Skip to main content

Modelling Dyadic Interaction with Hawkes Processes

Abstract

We apply the Hawkes process to the analysis of dyadic interaction. The Hawkes process is applicable to excitatory interactions, wherein the actions of each individual increase the probability of further actions in the near future. We consider the representation of the Hawkes process both as a conditional intensity function and as a cluster Poisson process. The former treats the probability of an action in continuous time via non-stationary distributions with arbitrarily long historical dependency, while the latter is conducive to maximum likelihood estimation using the EM algorithm. We first outline the interpretation of the Hawkes process in the dyadic context, and then illustrate its application with an example concerning email transactions in the work place.

This is a preview of subscription content, access via your institution.

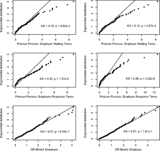
Figure 1.
Figure 2.
Figure 3.
Figure 4.
Figure 5.
Figure 6.
Figure 7.

References

  • Anderson, P.A. (2008). Positions of power: status and dominance in organizational communication. In L. Guerrero & M.L. Hecht (Eds.), The nonverbal communication reader: classical and contemporary perspectives (3rd ed., pp. 450–468). Prospect Heights: Waveland.

    Google Scholar 

  • Bakeman, R., & Gottman, J.M. (1997). Observing interaction: an introduction to sequential analysis (2nd ed.). New York: Cambridge University Press.

    Book  Google Scholar 

  • Bakeman, R., & Quera, V. (2011). Sequential analysis and observations methods of the behavioural sciences. Cambridge: Cambridge University Press.

    Book  Google Scholar 

  • Barabási, A.L. (2005). The origin of bursts and heavy tails in human dynamics. Nature, 435, 207–211.

    PubMed  Article  Google Scholar 

  • Brillinger, D.R. (1975). The identification of point process systems. Annals of Probability, 3, 909–924.

    Article  Google Scholar 

  • Brillinger, D.R. (2004). Some data analyses using mutual information. Brazilian Journal of Probability and Statistics, 18, 163–182.

    Google Scholar 

  • Card, N., Selig, J., & Little, T. (2008). Modeling dyadic and interdependent data in the developmental and behavioral sciences. Hillsdale: Psychology Press.

    Google Scholar 

  • Chow, S.M., Ferrer, E., & Hsieh, F. (2010). Statistical methods for modeling human dynamics: an interdisciplinary dialogue. New York: Taylor & Francis.

    Google Scholar 

  • Cox, D.R., & Isham, V. (1980). Point processes. New York: Chapman & Hall/CRC.

    Google Scholar 

  • Crane, R., & Sornette, D. (2008). Robust dynamic classes revealed by measuring the response function of a social system. Proceedings of the National Academy of Sciences of the United States of America, 105, 15649–15653.

    PubMed  Article  Google Scholar 

  • Daley, D.J., & Vere-Jones, D. (2003). An introduction to the theory of point processes: elementary theory and methods (Vol. 1, 2nd ed.). New York: Springer.

    Google Scholar 

  • Dayan, P., & Abbott, L.F. (2005). Theoretical neuroscience: computational and mathematical modeling of neural systems. Cambridge: MIT Press.

    Google Scholar 

  • Ebel, H., Mielsch, L.-I., & Bornholdt, S. (2002). Scale-free topology of e-mail networks. Physical Review E, 66, 035103.

    Article  Google Scholar 

  • Eckmann, J.P., Moses, E., & Sergi, D. (2004). Entropy of dialogues creates coherent structures in e-mail traffic. Proceedings of the National Academy of Sciences of the United States of America, 101, 14333–14337.

    PubMed  Article  Google Scholar 

  • Ferrer, E., Steele, J.S., & Hsieh, F. (2012). Analyzing the dynamics of affective dyadic interactions using patterns of intra- and inter-individual variability. Multivariate Behavioral Research, 47, 136–171.

    Article  Google Scholar 

  • Girard, R. (1976). Deceit, desire, and the novel: self and other in literary structure. Baltimore: John Hopkins University Press.

    Google Scholar 

  • Gottman, J.M. (1994). Why marriages succeed or fail. New York: Simon and Schuster.

