Skip to main content

Strategies for efficient and economical 2,3-butanediol production: new trends in this field

Abstract

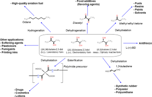
2,3-Butanediol (2,3-BD) is a promising bulk chemical with a potentially wide range of applications e.g., in the manufacture of printing inks, perfumes, synthetic rubber, fumigants, antifreeze agents, fuel additives, foodstuffs and pharmaceuticals. Its high heating value and ability to increase the octane number of fuels make 2,3-BD a promising drop-in fuel. It can also be converted to methyl-ethyl ketone (MEK), which is considered an effective liquid fuel additive. After combination with MEK and hydrogenation reaction, 2,3-BD can be converted to octane, which is used to produce high-quality aviation fuel. Currently 2,3-BD is mainly produced on an industrial scale by chemical methods. However, microbiological production of 2,3-BD offers a less expensive and more environmentally friendly alternative to traditional synthesis. This alcohol is generated from hexoses and pentoses mainly by bacterial strains of the genera Klebsiella, Bacillus, Serratia, and Enterobacter, which can convert waste products (such as glycerol and agricultural residues) and excess biomass (such as wood hydrolysates) to 2,3-BD. Recently, a significant improvement in microbial production has been achieved by the screening of efficient natural microbial strains, the application of alternative cost-effective substrates, and the genetic improvement of microbial producers. Furthermore, Klebsiella strains, which are regarded the most efficient natural 2,3-BD producers, have been subjected to genetic modifications aiming at the removal of pathogenic factors and the development of avirulent strains that could be used for the safe production of the diol. This review summarizes existing knowledge and experience concerning various strategies for efficient and economical microbial production of 2,3-BD.

This is a preview of subscription content, access via your institution.

Fig. 1
Fig. 2

References

  • Afschar AS, Bellgardt KH, Rossell CE et al (1991) The production of 2,3-butanediol by fermentation of high test molasses. Appl Microbiol Biotechnol 34:582–585. doi:10.1007/BF00167903

    CAS  Article  Google Scholar 

  • Anvari M, Pahlavanzadeh H, Vasheghani-Farahani E et al (2009) In situ recovery of 2,3-butanediol from fermentation by liquid–liquid extraction. J Ind Microbiol Biotechnol 36:313–317. doi:10.1007/s10295-008-0501

    CAS  Article  Google Scholar 

  • Białkowska A, Gromek E, Krysiak J et al (2015a) Application of enzymatic apple pomace hydrolysate to production of 2,3-butanediol by alkaliphilic Bacillus licheniformis NCIMB 8059. J Ind Microbiol Biotechnol 42(12):1609–1621. doi:10.1007/s10295-015-1697-3

    Article  Google Scholar 

  • Białkowska A, Jędrzejczak-Krzepkowska M, Gromek E et al (2015b) Effects of genetic modifications and fermentation conditions on 2,3-butanediol production by Bacillus subtilis TUL 322. Appl Microbiol Biotechnol 100(6):2663–2676. doi:10.1007/s00253-015-7164-2

    Article  Google Scholar 

  • Biswas R, Yamaoka M, Nakayama H et al (2012) Enhanced production of 2,3-butanediol by engineered Bacillus subtilis. Appl Microbiol Biotechnol 94(3):651–658. doi:10.1007/s00253-011-3774-5

    CAS  Article  Google Scholar 

  • Celińska E, Grajek W (2009) Biotechnological production of 2,3-butanediol—current state and prospects. Biotechnol Adv 27:715–725. doi:10.1016/j.biotechadv.2009.05.002

    Article  Google Scholar 

  • Cheng KK, Liu Q, Zhang JA et al (2010) Improved 2,3-butanediol production from corncob acid hydrolysate by fed-batch fermentation using Klebsiella oxytoca. Proc Biochem 45(4):613–616. doi:10.1016/j.procbio.2009.12.009

    CAS  Article  Google Scholar 

  • Cho S, Kim T, Woo HM et al (2015a) High production of 2,3-butanediol from biodiesel-derived crude glicerol by metabolically engineered Klebsiella oxytoca M1. Biotechnol Biofuels 8:146. doi:10.1186/s13068-015-0336-6

