Skip to main content

Contribution of anthropogenic aerosols in direct radiative forcing and atmospheric heating rate over Delhi in the Indo-Gangetic Basin

Abstract

Introduction

The present work is aimed to understand direct radiation effects due to aerosols over Delhi in the Indo-Gangetic Basin (IGB) region, using detailed chemical analysis of surface measured aerosols during the year 2007.

Methods

An optically equivalent aerosol model was formulated on the basis of measured aerosol chemical compositions along with the ambient meteorological parameters to derive radiatively important aerosol optical parameters. The derived aerosol parameters were then used to estimate the aerosol direct radiative forcing at the top of the atmosphere, surface, and in the atmosphere.

Results

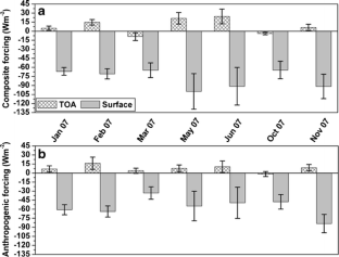
The anthropogenic components measured at Delhi were found to be contributing ∼72% to the composite aerosol optical depth (AOD0.5 ∼0.84). The estimated mean surface and atmospheric forcing for composite aerosols over Delhi were found to be about −69, −85, and −78 W m−2 and about +78, +98, and +79 W m−2 during the winter, summer, and post-monsoon periods, respectively. The anthropogenic aerosols contribute ∼90%, 53%, and 84% to the total aerosol surface forcing and ∼93%, 54%, and 88% to the total aerosol atmospheric forcing during the above respective periods. The mean (±SD) surface and atmospheric forcing for composite aerosols was about −79 (±15) and +87 (±26) W m−2 over Delhi with respective anthropogenic contributions of ∼71% and 75% during the overall period of observation.

Conclusions

Aerosol induced large surface cooling, which was relatively higher during summer as compared to the winter suggesting an increase in dust loading over the station. The total atmospheric heating rate at Delhi averaged during the observation was found to be 2.42 ± 0.72 K day−1, of which the anthropogenic fraction contributed as much as ∼73%.

This is a preview of subscription content, access via your institution.

Fig. 1
Fig. 2
Fig. 3
Fig. 4
Fig. 5
Fig. 6
Fig. 7
Fig. 8
Fig. 9

References

  • Alpert P et al (1998) Quantification of dust-forced heating of the lower troposphere. Nature 395:367–370

    Article  CAS  Google Scholar 

  • Andrews E, Sheridan PJ, Fiebig M, McComiskey A, Ogren JA, Arnott P, Covert D, Elleman R, Gasparini R, Collins D, Jonsson H, Schmid B, Wang J (2006) Comparison of methods for deriving aerosol asymmetry parameter. J Geophys Res 111:D05S04. doi:10.1029/2004JD005734

    Article  Google Scholar 

  • Ångström A (1964) The parameters of atmospheric turbidity. Tellus 16:64–75

    Article  Google Scholar 

  • Attri AK, Kumar U, Jain VK (2001) Formation of ozone by fireworks. Nature 411:1015

    Article  CAS  Google Scholar 

  • Babu SS, Satheesh SK, Moorthy KK (2002) Aerosol radiative forcing due to enhanced black carbon at an urban site in India. Geophys Res Lett 29(18):1880. doi:10.1029/2002GL015826

    Article  Google Scholar 

  • Badarinath KVS, Latha KM (2006) Direct radiative forcing from black carbon aerosols over urban environment. Adv Space Res 37(12):2183–2188

    Article  CAS  Google Scholar 

  • Bergstrom RW, Pilewskie P, Russell PB, Redemann J, Bond TC, Quinn PK, Sierau B (2007) Spectral absorption properties of atmospheric aerosols. Atmos Chem Phys 7:5937–5943

    Article  CAS  Google Scholar 

  • Chung CE, Ramanathan V, Kim D, Podgorny IA (2005) Global anthropogenic aerosol direct forcing derived from satellite and ground-based observations. J Geophys Res 110:D24207. doi:10.1029/2005JD006356

    Article  Google Scholar 

  • Das SK, Jayaraman A, Mishra A (2008) Fog-induced variations in aerosol optical and physical properties over the Indo-Gangetic Basin and impact to aerosol radiative forcing. Ann Geophys 26:1345–1354

    Article  Google Scholar 

  • Derimian Y, Karnieli A, Kaufman YJ, Andreae MO, Andreae TW, Dubovik O, Maenhaut W, Koren I (2008) The role of iron and black carbon in aerosol light absorption. Atmos Chem Phys 8:3623–3637

