Skip to main content

Variation of airborne bacteria and fungi at Emperor Qin's Terra-Cotta Museum, Xi'an, China, during the “Oct. 1” Gold Week Period of 2006

Abstract

Background, aim, and scope

To stimulate the national economy, a so-called “gold week” comprising May Day and National Day has been put in force by the government, and the first golden-week holiday began on October 1, 1999. Statistical data show that about 15,000 visitors were received each day by Emperor Qin’s Terra-Cotta Museum during just such a gold week period. To evaluate the effects of tourism on indoor air, airborne samples were collected by the sedimentation plate method for 5 min during the “Oct. 1” gold week period of 2006, and both composition and changes of airborne bacteria and fungi in indoor/outdoor air in the museums were investigated.

Materials and methods

Airborne microbes were simultaneously collected by means of gravitational sedimentation on open Petri dishes. Three parallel samples were collected at the same time each day, and samples were subsequently incubated in the lab. Microbiology media were prepared before each experiment by a professional laboratory. Concentrations were calculated and presented as average data of colony-forming units per cubic meter of air (CFU/m3).

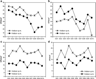
Results

The results show that (1) 13 bacterial genera and eight genera of fungi were identified from indoor and outdoor air at Emperor Qin’s Terra-Cotta Museum during “Oct. 1” gold week in 2006. The bacterial groups occupied 61%, the fungi groups occupied 36%, and others occupied 3% of the total number of isolated microorganism genera. (2) As for the comparison of indoor and outdoor samples, the average concentrations of fungi were higher during the afternoon (13:00) than for the morning (09:00). The average concentrations of bacteria in indoor air were higher during the afternoon (13:00) than for the morning (9:00), and in outdoor air, they were lower during the afternoon (13:00) than for the morning (9:00). (3) The average concentrations of five dominant groups of bacteria and three dominant groups of fungi were higher during the afternoon (13:00) than for the morning (9:00) in the indoor air, but the average concentrations of fungi were higher and those of bacteria were lower during the afternoon than for the morning, for outdoor air. (4) As for the comparison of indoor samples, the bacterial daily concentrations and fungal daily concentrations were higher during the afternoon (13:00) than those for the mornings (9:00) over the 10 days. For the comparison of outdoor samples, the bacterial concentration was lower, and the fungal concentrations were higher during the afternoon (13:00) than those for the morning (9:00) over the 10 days.

Discussion

The results also show that the numbers of airborne bacteria and fungi had a daily character in indoor air and were higher in the afternoon. The airborne microbe concentrations were found to be similar to residential indoor values from other reports; the indoor museum maximum of microbial concentrations was 90 CFU/m3 and did not exceed the Chinese indoor bioaerosol guideline. However, microorganisms may fall on the surface of display items as a result of particle sedimentation and would, as such, be capable of degrading objects by way of their secretions, e.g., enzymes and organic acids. Therefore, the right steps should be taken to prevent any deterioration in the quality of displayed artifacts.

Conclusions

The results show that museum air was affected by human activity; therefore, it is imperative that the number of visitors be strictly limited and that windows be opened regularly to avoid air pollution.

Recommendations and perspectives

The data provide a significant scientific basis for indoor air quality control and museum scientific management. It is recommended that the number of visitors be strictly limited.

This is a preview of subscription content, access via your institution.

Fig. 1
Fig. 2
Fig. 3
Fig. 4
Fig. 5
Fig. 6

References

  • Adams AP, Spendlove JC (1970) Coliform aerosols emitted by sewage treatment plants. Science 169:1218–1220

    Article  CAS  Google Scholar 

  • Baer NS, Banks PN (1985) Indoor air pollution: effects on cultural and historical materials. Int J Museum Manage Curatorship 4:9–20

    Google Scholar 

  • Brimblecombe P (1990) Review article: the composition of museum atmospheres. Atmos Environ 24:1–8

    Article  Google Scholar 

  • Brimblecombe P, Blades N, Camuffo D, Sturaro G, Valentino A, Gysels K, van Grieken R, Busse H, Kim O, Ulrych U, Wieser M (1999) The indoor environment of a modern museum building: the Sainsbury Centre for Visual Arts Norwich UK. Indoor Air 9:146–164

    Article  CAS  Google Scholar 

  • Beaumont F (1988) Clinical manifestations of pulmonary Aspergillus infections. Mycoses 31:15–20

    Google Scholar 

  • Camuffo D, Brimblecombe P, van Grieken R, Busse HJ, Sturaro G, Valentino A, Bernardi A, Blades N, Shooter D, De Bock L, Gysels K, Wieser M, Kim O (1999) Indoor air quality at the Correr Museum, Venice, Italy. Sci Total Environ 236:135–152

    Article  CAS  Google Scholar 

  • Camuffo D, Grieken RV, Busse HJ, Sturaro G, Valentino A, Bernardi A, Blades N, Shooter D, Gysels K, Deutsch F (2001) Environmental monitoring in four European museums. Atmos Environ 35:8127–8140

    Article  Google Scholar 

  • Cao JJ, Rong B, Lee SC, Chow JC, Ho KF, Liu SX, Zhu CS (2005) Composition of indoor aerosols at Emperor Gin's Terra-Cotta Museum, Xi’an, China, during summer, 2004. China Particuology 3:170–175

    Article  CAS  Google Scholar 

  • Casida LEJR (1968) Industrial microbiology. Wiley, New York, pp 12–56

    Google Scholar 

  • Chanda S (1996) Implications of aerobiology in respiratory allergy. Ann Agr Env Med 3:157–164