    Article  Google Scholar 

  • Cho S, Kim T, Woo HM et al (2015b) Enhanced 2,3-butanediol production by optimizing fermentation conditions and engineering Klebsiella oxytoca M1 through overexpression of acetoin reductase. PLoS One 10(9):e0138109. doi:10.1371/journal.pone.0138109

    Article  Google Scholar 

  • Dai JY, Zhao P, Cheng XL et al (2015) Enhanced production of 2,3-butanediol from sugarcane molasses. Appl Biochem Biotechnol 175(6):3014–3024. doi:10.1007/s12010-015-1481-x

    CAS  Article  Google Scholar 

  • Fu J, Huo G, Feng L et al (2016) Metabolic engineering of Bacillus subtilis for chiral pure meso-2,3-butanediol production. Biotechnol Biofuels 9:90. doi:10.1186/s13068-016-0502-5

    Article  Google Scholar 

  • Garg SK, Jain A (1995) Fermentative production of 2,3-butanediol: a review. Bioresour Technol 51:103–109. doi:10.1016/0960-8524(94)00136-O

    CAS  Article  Google Scholar 

  • Geckil H, Barak Z, Chipman DM et al (2004) Enhanced production of acetoin and butanediol in recombinant Enterobacter aerogenes carrying Vitreoscilla hemoglobin gene. Bioprocess Biosyst Eng 26(5):325–330. doi:10.1007/s00449-004-0373-1

    CAS  Article  Google Scholar 

  • Guo X, Cao C, Wang Y et al (2014) Effect of the inactivation of lactate dehydrogenase, ethanol dehydrogenase, and phosphotransacetylase on 2,3-butanediol production in Klebsiella pneumoniae strain. Biotechnol Biofuels 7(1):44. doi:10.1186/1754-6834-7-44

    Article  Google Scholar 

  • Hao J, Xu F, Liu H, Liu D (2006) Downstream processing of 1,3-propanediol fermentation broth. J Chem Technol Biotechnol 81:102–108. doi:10.1002/jctb.1369

    CAS  Article  Google Scholar 

  • Hon-Nami KA (2006) A unique feature of hydrogen recovery in endogenous starch-to-alcohol fermentation of the marine microalga, Chlamydomonas perigranulata. Appl Biochem Biotechnol 131:808–828. doi:10.1385/ABAB:131:1:808

    Article  Google Scholar 

  • Jantama K, Polyiam P, Khunnonkwao P et al (2015) Efficient reduction of the formation of by-products and improvement of production yield of 2,3-butanediol by a combined deletion of alcohol dehydrogenase, acetate kinase-phosphotransacetylase, and lactate dehydrogenase genes in metabolically engineered Klebsiella oxytoca in mineral salts medium. Metab Eng 30:16–26. doi:10.1016/j.ymben.2015.04.004

    CAS  Article  Google Scholar 

  • Ji XJ, Huang H, Du J et al (2009) Enhanced 2,3-butanediol production by Klebsiella oxytoca using a two-stage agitation speed control strategy. Bioresour Technol 100(13):3410–3414. doi:10.1016/j.biortech.2009.02.031

    CAS  Article  Google Scholar 

  • Ji XJ, Huang H, Zhu JG et al (2010) Engineering Klebsiella oxytoca for efficient 2,3-butanediol production through insertional inactivation of acetaldehyde dehydrogenase gene. Appl Microbiol Biotechnol 85:1751–1758. doi:10.1007/s00253-009-2222-2

    CAS  Article  Google Scholar 

  • Ji XJ, Huang H, Ouyang PK (2011) Microbial 2,3-butanediol production: a state-of-the-art review. Biotechnol Adv 29:351–364. doi:10.1016/j.biotechadv.2011.01.007

    CAS  Article  Google Scholar 

  • Jiang B, Li ZG, Dai JY et al (2009) Aqueous two-phase extraction of 2,3-butanediol from fermentation broths using an ethanol/phosphate system. Proces Biochem 44:112–117. doi:10.1016/j.procbio.2008.09.019