    Google Scholar 

  • Gottman, J.M., Murray, J.D., Swanson, C., Tyson, R., & Swanson, K.R. (2003). The mathematics of marriage. Cambridge: MIT Press.

    Google Scholar 

  • Hamaker, E.L., Zhang, Z., & van der Maas, H.L.J. (2009). Using threshold autoregressive models to study dyadic interactions. Psychometrika, 74, 727–745.

    Article  Google Scholar 

  • Hawkes, A.G. (1971). Spectra of some self-exciting and mutually exciting point processes. Biometrika, 58, 83–90.

    Article  Google Scholar 

  • Hawkes, A.G., & Oakes, D. (1974). A cluster representation of a self-exciting process. Journal of Applied Probability, 11, 493–503.

    Article  Google Scholar 

  • Isham, V., & Westcott, M. (1979). A self-correcting point process. Stochastic Processes and Their Applications, 8, 335–347.

    Article  Google Scholar 

  • Jamshidian, M., & Jennrich, R.I. (2000). Standard errors for EM estimation. Journal of the Royal Statistical Society. Series B (Statistical Methodology), 62, 257–270.

    Article  Google Scholar 

  • Kalman, Y.M., David, G., & Rafaeli, D.R.R.S. (2006). Pauses and response latencies: a chronemic analysis of asynchronous CMC. Journal of Computer-Mediated Communication, 12, 1–23.

    Article  Google Scholar 

  • Kenny, D.A., Kashy, D.A., & Cook, W.L. (2006). Dyadic data analysis. New York: Guilford Press.

    Google Scholar 

  • Kenny, D.A., & Ledermann, T. (2010). Detecting, measuring, and testing dyadic patterns in the actor-partner interdependence mode. Journal of Family Psychology, 24, 359–366.

    PubMed  Article  Google Scholar 

  • Law, R., Illian, J., Burslem, D.F.R.P., Gratzer, G., Gunatilleke, C.V.S., & Gunatilleke, I.A.U.N. (2009). Ecological information from spatial patterns of plants: insights from point process theory. Journal of Ecology, 97, 616–628.

    Article  Google Scholar 

  • Madhyastha, T.M., Hamaker, E.L., & Gottman, J.M. (2011). Investigating spousal influence using moment-to-moment affect data from marital conflict. Journal of Family Psychology, 25, 292–300.

    PubMed  Article  Google Scholar 

  • Magnusson, M.S. (2005). Discovering hidden structure with model and algorithms. In L. Anolli, S. Duncan Jr., M.S. Magnusson, & G. Riva (Eds.), The hidden structure of interaction: from neurons to culture patterns (pp. 4–22). Amsterdam: IOS Press.

    Google Scholar 

  • McLachlan, G.J., & Krishnan, T. (2008). The EM algorithm and extensions (2nd ed.). New York: Wiley.

    Book  Google Scholar 

  • McLachlan, G.J., & Peel, D. (2000). Finite mixture models. New York: Wiley.

    Book  Google Scholar 

  • Moore, C., & Dunham, P. (1995). Joint attention: its origins and role in development. Hillsdale: Erlbaum.

    Google Scholar 

  • Newman, M.E.J. (2005). Power laws, Pareto distributions and Zipf’s law. Contemporary Physics, 46, 323–351.

    Article  Google Scholar 

  • Ogata, Y. (1978). The asymptotic behaviour of maximum likelihood estimates for stationary point processes. Annals of the Institute of Statistical Mathematics, 30, 243–261.

    Article  Google Scholar 

  • Ogata, Y. (1988). Statistical models for earthquake occurrences and residual analysis for point processes. Journal of the American Statistical Association, 83, 9–27.

    Article  Google Scholar 

  • R Development Core Team (2011). R: a language and environment for statistical computing [Computer software manual]. Vienna, Austria. Available from http://www.R-project.org/ (ISBN 3-900051-07-0).

  • Rasmussen, J.G. (2011). Bayesian inference for Hawkes’ processes. Methodology and Computing in Applied Probability. doi:10.1007/s11009-011-9272-5.