    Article  CAS  Google Scholar 

  • Dey S, Tripathi SN (2008) Aerosol direct radiative effects over Kanpur in the Indo-Gangetic basin, northern India: Long-term (2001–2005) observations and implications to regional climate. J Geophys Res 113:D04212. doi:10.1029/2007JD009029

    Article  Google Scholar 

  • Dey S, Tripathi SN, Singh RP, Holben BN (2004) Influence of dust storms on the aerosol optical properties over the Indo-Gangetic basin. J Geophys Res 109:D20211. doi:10.1029/2004JD004924

    Article  Google Scholar 

  • Dey S, Tripathi SN, Singh RP, Holben BN (2005) Seasonal variability of aerosol parameters over Kanpur, an urban site in Indo-Gangetic basin. Adv Space Res 36:778–782

    Article  Google Scholar 

  • Eck TF, Holben BN, Reid JS, Dubovik O, Smirnov A, O'Neill NT, Slutsker I, Kinne S (1999) Wavelength dependence of the optical depth of biomass burning, urban, and desert dust aerosols. J Geophys Res 104:31333–31349

    Article  Google Scholar 

  • Ganguly D, Gadhavi H, Jayaraman A, Rajesh TA, Mishra A (2005) Single scattering albedo of aerosols over the central India: implications for the regional aerosol radiative forcing. Geophys Res Lett 32:L18803. doi:10.1029/2005GL023903

    Article  Google Scholar 

  • Ganguly D, Jayaraman A (2006) Physical and optical properties of aerosols over an urban location in western India: implications for shortwave radiative forcing. J Geophys Res 111:D24207. doi:10.1029/2006JD007393

    Article  Google Scholar 

  • Ganguly D, Jayaraman A, Rajesh TA, Gadhavi H (2006) Wintertime aerosol properties during foggy and non-foggy days over urban center Delhi and their implications for shortwave radiative forcing. J Geophys Res 111:D15217. doi:10.1029/2005JD007029

    Article  Google Scholar 

  • Gautam R, Liu Z, Singh RP, Hsu NC (2009) Two contrasting dust-dominant periods over India observed from MODIS and CALIPSO data. Geophys Res Lett 36:L06813. doi:10.1029/2008GL036967

    Article  Google Scholar 

  • Guttikunda SK, Carmichael GR, Calori G, Eck C, Woo JH (2003) The contribution of mega cities to regional sulfur pollution in Asia. Atmos Environ 37(1):11–22

    Article  CAS  Google Scholar 

  • Hess M, Koepke P, Schultz I (1998) Optical properties of aerosols and clouds: the software package OPAC. Bull Am Meteorol Soc 79:831–844

    Article  Google Scholar 

  • Houghton JT, Ding Y, Griggs DJ, Nouguer M, Van der Linden PJ, Dai X, Maskell K, Johnson CA (eds) (2001) Climate change 2001: the scientific basis, pp 881. Cambridge Univ. Press, New York

    Google Scholar 

  • Intergovernmental Panel on Climate Change (IPCC) (2007) Climate change 2007: the physical science basis: contribution of Working Group I to the Fourth Assessment Report of the Intergovernmental Panel on Climate Change, Chapter 2, pp 129

  • Jethva H, Satheesh SK, Srinivasan J (2005) Seasonal variability of aerosols over the Indo-Gangetic basin. J Geophys Res 110:D21204. doi:10.1029/2005JD005938

    Article  Google Scholar 

  • Kaufman YJ, Boucher O, Tanre D, Chin M, Remer LA, Takemura T (2005) Aerosol anthropogenic component estimated from satellite data. Geophys Res Lett 32:L17804. doi:10.1029/2005GL023125

    Article  Google Scholar 

  • Kiehl JT, Briegle BP (1993) The relative roles of sulfate aerosols and greenhouse gases in climate forcing. Science 260:311–314

    Article  CAS  Google Scholar 

  • Lau K-M, Kim MK, Kim KM (2006) Asian summer monsoon anomalies induced by aerosol direct forcing: the role of the Tibetan Plateau. Clim Dynam 26(7–8):855–864. doi:10.1007/s00382-006-0114-z

    Article  Google Scholar 

  • Lemaître C, Flamant C, Cuesta J, Raut J-C, Chazette P, Formenti P, Pelon J (2010) Radiative heating rates profiles associated with a springtime case of Bodélé and Sudan dust transport over West Africa. Atmos Chem Phys 10:8131–8150. doi:10.5194/acp-10-8131-2010

    Article  Google Scholar 

  • Liou KN (2002) An introduction to atmospheric radiation. Elsevier, New York, p 583

    Google Scholar 

  • Middleton NJ (1986) A geography of dust storms in southwest Asia. J Clim 6:183–196