    CAS  Article  Google Scholar 

  • Jung MY, Ng CY, Song H et al (2012) Deletion of lactate dehydrogenase in Enterobacter aerogenes to enhance 2,3-butanediol production. Appl Microbiol Biotechnol 95(2):461–469. doi:10.1007/s00253-012-3883-9

    CAS  Article  Google Scholar 

  • Jung MY, Park BS, Lee J et al (2013a) Engineered Enterobacter aerogenes for efficient utilization of sugarcane molasses in 2,3-butanediol production. Bioresour Technol 139:21–27. doi:10.1016/j.biortech.2013.04.003

    CAS  Article  Google Scholar 

  • Jung SG, Jang JH, Kim AY et al (2013b) Removal of pathogenic factors from 2,3-butanediol-producing Klebsiella species by inactivating virulence related wabG gene. Appl Microbiol Biotechnol 97(5):1997–2007. doi:10.1007/s00253-012-4284-9

    CAS  Article  Google Scholar 

  • Jurchescu IM, Hamann J, Zhou X et al (2013) Enhanced 2,3-butanediol production in fed-batch cultures of free and immobilized Bacillus licheniformis DSM 8785. Appl Microbiol Biotechnol 97:6715–6723. doi:10.1007/s00253-013-4981-z

    CAS  Article  Google Scholar 

  • Kim B, Lee S, Park J et al (2012) Enhanced 2,3-butanediol production in recombinant Klebsiella pneumoniae via overexpression of synthesis-related genes. J Microbiol Biotechnol 22(9):1258–1263

    CAS  Article  Google Scholar 

  • Kim DK, Rathnasingh C, Song H et al (2013) Metabolic engineering of a novel Klebsiella oxytoca strain for enhanced 2,3-butanediol production. J Biosci Bioeng 116(2):186–192. doi:10.1016/j.jbiosc.2013.02.021

    CAS  Article  Google Scholar 

  • Koutinas AA, Yepez B, Kopsahelis N et al (2016) Techno-economic evaluation of a complete bioprocess for 2,3-butanediol production from renewable resources. Bioresour Technol 204:55–64. doi:10.1016/j.biortech.2015.12.005

    CAS  Article  Google Scholar 

  • Lee H, Maddox I (1986) Continuous production of 2,3-BD from whey permeate using Klebsiella pneumoniae immobilized in calcium alginate. Enzyme Microb Technol 8(7):409–411. doi:10.1016/0141-0229(86)90147-X

    CAS  Article  Google Scholar 

  • Li ZJ, Jian J, Wei XX, Shen XW, Chen GQ (2010a) Microbial production of meso-2,3-butanediol by metabolically engineered Escherichia coli under low oxygen condition. Appl Microbiol Biotechnol 87(6):2001–2009. doi:10.1007/s00253-010-2676-2

    CAS  Article  Google Scholar 

  • Li D, Dai JY, Xiu ZL (2010b) A novel strategy for integrated utilization of Jerusalem artichoke stalk and tuber for production of 2,3-butanediol by Klebsiella pneumoniae. Bioresour Technol 101(21):8342–8347. doi:10.1016/j.biortech.2010.06.041

    CAS  Article  Google Scholar 

  • Li ZG, Teng H, Xiu ZL (2010c) Aqueous two-phase extraction of 2,3-butanediol from fermentation broths using an ethanol/ammonium sulfate system. Process Biochem 45:731–737. doi:10.1007/s10529-008-9874-3

    CAS  Article  Google Scholar 

  • Li Y, Zhu J, Wu Y et al (2013) Reactive extraction of 2,3-butanediol from fermentation broth. Korean J Chem Eng 30:154–259. doi:10.1007/s11814-012-0114-0

    CAS  Article  Google Scholar 

  • Li L, Chen C, Li K et al (2014a) Efficient simultaneous saccharification and fermentation of inulin to 2,3-butanediol by thermophilic Bacillus licheniformis ATCC 14580. Appl Environ Microbiol 80(20):6458–6464. doi:10.1128/AEM.01802-14