    Google Scholar 

  • Sacks, H., Schegloff, E.A., & Jefferson, G. (1974). A simplest systematics for the organization of turn-taking for conversation. Language, 50, 696–735.

    Article  Google Scholar 

  • Schoenberg, F., & Bolt, B. (2000). Short-term exciting, long-term correcting models for earthquakes. Bulletin of the Seismological Society of America, 90, 849–858.

    Article  Google Scholar 

  • Scott, M. (2011). Affinity models for career sequences. Journal of the Royal Statistical Society. Series C, 60, 417–436.

    Article  Google Scholar 

  • Seber, G.A.F., & Wild, C.J. (2003). Non-linear regression (2nd ed.). Hoboken: Wiley.

    Book  Google Scholar 

  • Truccolo, W., Eden, U.T., Fellows, M.R., Donoghue, J.P., & Brown, E.N. (2005). A point process framework for relating neural spiking activity to spiking history, neural ensemble, and extrinsic covariate effects. Journal of Neurophysiology, 93, 1074–1089.

    PubMed  Article  Google Scholar 

  • Veen, A., & Schoenberg, F.P. (2008). Estimation of space-time branching process models in seismology using an EM-type algorithm. Journal of the American Statistical Association, 103, 614–624.

    Article  Google Scholar 

Download references

Acknowledgements

This research was funded in part by a postdoctoral grant from the National Science and Engineering Research Council of Canada.

Author information

Affiliations

Authors

Corresponding author

Correspondence to Peter F. Halpin.

Additional information

Peter F. Halpin is now at New York University; Paul De Boeck is now at Ohio State University.

Appendix. Derivation of Estimating Equations

Appendix. Derivation of Estimating Equations

In this Appendix, we derive the equations required for Algorithm 1. We first present the incomplete and complete data log-likelihoods for the DR model, which leads to Equation (9). We then obtain Equation (10) using Bayes’ rule, and Equations (11) and (12) are obtained from the expected complete data log-likelihood.

The general form of the log-likelihood for a univariate point process with CIF λ(t) is (see Daley & Vere-Jones, 2003)

$$ l(\theta\mid X) = \sum_k \ln\bigl(\lambda(t_k)\bigr) - \int_0^T \lambda(s)\,ds, $$
(A1)

where [0,T] is the observation period, X=(t 1,…,t N ) denotes the observed event times, and θ contains the parameters of the model. The integral of λ(t) over the interval [0,u] is sometimes referred to as the compensator and is denoted as Λ(u).

For an orderly, multivariate point process the log-likelihood can be treated through the univariate margins. In particular, if the log-likelihood for each univariate margin is l i , the overall likelihood is given as l=∑ i l i . We present results in terms of the univariate margins to simplify notation.

Substituting Equations (4) through (7) into the bivariate version of (A1) leads directly to an expression for the incomplete data log-likelihood of the DR model. As discussed above, this does not produce stable parameter estimates because it contains the logarithm of a weighted sum of densities. Therefore, we employ the branching structure representation of the Hawkes process to obtain the complete data log-likelihood:

$$ l_i(\theta_i \mid X_i, Z_i) = \sum_{z \in z_i} \biggl(\,\sum _{t_{ik} \in z} \ln\bigl(\lambda_{z}(t_{ik})\bigr) - \varLambda_{z}(T) \biggr) $$
(A2)

for i={1,2,} and k∈{1,…,N i }. The collection of processes z i and the CIFs λ z (t) were defined in our discussion of the branching structure. The summation over zz i is implied by the independence assumptions of the branching structure. The equivalence between Equation (A2) and the incomplete data representation was initially established by Hawkes and Oakes (1974). The overall result is to replace the logarithm of a sum of densities with the sum of their logarithms, which is also the role of the complete data log-likelihood in finite mixture modelling (McLachlan & Peel, 2000, pp. 47–49).