    Google Scholar 

  • Dales RE, Zwanenburg H, Burnett R, Franklin CA (1991) Respiratory health effects of home dampness and molds among Canadian children. Am J Epidemiol 134:196–203

    CAS  Google Scholar 

  • Erhardt D, Mecklenburg M (1994) Relative humidity re-examined. In: Roy A, Smith P (eds) IIC preprints of the contributions to the Ottawa Congress, 12–16 September 1994, preventive conservation practice, theory and research. IIC, London, pp 32–38

    Google Scholar 

  • Gravesen S (1979) Fungi as a cause of allergic disease. Allergy 34:135–154

    Article  CAS  Google Scholar 

  • Gravesen S, Larsen L, Gyntelberg F, Skov P (1986) Demonstration of microorganisms and dust in schools and offices. Allergy 41:520–525

    Article  CAS  Google Scholar 

  • Gysels K, Deutsch F, Grieken RV (2002) Characterization of particulate matter in the Royal Museum of Fine Arts, Antwerp, Belgium. Atmos Environ 36:4103–4113

    Article  CAS  Google Scholar 

  • Husman T, Koskinen O, HyvaK rinen A., Reponen T, Ruuskanen J, Nevalainen A (1993) Respiratory symptoms and infections among residents in dwellings with moisture problems or mould growth. In: Kalliokoski P, Jantunen M, SeppaK nen O (eds) Proceedings of Indoor Air '93, Vol. 4. Helsinki, Finland, pp 171–174

  • Hong JB, Chung YH, Chang YH (2003) Distribution of hospital airborne microorganisms in Seoul, Korea. Korean J Environ. Health 29:1–7

    Google Scholar 

  • Holmberg K (1987) Indoor mould exposure to health effects. In: Seifert B et al (eds) Indoor Air ‘87: volatile organic compounds, combustion gases, particles and fibers, microbiological agents, vol 1. Institute for Water Soil and Air Hygiene, Berlin, pp 637–642

    Google Scholar 

  • Jones AM, Harrison RM (2004) The effects of meteorological factors on atmospheric airborne bioaerosol concentrations. Sci Total Environ 326:151–180

    Article  CAS  Google Scholar 

  • Kuo YM, Li CS (1994) Seasonal fungus prevalence inside and outside of domestic environments in the subtropical climate. Atmos Environ 28:3125–3130

    Article  CAS  Google Scholar 

  • Mancinelli R, Shulls W (1978) Airborne bacteria in all urban environment. App Environ Microbiol 35:1095–1101

    CAS  Google Scholar 

  • Meng JM, Zhang L (2001) Awakened qin’s terra-cotta army. Shaanxi Travel &Tourism Press, Xi’an

    Google Scholar 

  • Owen MK, Ensor DS, Sparks LE (1992) Airborne particle sizes and sources found in indoor air. Atmos Environ 26:2149–2162

    Google Scholar 

  • Pastuszka JS, Paw UKT, Lis DO, Wlazło A, Ulfig K (2000) Bacterial and fungal aerosol in indoor environment in Upper Silesia, Poland. Atmos Environ 34:3833–3842

    Article  CAS  Google Scholar 

  • Ren P, Jankun TM, Belanger K, Bracken MB, Leaderer BP (2001) The relation between fungal propagules in indoor air and home characteristics. Allergy 56:419–424

    Article  CAS  Google Scholar 

  • Ren P, Jankun TM, Leaderer BP (1999) Comparisons of seasonal fungal prevalence in indoor and outdoor air and in house dusts of dwellings in one Northeast American county. J Exposure Anal Environ Epidemiol 9:560–568

    Article  CAS  Google Scholar 

  • Spendlove JC (1957) Production of bacterial aerosols in a rendering plant process. Public Health Rep 72:176–180

    CAS  Google Scholar 

  • Siersted HC, Gravesen S (1993) Extrinsic allergic alveolitis after exposure to the yeast Rhodotorula rubra. Allergy 48:298–299

    Article  CAS  Google Scholar 

  • Shintani H, Taniai E, Miki A (2004) Comparison of the collecting efficiency of microbiological air samplers. J Hosp Infect 56:42–48

    Article  CAS  Google Scholar 

  • Shaffer B, Lighthart B (1997) Survey of culturable airborne bacteria at four diverse locations in Oregon: urban, rural, forest, and coastal. Microbial Ecol 34:167–177

    Article  Google Scholar 

  • Wright JJ, Greene VW, Panlus HJ (1969) Viable microorganisms in an urban atmosphere. J Air Pollut Control Assoc 19:337–339

    CAS  Google Scholar 

  • Zhang JZ (1990) Microbial taxology. Fudan University Press, Shanghai

    Google Scholar 

Download references

Acknowledgment

This work was supported by the State Fund of China (40599422).

Author information

Affiliations

Authors

Corresponding author

Correspondence to Yi-Ping Chen.

Rights and permissions

Reprints and Permissions

About this article

Cite this article

Chen, YP., Cui, Y. & Dong, JG. Variation of airborne bacteria and fungi at Emperor Qin's Terra-Cotta Museum, Xi'an, China, during the “Oct. 1” Gold Week Period of 2006. Environ Sci Pollut Res 17, 478–485 (2010). https://doi.org/10.1007/s11356-009-0161-1

Download citation

  • Received:

  • Accepted:

  • Published:

  • Issue Date:

  • DOI: https://doi.org/10.1007/s11356-009-0161-1

Keywords

  • Air microbiology
  • Air pollution
  • Bioaerosols
  • Indoor air
  • Museum environment
  • Terra-Cotta museum