    Article  Google Scholar 

  • Li L, Li K, Wang K et al (2014b) Efficient production of 2,3-butanediol from corn stover hydrolysate by using a thermophilic Bacillus licheniformis strain. Bioresour Technol 170:256–261. doi:10.1016/j.biortech.2014.07.101

    CAS  Article  Google Scholar 

  • Li L, Li K, Wang Y et al (2015) Metabolic engineering of Enterobacter cloacae for high-yield production of enantiopure (2R,3R)-2,3-butanediol from lignocellulose-derived sugars. Metab Eng 28:19–27. doi:10.1016/j.ymben.2014.11.010

    CAS  Article  Google Scholar 

  • Ma C, Wang A, Qin J et al (2009) Enhanced 2,3-butanediol production by Klebsiella pneumoniae SDM. Appl Microbiol Biotechnol 82(1):49–57. doi:10.1007/s00253-008-1732-7

    CAS  Article  Google Scholar 

  • Mazumdar S, Lee J, Oh MK (2013) Microbial production of 2,3-butanediol from seaweed hydrolysate using metabolically engineered Escherichia coli. Bioresour Technol 136:329–336. doi:10.1016/j.biortech.2013.03.013

    CAS  Article  Google Scholar 

  • Nakashima N, Akita H, Hoshino T (2014) Establishment of a novel gene expression method, BICES (biomass-inducible chromosome-based expression system), and its application to the production of 2,3-butanediol and acetoin. Metab Eng 25:204–214. doi:10.1016/j.ymben.2014.07.011

    CAS  Article  Google Scholar 

  • Nakashimada Y, Marwoto B, Kakizono T et al (2000) Enhanced 2,3-butanediol production by addition of acetic acid in Paenibacillus polymyxa. J Biosci Bioeng 90:661–664. doi:10.1016/S1389-1723(00)90013-6

    CAS  Article  Google Scholar 

  • Nan H, Seo SO, Oh EJ et al (2014) 2,3-Butanediol production from cellobiose by engineered Saccharomyces cerevisiae. Appl Microbiol Biotechnol 98:5757–5764. doi:10.1007/s00253-014-5683-x

    CAS  Article  Google Scholar 

  • Nie Z, Ji XJ, Huang H et al (2011) An effective and simplified fed-batch strategy for improved 2,3-butanediol production by Klebsiella oxytoca. Appl Biochem Biotechnol 163(8):946–953. doi:10.1007/s12010-010-9098-6

    CAS  Article  Google Scholar 

  • Nielsen DR, Yoon SH, Yuan CJ et al (2010) Metabolic engineering of acetoin and meso-2,3-butanediol biosynthesis in E. coli. Biotechnol J 5(3):274–284. doi:10.1002/biot.200900279

    CAS  Article  Google Scholar 

  • Oliveira RR, Nicholson WL (2016) Synthetic operon for (R,R)-2,3-butanediol production in Bacillus subtilis and Escherichia coli. Appl Microbiol Biotechnol 100:719–728. doi:10.1007/s00253-015-7030-2

    Article  Google Scholar 

  • Oliver JW, Machado IM, Yoneda H et al (2013) Cyanobacterial conversion of carbon dioxide to 2,3-butanediol. Proc Natl Acad Sci USA 110(4):1249–1254. doi:10.1073/pnas.1213024110

    CAS  Article  Google Scholar 

  • Park JM, Song H, Lee HJ et al (2013) In silico aided metabolic engineering of Klebsiella oxytoca and fermentation optimization for enhanced 2,3-butanediol production. J Ind Microbiol Biotechnol 40(9):1057–1066. doi:10.1007/s10295-013-1298-y

    CAS  Article  Google Scholar 

  • Petrov K, Petrova P (2009) High production of 2, 3-butanediol from glycerol by Klebsiella pneumoniae G31. Appl Microbiol Biotechnol 84(4):659–665. doi:10.1007/s00253-009-2004-x

