Abstract
The Federal Reserve employed aggressive measures over the past eight years to stimulate a sluggish economy. These included Operation Twist and quantitative easing rounds one (QEI), two (QEII), and three (QEIII) with an emphasis on the purchase of mortgage-backed securities. Chairman Ben Bernanke made it clear that the Fed’s policies should work not only through low interest rates alone, but also through wealth creation. This paper explores the effectiveness of the Fed’s actions to increase asset prices and thus enable the wealth effect. We find that increases in monetary aggregates, such as the monetary base, excess reserves and M2, increased equity prices. This was particularly evident in Operation Twist and the purchase of mortgage-backed securities. The purchase of mortgage-backed securities was also seen as increasing housing prices.
This is a preview of subscription content, access via your institution.





Notes
Survey of Consumer Finances Federal Reserve Board of Governors Tables 5 and 8 (2010) and authors’ calculations.
Real estate investment trust (REIT) indexes provide instant reaction, but primarily cover commercial real-estate and not the single-family home market which was the target of these LSAPs. In addition, REIT’s indexes capture price movements of REIT securities and not the underlying real estate.
An argument can be made that the crisis began earlier in the year as during that period the Fed took some preliminary actions including lowering the federal funds rate, and the subprime market was in distress. Extending the sample to January of 2008 leads to the same pattern of impulse responses. However, the sup Wald statistic (Quandt Likelihood Ratio) identified September of that year as the optimal structural break. (See Canova 2007, p 116 for a discussion of this technique in the VAR context.) The same technique found no more breaks within the “trimmed” post 2008 period.
One can make a case for ending the sample in October of 2014 when the Fed announced the phasing out of QE3. That too has minimal effect on the results, though the housing response gains significance soon after a monetary shock.
The Schwarz Information Criterion(SIC) and Hannan-Quinn (HQ) lag length selection criteria suggest a lag of two months. The Akaike Information Criterion (AIC) recommends a lag of three months, but the AIC is known for overestimating lag length (for example, see Kapetanios (2001)). Given the small n, the more parsimonious model suggested by SIC and HQ is chosen. Using a longer lag structure leaves the pattern of the results intact. The VAR stability condition is met with the inverse roots of the characteristic equation all within the unit circle. (Note that these are inverse roots.) VAR stability implies stationarity. See Lütkepohl (2013, p 19–21) for a full description of this test.
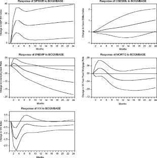
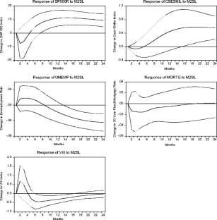
The impulse response functions were generally stable with respect to the Cholesky ordering of the variables. The directions of change in response to the monetary base were the same for all orderings. The significance was generally preserved with equities being significant in all orderings, housing values approaching significance only at the end of the period. Unemployment sometimes reached significance slightly earlier or later. VIX was always significant early and sometimes marginally regained that significance during the second year. Mortgage rates had the expected direction but only flirted with significance late in the forecast. Extending the sample back to January of 2008 gives the same pattern for all variables though the housing market’s response becomes significant in month 19 and the mortgage rate is marginally significant from months 11 to 14.
Fawley and Neely (2013) provided a nice summary of the activities of the central banks of the U.S., England, Japan and the EMU.
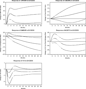
Note, however, that designing the VAR with the monetary base included along with the individual programs potentially diminishes the impact of these programs since they also could work through raising the monetary base. If one repeats the experiment without the monetary base in the VAR the purchase of mortgage-backed securities gains a much larger share of the forecast error variance. It reaches 27.8 % share in month 17 for equities and 34.2 % in month 22 for housing prices. The other programs’ results are less affected.
References
Ansari, M.I. (2009). Stock prices, housing prices and consumer spending: an econometric study of the wealth effect. Finance India, June, 23:2, 469–481.
Benjamin, J. D., Chinloy, P. T., & Jud, G. D. (2004). Real estate versus financial wealth in consumption. Journal of Real Estate Finance and Economics, 29(3), 341–354.
Bernanke, B. (2010). What the Fed did and why: supporting the recovery and sustaining price stability. Washington Post, Nov 4. http://www.washingtonpost.com/wp-dyn/content/article/2010/11/03/AR2010110307372.html accessed July 7, 2016.
