, Reiter R (2009) Factors influencing the efficiency of constructed wetlands used for the treatment of intensive trout farm effluent. Ecol Eng 25:711–722
Stevens D (2006) Growing crops with recycled wastewater. CSIRO, Australia
Stevik TK, Geir Ausland KA, Hanssen JF (2004) Retention and removal of pathogenic bacteria in wastewater percolating through porous media: a review. Water Res 38:1355–1367
Terzakis S, Fountoulakis M, Georgaki I, Albantakis D, Sabathianakis I, Karathanasis D, Kalogerakis N, Manios T (2008) Constructed wetlands for highway runoff treatment in the central Mediterranean region. Chemosphere 72:141–149
Ververis C, Georghiou K, Christodoulakis N, Santas P, Santas R (2004) Fiber dimensions, lignin and cellulose content of various plant materials and their suitability for paper production. Ind Crop Prod 19:245–254
Vymazal J (2005) Removal of enteric bacteria in constructed wetland with emergent macrophytes: a review. J Environ Sci Health A 40:1355–1367
Vymazal J, Krőpfelová L (2005) Growth of Phragmites australis and Phalaris arundinacea in constructed wetlands for wastewater treatment in the Czech Republic. Ecol Eng 25:606–621
Vymazal J, Krőpfelová L (2009) Removal of organics in constructed wetlands with horizontal sub-surface flow: a review of the field experience. Sci Total Environ 407:3911–3922
Walpole RE, Myers RH (1990) Probability and statistics for engineers and scientist, 4th edn. Macmillan, New York
Acknowledgements
Special thanks should be expressed to Department of Public Service, Malaysia for sponsoring a higher degree research scholarship for SMI. The research was primarily supported by the Victorian Government Sustainability Fund, managed by Sustainability Victoria, and in part by the Department of Primary Industries (project no. 06996 and 08160). The project team gives its thanks to DPI’s John Cauduro and Ron Walsh, and the staff at Deakin University and Deakin Water Quality Laboratory, who contributed to the success of this project through the provision of analytical services.
Author information
Authors and Affiliations
Corresponding author
Additional information
Responsible editor: Elena Maestri
Rights and permissions
About this article
Cite this article
Idris, S.M., Jones, P.L., Salzman, S.A. et al. Evaluation of the giant reed (Arundo donax) in horizontal subsurface flow wetlands for the treatment of recirculating aquaculture system effluent. Environ Sci Pollut Res 19, 1159–1170 (2012). https://doi.org/10.1007/s11356-011-0642-x
Received:
Accepted:
Published:
Issue Date:
DOI: https://doi.org/10.1007/s11356-011-0642-x