    CAS  Article  Google Scholar 

  • Qi G, Kang Y, Li L et al (2014) Deletion of meso-2,3-butanediol dehydrogenase gene budC for enhanced D-2,3-butanediol production in Bacillus licheniformis. Biotechnol Biofuels 7(1):16. doi:10.1186/1754-6834-7-16

    Article  Google Scholar 

  • Radoš D, Carvalho AL, Wieschalka S et al (2015) Engineering Corynebacterium glutamicum for the production of 2,3-butanediol. Microb Cell Fact 14:171. doi:10.1186/s12934-015-0362-x

    Article  Google Scholar 

  • Ruohonen L, Aristidou A, Frey AD et al (2006) Expression of Vitreoscilla hemoglobin improves the metabolism of xylose in recombinant yeast Saccharomyces cerevisiae under low oxygen conditions. Enzyme Microb Technol 39(1):6–14. doi:10.1016/j.enzmictec.2005.06.024

    CAS  Article  Google Scholar 

  • Savakis PE, Angermayr SA, Hellingwerf KJ (2013) Synthesis of 2,3-butanediol by Synechocystis sp. PCC6803 via heterologous expression of a catabolic pathway from lactic acid- and enterobacteria. Metab Eng 20:121–130. doi:10.1016/j.ymben.2013.09.008

    CAS  Article  Google Scholar 

  • Shao P, Kumar A (2009a) Recovery of 2,3-butanediol from water by a solvent extraction and pervaporation separation scheme. J Membr Sci 329:160–168. doi:10.1016/j.memsci.2008.12.033

    CAS  Article  Google Scholar 

  • Shao P, Kumar A (2009b) Separation of 1-butanol/2,3-butanediol using ZSM-5 zeolite-filled polydimethylsiloxane membranes. J Membr Sci 339:143–150. doi:10.1016/j.memsci.2009.04.042

    CAS  Article  Google Scholar 

  • Shrivastav A, Lee J, Kim HY et al (2013) Recent insights in the removal of Klebsiella pathogenicity factors for the industrial production of 2,3-butanediol. J Microbiol Biotechnol 23(7):885–896

    CAS  Article  Google Scholar 

  • Sikora B, Kubik C, Kalinowska H et al (2015) Application of byproducts from food processing for production of 2,3-butanediol using Bacillus amyloliquefaciens TUL 308. Prep Biochem Biotechnol. doi:10.1080/10826068.2015.1085401

    Google Scholar 

  • Sorensen HP, Mortensen KK (2005) Soluble expression of recombinant proteins in the cytoplasm of Escherichia coli. Microb Cell Fact 4:1. doi:10.1186/1475-2859-4-1

    Article  Google Scholar 

  • Sun LH, Wang XD, Dai JY et al (2009) Microbial production of 2,3-butanediol from Jerusalem artichoke tubers by Klebsiella pneumoniae. Appl Microbiol Biotechnol 82(5):847–852. doi:10.1007/s00253-008-1823-5

    CAS  Article  Google Scholar 

  • Thomsen MH, Thygesen A, Thomsen AB (2009) Identification and characterization of fermentation inhibitors formed during hydrothermal treatment and following SSF of wheat straw. Appl Microbiol Biotechnol 83(3):447–455. doi:10.1007/s00253-009-1867-1

    CAS  Article  Google Scholar 

  • Ui S, Takusagawa Y, Sato T et al (2004) Production of L-2,3-butanediol by a new pathway constructed in Escherichia coli. Lett Appl Microbiol 39(6):533–537

    CAS  Article  Google Scholar 

  • Wang A, Wang Y, Jiang T et al (2010) Production of 2,3-butanediol from corncob molasses a waste by-product in xylitol production. Appl Microbiol Biotechnol 87(3):965–970. doi:10.1007/s00253-010-2557-8

    CAS  Article  Google Scholar 

  • Wang A, Xu Y, Ma C et al (2012) Efficient 2,3-butanediol production from cassava powder by a crop-biomass-utilizer, Enterobacter cloacae subsp. dissolvens SDM. PLoS One 7(7):e40442. doi:10.1371/journal.pone.0040442