Bernanke, B. (2012). Statement to reporters. Cited by Martin Crutsinger and Paul Wiseman, Yahoo! Finance, September 14.
Buiter, W. H. (2010). Housing wealth isn’t wealth. Economics, The Open-Access. Open-Assessment E-Journal, 4, 2010–2022.
Canova, F. (2007). Methods for Applied Macroeconomic Research. Princeton: Princeton University Press.
Case, K., Quigley, J. M., & Shiller, R. J. (2005). Comparing wealth effects: the stock market versus the housing market. The B.E. Journal of Macroeconomics, 5(1), 1–34.
Elliott, W. (1980). Wealth and wealth proxies in a permanent income model. Quarterly Journal of Economics, 95, 509–535.
Fawley, B., & Neely, C. J. (2013). Four stories of quantitative easing. The Federal Reserve Bank of St Louis. Review, 95(1), 51–88.
Gagnon, J., Raskin, M., Remache, J., & Sack, B. (2011). The financial market effects of the Federal Reserve’s large-scale asset purchases. International Journal of Central Banking, 7(1), 3–43.
Greenspan, A. FOMC Transcripts August, 1987; December, 1995; March, 1996; June 1999; December, 1999; August, 2001.
Gürkaynak, R., & Wright, J. H. (2013). Identification and inference using event studies. The Manchester School Papers in Money, Macroeconomics and Finance., 81, 48–65.
Kapetanios, G. (2001). Incorporating lag order selection uncertainty in parameter inference for AR models. Economics Letters, 72(2), 137–144.
Kiley, M. T. (2013). The response of equity prices to movements in long-term interest rates associated with monetary policy statements: before and after the zero bound. In Finance and Economics Discussion Series 2013–15. Board of Governors of the Federal Reserve System.
Krishnamurthy, A. & Vissing-Jorgensen A. (2011). The effects of quantitative easing on interest rates: channels and implications for policy. Brookings Papers on Economic Activity, fall, 215–265.
Ludvigson, S.,Steindel, C., Lettau, M. (2002). Monetary policy transmission through the consumption-wealth channel. Federal Reserve Bank of New York Economic Policy Review / May 117–133.
Lütkepohl, H. (2013). Introduction to Multiple Time Series Analysis. Berlin Heidleberg: Springer Science & Business Media.
Mann, C. L., & Klachkin, O. (2015). Has quantitative easing affected the U.S. Treasury auction market? Atlantic Economic Journal, 43, 135–146.
Martin, W. M. (1955). Interview, U.S. News and World Report, February 11.
Palumbo, M., Rudd, J., & Whelan, K. (2006). On the relationships between real consumption, income, and wealth. Journal of Business and Economic Statistics, January, 24(1), 1–11.
Poterba, J. M. (2000). Stock market wealth and consumption. Journal of Economic Perspectives, spring, 14(2), 99–118.
Rosa, C. (2012). How unconventional are large-scale asset purchases? The impact of monetary policy on asset prices. Federal Reserve Bank of New York Staff Reports, 560, 1–31.
Spencer, R. W., & Huston, J. H. (2006). The Federal Reserve and the Bull Markets: From Benjamin Strong to Alan Greenspan. Lewiston, Queenston, Lampeter: Edwin Mellen Press.
Swanson, E.T. (2011). Let’s twist again: a high-frequency event-study analysis of operation twist and its implications for QE2. Brookings Papers on Economics Activity, (Spring) 151–188.
Tracy, J., Schneider, H., & Chan, S. (1999). Are stocks overtaking real estate in household portfolios? Federal Reserve Bank of New York Current Issues in Economics and Finance, April, 5, 1–6.
Wright, J. H. (2012). What does monetary policy do to long-term interest rates at the zero lower bound? Economic Journal, 122, F447–F466.
Author information
Authors and Affiliations
Corresponding author
Rights and permissions
About this article
Cite this article
Huston, J.H., Spencer, R.W. The Wealth Effects of Quantitative Easing. Atl Econ J 44, 471–486 (2016). https://doi.org/10.1007/s11293-016-9511-9
Published:
Issue Date:
DOI: https://doi.org/10.1007/s11293-016-9511-9
Keywords
- Monetary policy
- Wealth effect
- Asset prices
- Large scale asset purchase
- Quantitative easing
JEL
- E50