    Article  Google Scholar 

  • Monkkonen P, Uma R, Srinivasan D, Koponen IK, Lehtinen KEJ, Hameri K, Suresh R, Sharma VP, Kulmala M (2004) Relationship and variations of aerosol number and PM10 mass concentrations in a highly polluted urban environment –New Delhi, India. Atmos Environ 38:425–433

    Article  CAS  Google Scholar 

  • Moorthy KK, Babu SS, Satheesh SK (2005) Aerosol characteristics and radiative impacts over the Arabian Sea during the inter-monsoon season: results from ARMEX Field campaign. J Atmos Sci 62:192–206

    Article  Google Scholar 

  • Morys M, Mims FM III, Hagerup S, Anderson SE, Baker A, Kia J, Walkup T (2001) Design, calibration, and performance of Microtops II handheld ozone monitor and sun photometer. J Geophys Res 106:14573–14582

    Article  Google Scholar 

  • Pandithurai G, Dipu S, Dani KK, Tiwari S, Bisht DS, Devara PCS, Pinker RT (2008) Aerosol radiative forcing during dust events over New Delhi, India. J Geophys Res 113:D13209. doi:10.1029/2008JD009804

    Article  Google Scholar 

  • Pandithurai G, Pinker RT, Takamura T, Devara PCS (2004) Aerosol radiative forcing over a tropical urban site in India. Geophys Res Lett 31:L12107. doi:10.1029/2004GL019702

    Article  Google Scholar 

  • Pant P, Hegde P, Dumka UC, Sagar R, Satheesh SK, Moorthy KK, Saha A, Srivastava MK (2006) Aerosol characteristics at a high-altitude location in central Himalayas: optical properties and radiative forcing. J Geophys Res 111:D17206. doi:10.1029/2005JD006768

    Article  Google Scholar 

  • Pilewskie P (2007) Climate change: aerosols heat up. Nature 448:541–542. doi:10.1038/448541a

    Article  CAS  Google Scholar 

  • Prasad AK, Singh RP (2007) Changes in aerosol parameters during major dust storm events (2001–2005) over the Indo-Gangetic Plains using AERONET and MODIS data. J Geophys Res 112:D09208. doi:10.1029/2006JD007778

    Article  Google Scholar 

  • Ramachandran S, Rengarajan R, Jayaraman A, Sarin MM, Das SK (2006) Aerosol radiative forcing during clear, hazy, and foggy conditions over a continental polluted location in north India. J Geophys Res 111:D20214. doi:10.1029/2006JD007142

  • Ramanathan V, Ramana MV (2005) Persistent, widespread, and strongly absorbing haze over the Himalayan foothills and the Indo-Ganges plains. Pure Appl Geophys 162:1609–1626

    Article  Google Scholar 

  • Ramanathan V, Ramana MV, Roberts G, Kim D, Corrigan C, Chung C, Winker D (2007) Warming trends in Asia amplified by brown cloud solar absorption. Nature 448:575–578

    Article  CAS  Google Scholar 

  • Reddy MS, Venketaraman C (2002a) Inventories of aerosols and sulphur dioxide emissions from India: I. Fossil fuel combustion. Atmos Environ 36:677–697

    Article  CAS  Google Scholar 

  • Reddy MS, Venketaraman C (2002b) Inventories of aerosols and sulphur dioxide emissions from India: II. Biomass combustion. Atmos Environ 36:699–712

    Article  CAS  Google Scholar 

  • Rengarajan R, Sarin MM, Sudheer AK (2007) Carbonaceous and inorganic species in atmospheric aerosols during wintertime over urban and high-altitude sites in North India. J Geophys Res 112:D21307. doi:10.1029/2006JD008150

    Article  Google Scholar 

  • Ricchiazzi P, Yang S, Gautier C, Sowle D (1998) SBDART: a research and teaching software tool for plane-parallel radiative transfer in the Earth's atmosphere. Bull Am Meteorol Soc 79:2101–2114

    Article  Google Scholar 

  • Russell PB et al (2002) Comparison of aerosol single scattering albedos derived by diverse techniques in two North Atlantic experiments. J Atmos Sci 59:609–619

    Article  Google Scholar 

  • Russell PB et al (2010) Absorption Angstrom Exponent in AERONET and related data as an indicator of aerosol composition. Atmos Chem Phys 10:1155–1169

    Article  CAS  Google Scholar 

  • Sarkar S, Chokngamwong R, Cervone G, Singh RP, Kafatos M (2006) Variability of aerosol optical depth and aerosol forcing over India. Adv Space Res 37(12):2153–2159. doi:10.1016/j.asr.2005.09.043

    Article  Google Scholar 

  • Satheesh SK, Moorthy KK (2005) Radiative effects of natural aerosols: a review. Atmos Env 39:2089–2110

    Article  CAS  Google Scholar 

  • Satheesh SK, Ramanathan V (2000) Large differences in tropical aerosol forcing at the top of the atmosphere and Earth's surface. Nature 405:60–63