The unknown part of Equation (A2) is represented by the summation over t ik z; because we do not know the branching structure, we do not know which process each t ik belongs to. It is important to recall here that the notation λ z (t) is shorthand for λ ijk (t) and does not indicate dependence of the rate functions on the missing variable Z i . For explicitness, we also note that the number of processes in z i is N 1+N 2+1, which is necessarily larger than the number of events N i . This implies that some of the processes in z i contain no events. For these cases, we evaluate the Poisson process with zero arrivals, so only the compensator contributes to the log-likelihood.

In order to obtain the expectation of Equation (A2) over the posterior distribution of Z, we write it in the equivalent form:

$$ l_i(\theta_i \mid X_i, Z_i) = \sum_{z \in z_i} \Biggl(\,\sum _{k=1}^{N_i} \ln\bigl(\lambda_{z}(t_{ik}) \bigr) \times\delta(Z_{ik} =z) - \varLambda_{z}(T) \Biggr), $$
(A3)

where

(A4)

This is again the same approach employed in mixture modelling, and the expected value is equally as straightforward to obtain:

(A5)

This leads directly to the expression for Q(θθ (n)) in Equation (9).

We now obtain the posterior probabilities in Equation (10) by following the usual procedure of providing the likelihoods and the priors and then applying Bayes’ rule. For the likelihoods, we have

(A6)

where the first equality follows from the independence assumptions of the branching structure and the second from the definition of the conditional density of the inhomogeneous Poisson process (Daley & Vere-Jones, 2003, p. 23).

Next, we require an expression for the prior probability that an event belongs to process z. These can be derived directly from the result, shown in Equation (A6), that the intensity function λ z (t) is proportional to the density of the process z. But it is perhaps more intuitive to begin by interpreting the prior probability as the proportion of the total number of events N i that are due to process z, which is analogous with the treatment in finite mixture modelling. This leads to

$$ \operatorname{Prob} (Z_{ik} = z \mid \theta_i) = N_z / N_i. $$
(A7)

Within the maximum likelihood framework, the counts N z can be obtained from the complete data log-likelihood given in Equation (A3). This is done by solving the following two maximum likelihood equations:

(A8)

where N i00=∑ k=1 δ(Z ik =z i00) is the number of events in the baseline process. This implies

$$ N_{i00} = \mu_i T = \varLambda_{i00}(T). $$
(A9)

Secondly, we consider the complete data log-likelihood for a single process z ijk z i00:

(A10)

where N ijk =∑ k δ(Z ik =z ijk ) is the total number of events in process z ijk , f ijk is the kernel density of process z ijk , and F ijk the cumulative distribution function. This gives

$$ N_{ijk} = \alpha_{ij} F_{ijk}(T) = \varLambda_{ijk}(T). $$
(A11)

From Equations (A7), (A9), and (A11) it follows that

$$ \operatorname{Prob} (Z_{ik} = z \mid \theta_i) = \varLambda_z(T) / \sum _{m \in z_i} \varLambda_m(T). $$
(A12)

Then using the law of total probability to obtain f(t ik θ i ) from Equations (A6) and (A7), Equation (10) follows from application of Bayes’ rule. We note that Veen and Schoenberg (2008) did not explicitly relate the rates of the Poisson process to the posterior probabilities of the branching structure. The foregoing argument fills this void.

The derivation of Equations (11) and (12) from Equation (A5) proceeds in a manner similar to that shown in Equations (A8) and (A10), respectively. It is simply required to replace the N z with \(\bar{N}_{z} = \sum_{k}\operatorname{Prob} (Z_{ik} = z \mid X_{i}, \theta_{i}) \) and, in Equation (A10), to sum over all processes \(z \in\{z_{ij1}, \dots, z_{ijN_{j}}\}\).

Rights and permissions

Reprints and Permissions

About this article

Cite this article

Halpin, P.F., De Boeck, P. Modelling Dyadic Interaction with Hawkes Processes. Psychometrika 78, 793–814 (2013). https://doi.org/10.1007/s11336-013-9329-1

Download citation

  • Received:

  • Revised:

  • Published:

  • Issue Date:

  • DOI: https://doi.org/10.1007/s11336-013-9329-1

Key words

  • dyadic interaction
  • event sampling
  • Hawkes processes
  • EM algorithm
  • maximum likelihood