Abstract
Purpose
Brainstem auditory evoked potential (BAEP) outcomes in obstructive sleep apnea syndrome (OSAS) patients are inconsistent in some studies because the affecting factors are not well controlled. This study aimed to evaluate BAEP of male and female patients with moderate and severe OSAS and further assess the possible factors influencing BAEP abnormalities.
Methods
Polysomnography were applied to 118 subjects, composed of 84 OSAS patients and 34 control subjects (22 male, 12 female), during the night. OSAS groups included 40 moderate (32 male, 8 female) and 44 sever (36 male, 8 female) OSAS patients. Binaural BAEPs were performed for every subject before polysomnography. The comparison of BAEP among control, moderate, and severe OSAS groups was performed according to different gender. Independent sample t test was used to examine the difference between male and female groups. Pearson’s correlation was applied between BAEP parameters and age, body mass index, and sleep-related data in OSAS group.
Results
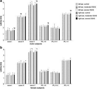
Prolonged latencies of waves I, III, and V were observed in OSAS patients. They were significantly correlated with apnea hypopnea index, arousal index, and hypoxia-related parameters. Compared to female patients, male patients had longer latencies of waves III and V. For severe male OSAS patients, BAEP of right ear showed additional prolongations of IPLs of I–III and I–V than that of left ear, and the IPL of I–III was correlated with the severity of hypoxia.
Conclusions
Moderate and severe OSAS patients showed abnormal BAEP which could be influenced by gender, nocturnal hypoxia, and arousal.

Abbreviations
- BAEP:
-
Brainstem auditory evoked potentials
- OSAS:
-
Obstructive sleep apnea syndrome
- AHI:
-
Apnea and hypopnea index
- ESS:
-
Epworth Sleepiness Scale questionnaire
- PSG:
-
Polysomnography
- IPL:
-
Interpeak latencies
- ODI:
-
Oxygen desaturation index
- MSpO2 :
-
Mean oxygen saturation during the night
- MmSpO2%:
-
Lowest oxygen saturation during the night
- SIT90 :
-
Percent of total sleep time spent under 90 % oxygen level
- AI:
-
Arousal index
- BMI:
-
Body mass index
References
Singh SB, Thakur L, Anand JP, Yadav D, Amitabh BPK, Selvamurthy W (2004) Effect of high altitude on human auditory brainstem responses. Indian J Physiol Pharmacol 48:230–234
Mazurek B, Haupt H, Georgiewa P, Klapp BF, Reisshauer A (2006) A model of peripherally developing hearing loss and tinnitus based on the role of hypoxia and ischemia. Med Hypotheses 67:892–899
Destors M, Tamisier R, Baguet JP, Levy P, Pepin JL (2014) Cardiovascular morbidity associated with obstructive sleep apnea syndrome. Rev Mal Respir 31:375–385. doi:10.1016/j.rmr.2013.12.003
Marshall NS, Wong KK, Cullen SR, Knuiman MW, Grunstein RR (2014) Sleep apnea and 20-year follow-up for all-cause mortality, stroke, and cancer incidence and mortality in the Busselton health study cohort. J Clin Sleep Med 10:355–362. doi:10.5664/jcsm.3600
Patrascu N (2014) Obstructive sleep apnea syndrome could be a significant risk factor for the development of type 2 diabetes mellitus. Maedica (Buchar) 5:79
Pan W, Kastin AJ (2014) Can sleep apnea cause Alzheimer’s disease? Neurosci Biobehav Rev 47C:656–669
Casale M, Vesperini E, Potena M, Pappacena M, Bressi F, Baptista PJ, Salvinelli F (2012) Is obstructive sleep apnea syndrome a risk factor for auditory pathway. Sleep Breath 16:413–417. doi:10.1007/s11325-011-0517-x
Muchnik C, Rubel Y, Zohar Y, Hildesheimer M (1995) Auditory brainstem response in obstructive sleep apnea patients. J Basic Clin Physiol Pharmacol 6:139–148
Karnaze D, Gott P, Mitchell F, Loftin J (1984) Brainstem auditory evoked potentials are normal in idiopathic sleep. Ann Neurol 15:406
Verma NP, Kapen S, King SD, Koshorek GJ (1987) Bimodality electrophysiologic evaluation of brainstem in sleep apnea syndrome. Neurology 37:1036–1039
Mosko SS, Pierce S, Holowach J, Sassin JF (1981) Normal brainstem auditory evoked potentials recorded in sleep apneics during waking and as a function of arterial saturation during sleep. Electroencephalogr Clin Neurophysiol 51:477–482
Kim SW, Kim BY, Han JJ, Hwang JH, Jung K, Kim M, Kim SW (2015) Major factors affecting severity of obstructive sleep apnea. Indian J Otolaryngol Head Neck Surg 67(Suppl 1):114–118. doi:10.1007/s12070-014-0793-4