    Article  CAS  Google Scholar 

  • Satheesh SK, Srinivasan J (2006) A method to estimate aerosol radiative forcing from spectral optical depths. J Atmos Sci 63(3):1082–1092

    Article  Google Scholar 

  • Singh S, Nath S, Kohli R, Singh R (2005) Aerosols over Delhi during pre-monsoon months: characteristics and effects on surface radiation forcing. Geophys Res Lett 32:L13808. doi:10.1029/2005GL023062

    Article  Google Scholar 

  • Singh S, Soni K, Bano T, Tanwar RS, Nath S, Arya BC (2010) Clear-sky direct aerosol radiative forcing variations over mega-city Delhi. Ann Geophys 28:1157–1166

    Article  Google Scholar 

  • Soni K, Singh S, Bano T, Tanwar RS, Nath S, Arya BC (2010) Variations in single scattering albedo and Angstrom absorption exponent during different seasons at Delhi, India. Atmos Env 44:4355–4363

    Article  CAS  Google Scholar 

  • Srivastava AK, Devara PCS, Rao YJ, Bhavanikumar Y, Rao DN (2008) Aerosol optical depth, ozone and water vapor measurements over Gadanki, a tropical station in peninsular India. Aerosol Air Qual Res 8(4):459–476

    CAS  Google Scholar 

  • Srivastava AK, Tiwari S, Bisht DS, Devara PCS, Goloub P, Li Z, Srivastava MK (2010) Aerosol characteristics during the coolest June month over New Delhi, northern India. Int J Remote Sens (in press)

  • Srivastava AK, Tiwari S, Devara PCS, Bisht DS, Srivastava MK, Tripathi SN, Goloub P, Holben BN (2011) Pre-monsoon aerosol characteristics over the Indo-Gangetic Basin: implications to climatic impact. Ann Geophys 29:789–804

    Article  Google Scholar 

  • Srivastava MK, Singh S, Saha A, Dumka UC, Hegde P, Singh R, Pant P (2006) Direct solar ultraviolet irradiance over Nainital, India, in the central Himalayas for clear-sky day conditions during December 2004. J Geophys Res 111:D08201. doi:10.1029/2005JD006141

    Article  Google Scholar 

  • Streets et al (2009) Anthropogenic and natural contributions to regional trends in aerosol optical depth, 1980–2006. J Geophys Res 114:D00D18. doi:10.1029/2008JD011624

    Article  Google Scholar 

  • Stull RB (1999) An introduction to boundary layer meteorology. Springer, New York, p 620

    Google Scholar 

  • Tare et al (2006) Measurements of atmospheric parameters during Indian Space Research Organization Geosphere Biosphere Program Land Campaign II at a typical location in the Ganga Basin: 2. Chemical properties. J Geophys Res 111:D23210. doi:10.1029/2006JD007279

    Article  Google Scholar 

  • Tiwari S, Srivastava AK, Bisht DS, Bano T, Singh S, Behura S, Srivastava MK, Chate DM, Padmanabhamurty B (2009) Black carbon and chemical characteristics of PM10 and PM2.5 at an urban site of North India. J Atmos Chem 62:193–209. doi: 10.1007/s10874-010-9148-z

    Google Scholar 

  • Tripathi SN, Dey S, Chandel A, Srivastava S, Singh RP, Holben BN (2005) Comparison of MODIS and AERONET derived aerosol optical depth over the Ganga Basin, India. Ann Geophys 23:1093–1101

    Article  Google Scholar 

Download references

Acknowledgments

Sincere thanks are due to the directors, IITM, Pune and NPL, New Delhi, and Dr. PCS Devara, Head, PM&A Division, IITM, Pune, for their encouragement and support throughout the study. The authors are grateful to the two anonymous reviewers for their constructive comments and suggestions, which helped to improve the scientific contents of the manuscript.

Author information

Affiliations

Authors

Corresponding author

Correspondence to Atul K. Srivastava.

Additional information

Responsible editor: Euripides Stephanou

Rights and permissions

Reprints and Permissions

About this article

Cite this article

Srivastava, A.K., Singh, S., Tiwari, S. et al. Contribution of anthropogenic aerosols in direct radiative forcing and atmospheric heating rate over Delhi in the Indo-Gangetic Basin. Environ Sci Pollut Res 19, 1144–1158 (2012). https://doi.org/10.1007/s11356-011-0633-y

Download citation

  • Received:

  • Accepted:

  • Published:

  • Issue Date:

  • DOI: https://doi.org/10.1007/s11356-011-0633-y

Keywords

  • Anthropogenic aerosols
  • Composite aerosols
  • Direct radiative forcing
  • Atmospheric heating rate