    CAS  Article  Google Scholar 

  • Wei ML, Webster DA, Stark BC (1998) Metabolic engineering of Serratia marcescens with the bacterial hemoglobin gene: alterations in fermentation pathways. Biotechnol Bioeng 59(5):640–646

    CAS  Article  Google Scholar 

  • Xiu ZL, Zeng AP (2008) Present state and perespective of downstream processing of biologically produced 1,3-propanediol and 2,3-butanediol. Appl Microbiol Biotechnol 78(6):917–926. doi:10.1007/s00253-008-1387-4

    CAS  Article  Google Scholar 

  • Xu Y, Chu H, Gao C et al (2014) Systematic metabolic engineering of Escherichia coli for high-yield production of fuel bio-chemical 2,3-butanediol. Metab Eng 23:22–33. doi:10.1016/j.ymben.2014.02.004

    CAS  Article  Google Scholar 

  • Yang T, Rao Z, Zhang X et al (2011) Production of 2,3-butanediol from glucose by GRAS microorganism Bacillus amyloliquefaciens. J Basic Microbiol 51:650–658. doi:10.1002/jobm.201100033

    CAS  Article  Google Scholar 

  • Yang T, Rao Z, Zhang X et al (2013) Improved production of 2,3-butanediol in Bacillus amyloliquefaciens by over-expression of glyceraldehyde-3-phosphate dehydrogenase and 2,3-butanediol dehydrogenase. PLoS One 8(10):e76149. doi:10.1371/journal.pone.0076149

    CAS  Article  Google Scholar 

  • Yang TH, Rathnasingh Ch, Lee HJ et al (2014) Identification of acetoin reductases involved in 2,3-butanediol pathway in Klebsiella oxytoca. J Biotechnol 172:59–66. doi:10.1016/j.jbiotec.2013.12.007

    CAS  Article  Google Scholar 

  • Yang T, Rao Z, Zhang X et al (2015) Enhanced 2,3-butanediol production from biodiesel-derived glicerol by engineering of cofactor regeneration and manipulating carbon flux in Bacillus amyloliquefaciens. Microb Cell Fact 14:122–133. doi:10.1186/s12934-015-0317-2

    Article  Google Scholar 

  • Zeng AP, Biebl H, Deckwer WD (1990) Effect of pH and acetic acid on growth and 2,3-butanediol production of Enterobacter aerogenes in continuous culture. Appl Microbiol Biotechnol 33:485–489. doi:10.1007/bf00172538

    CAS  Google Scholar 

  • Zhang L, Li Y, Wang Z et al (2007) Recent developments and future prospects of Vitreoscilla hemoglobin application in metabolic engineering. Biotechnol Adv 25(2):123–136. doi:10.1016/j.biotechadv.2006.11.001

    CAS  Article  Google Scholar 

  • Zhang L, Sun J, Hao Y et al (2010) Microbial production of 2,3-butanediol by a surfactant (serrawettin)-deficient mutant of Serratia marcescens H30. J Ind Microbiol Biotechnol 37(8):857–862. doi:10.1007/s10295-010-0733-6

    CAS  Article  Google Scholar 

  • Zhang X, Zhang R, Bao T et al (2013) Moderate expression of the transcriptional regulator AlsR enhances acetoin production by Bacillus subtilis. J Ind Microbiol Biotechnol 40(9):1067–1076. doi:10.1007/s10295-013-1303-5

    CAS  Article  Google Scholar 

Download references

Author information

Affiliations

Authors

Corresponding author

Correspondence to Aneta M. Białkowska.

Rights and permissions

Reprints and Permissions

About this article

Verify currency and authenticity via CrossMark

Cite this article

Białkowska, A.M. Strategies for efficient and economical 2,3-butanediol production: new trends in this field. World J Microbiol Biotechnol 32, 200 (2016). https://doi.org/10.1007/s11274-016-2161-x

Download citation

  • Received:

  • Accepted:

  • Published:

  • DOI: https://doi.org/10.1007/s11274-016-2161-x

Keywords

  • 2,3-Butanediol
  • Bulk chemicals
  • Metabolic engineering
  • Fed-batch culture