Won C, Guilleminault C (2015) Gender differences in sleep disordered breathing: implications for therapy. Expert Rev Respir Med 9(2):221–231. doi:10.1586/17476348.2015.1019478
Bernath I, McNamara P, Szternak N, Szakács Z, Köves P, Terray-Horváth A, Vida Z (2009) Hyperviscosity as a possible cause of positive acoustic evoked potential findings in patients with sleep apnea: a dual electrophysiological and hemorheological study. Sleep Medicine 10:361–367. doi:10.1016/j.sleep.2008.03.012
Bernath I, Pongracz E, Koves P, Szakacs Z (2004) Effects of blood hyperviscosity on functional integrity in the brainstem: a brainstem evoked auditory potential study. Clin Hemorheol Microcirc 31:123–128
Berry RB, Budhiraja R, Gottlieb DJ, Gozal D, Iber C, Kapur VK, Marcus CL, Mehra R, Parthasarathy S, Quan SF, Redline S, Strohl KP, Davidson Ward SL, Tangredi MM (2012) Rules for scoring respiratory events in sleep: update of the 2007 AASM manual for the scoring of sleep and associated events. Deliberations of the sleep apnea definitions task force of the American academy of sleep medicine. J Clin Sleep Med 8:597–619. doi:10.5664/jcsm.2172
Sawada S, Mori N, Moun RJ, Harrison RV (2001) Differential vulnerability of inner and outer hair cell systems to chronic mild hypoxia and glutamate ototoxicity: insights into the cause of auditory neuropathy. J Otolaryngol 30:106–114
Nishioka N, Nishina H, Yoshida K, Kinoshita K, Ehara Y (2003) Effect of hypoxia on the auditory system of goat fetuses during extrauterine incubation. J Obstet Gynaecol Res 29:109–114
Lavie L (2014) Oxidative stress in obstructive sleep apnea and intermittent hypoxia - revisited - the bad ugly and good: implications to the heart and brain. Sleep Med Rev 24:1–19. doi:10.1016/j.smrv.2014.07.003
Chan LG, Feinstein A (2015) Persistent sleep disturbances independently predict poorer functional and social outcomes 1 year after mild traumatic brain injury. J Head Trauma Rehabil 30:E67–E75
Cheng CY, Tsai CF, Wang SJ, Hsu CY, Fuh JL (2013) Sleep disturbance correlates with white matter hyperintensity in patients with subcortical ischemic vascular dementia. J Geriatr Psychiatry Neurol 26(3):158–164. doi:10.1177/0891988713493503
Meerlo P, Havekes R, Steiger A (2015) Chronically restricted or disrupted sleep as a causal factor in the development of depression. Curr Top Behav Neurosci 25:459–481. doi:10.1007/7854_2015_367
Li QY, Li M, Feng Y, Guo Q, Gu SY, Liu JL, Zhang RF, Wan HY (2012) Chronic intermittent hypoxia induces thioredoxin system changes in a gender-specific fashion in mice. Am J Med Sci 343(6):458–461. doi:10.1097/MAJ.0b013e318235b03e
Netuka I, Szárszoi O, Malý J, Ríha H, Turek D, Ostádalová I, Ostádal B (2010) Late effect of early hypoxic disturbance in the rat heart: gender differences. Physiol Res 59(1):127–131
Stecker CG, McLaughlin SA, Higgins NC (2015) Monaural and binaural contributions to interaural-level-difference sensitivity in human auditory cortex. NeuroImage 120:456–466. doi:10.1016/j.neuroimage.2015.07.007
Author information
Authors and Affiliations
Corresponding author
Ethics declarations
All procedures performed in studies involving human participants were in accordance with the ethical standards of the institutional (the First Hospital of China Medical University) research committee and with the 1964 Helsinki declaration and its later amendments.
Funding
The National Natural Science foundation of China provided financial support in the form of National Natural Science fund (81270146). Liaoning Province S&T Department provided financial support in the form of Liaoning Province S&T Project (2012225021). The sponsors had no role in the design or conduct of this research.
Conflict of interest
The authors declare that they have no conflict of interest.
Informed consent
Informed consent was obtained from all individual participants included in this study.
Rights and permissions
About this article
Cite this article
Wang, W., Su, J., Kong, D. et al. Gender, nocturnal hypoxia, and arousal influence brainstem auditory evoked potentials in patients with obstructive sleep apnea. Sleep Breath 20, 1239–1244 (2016). https://doi.org/10.1007/s11325-016-1346-8
Received:
Revised:
Accepted:
Published:
Issue Date:
DOI: https://doi.org/10.1007/s11325-016-1346-8