Abstract
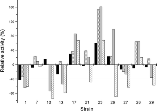
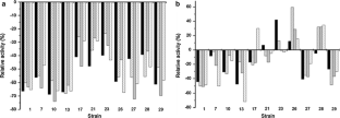
The aim of this study was to evaluate the ability from a number of lactic acid bacteria isolated from different sources to produce glycosidase enzymes. Representative isolates (225) from clusters obtained after genotyping, using randomly amplified polymorphic DNA-polymerase chain reaction (RAPD-PCR) analysis, of 1,464 isolates, were screened for β-D-glucosidase activity. Thirty-five of them were selected for subsequent analysis. These strains were able to hydrolyze α-D-glucopyranoside, β-D-xylopyranoside and α-L-arabinofuranoside although β-D-glucosidase activity was the predominant activity for 22 of the selected strains. Only some of them did so with α-L-rhamnopyranoside. All of these were from wine samples and were identified as belonging to the Oenococcus oeni species using Amplification and Restriction Analysis of 16S-rRNA gene (16S-ARDRA). When the influence of pH, temperature and ethanol or sugars content on β-D-glucosidase activity was assayed, a strain-dependent response was observed. The β-D-glucosidase activity occurred in both whole and sonicated cells but not in the supernatants from cultures or obtained after cell sonication. Strains 10, 17, 21, and 23 retained the most β-D-glucosidase activity when they were assayed at the conditions of temperature, pH, ethanol and sugar content used in winemaking. These results suggest that these strains could be used as a source of glycosidase enzymes for use in winemaking.





Similar content being viewed by others
Explore related subjects
Discover the latest articles and news from researchers in related subjects, suggested using machine learning.References
Aryan AP, Wilson B, Strauss CR, Williams PJ (1987) The properties of glycosidases of Vitis vinifera and a comparison of their β-glucosidase activity with that of exogenous enzymes. An assessment of possible applications in enology. Am J Enol Vitic 38:182–188
Avedovech RM, Mc Daniel MR, Watson BT, Sandine WE (1992) An evaluation of combinations of wine yeast and Leuconostoc oenos strain in malolactic fermentation of Chardonnay wine. Am J Enol Vitic 43:253–260
Barbagallo RN, Spagna G, Palmeri R, Torriani S (2004) Assessment of β-glucosidase activity in selected wild strains of Oenococcus oeni for malolactic fermentation. Enzyme Microb Technol 34:292–296
Bayonove C, Günata YZ, Sapis JC, Baumes RL, Dugelay I, Grassin C (1992) Augmentation des aromes dans le vin et utilisation d’enzymes. Rev Des Oenol Tech Vitivin Oenol 64:15–18
Bloem A, Lonvaud-Funel A, de Revel G (2008) Hydrolysis of glycosidically bound flavour compounds from oak wood by Oenococcus oeni. Food Microbiol 25:99–104
Boido E, Lloret A, Medina K, Carrau F, Dellacassa E (2002) Effect of β-glucosidase activity of Oenococcus oeni on the glycosylated flavour precursors of Tannat wine during malolactic fermentation. J Agric Food Chem 50:2344–2349
Boido E, Medina K, Fariña L, Carrau F, Versini G, Dellacasa E (2009) The effect of bacterial strain and aging on the secondary volatile metabolites produced during malolactic fermentation of Tannat red wine. J Agric Food Chem 57:6271–6278
Bradford MM (1976) A rapid and sensitive method for the quantitation of microgram quantities of protein utilizing the principle of protein dye binding. Anal Biochem 72:248–254
Bureau S, Razungles A, Baumes R, Bayonove C (1996) Glycosylated flavor precursor extraction by microwaves from grape juice and grapes. J Food Sci 61:557–560
Colagrande O, Silva A, Fumi MD (1994) Recent applications of biotechnology in wine production. Biotechnol Prog 10:2–18
Cordonnier RE, Günata YZ, Baumes RL, Bayonove CL (1989) Recherche d’un matériel enzymatique adapté à l’hydrolyse des précurseurs d’arômes de nature glycosidique du raisin. Connaiss Vigne Vin 23:7–23
D′Incecco N, Bartowsky E, Kassara S, Lante A, Spettoli P, Henschke P (2004) Release of glycosidically bound flavour compounds of Chardonnay by Oenococcus oeni during malolactic fermentation. Food Microbiol 21:257–265
Dawson RMC, Elliott DC, Elliot WH, Jones KM (1986) Data for biochemical research, 3rd edn. Clarendon Press, Oxford
De Cort S, Shanta Kumara HMC, Verachert H (1994) Localization and characterization of α-glucosidase activity in Lactobacillus brevis. Appl Environ Microbiol 60:3074–3078
De Man JC, Rogosa M, Sharpe ME (1960) A medium for the cultivation of Lactobacilli. J Appl Bacteriol 23:130–135
Grimaldi A, McLean H, Jiranek V (2000) Identification and partial characterization of glycosidic activities of commercial strains of the lactic acid bacterium, Oenococcus oeni. Am J Enol Vitic 51:362–369
Grimaldi A, Bartowsky E, Jiranek V (2005a) A survey of glycosidase activities of commercial wine strains of O. oeni. Int J Food Microbiol 105:233–244
Grimaldi A, Bartowsky E, Jiranek V (2005b) Screening of Lactobacillus spp. and Pediococcus spp. for glycosidase activities that are important in oenology. J Appl Microbiol 99:1061–1069
Gueguen Y, Chemardin P, Galzy P (1995) Comparative study of extracellular and intracellular β-glucosidases of a new strain of Zygosaccharomyces bailii isolated from fermenting agave juice. J Appl Bacteriol 78:270–280
Gueguen Y, Chemardin P, Labrot P, Arnaud A, Galzy P (1997) Purification and characterization of an intracellular β-glucosidase from a new strain of Leuconostoc mesenteroides isolated from cassava. J Appl Microbiol 82:469–476
Günata ZY, Bitteur S, Brillouet JM, Bayonove C, Cordonnier RE (1988) Sequential enzymic hydrolysis of potentially aromatic glycosides from grapes. Carbohydr Res 134:139–149
Günata ZY, Blondeel C, Vallier MJ, Lepoutre JP, Sapis JC, Watanabe N (1998) An endoglycosidase from grape berry skin of cv. M. Alexandrie, hydrolyzing potentially aromatic disaccharide glycosides. J Agric Food Chem 46:2748–2753
Hernández-Orte P, Cersosimo M, Loscos N, Cacho J, García-Moruno E, Ferreira V (2009) Aroma development from non-floral grape precursors by wine lactic acid bacteria. Food Res Int 42:773–781
Izquierdo Cañas PM, García Romero E, Gómez Alonso S, MLl PalopHerreros (2008) Changes in the aromatic composition of Tempranillo wines during spontaneous malolactic fermentation. J Food Compos Anal 21:724–730
Krieger S, Dulau L, Navascués E, Palacios A (2001) Control de la fermentación maloláctica. Viticultura/Enología Profesional 73:63–71
Lei V, Amoa-Awua WKA, Brimer L (1999) Degradation of cyanogenic glycosides by Lactobacillus plantarum strains from spontaneous cassava fermentation and other microorganisms. Int J Food Microbiol 53:169–184
Lerm E, Engelbrecht L, Du Toit M (2010) Malolactic fermentation: the ABC’s of MLF. S Afr J Enol Vitic 31:186–212
Liu SQ (2002) Malolactic fermentation in wine beyond deacidification. J Appl Microbiol 92:589–601
Lonvaud-Funel A (1999) Lactic acid bacteria in the quality improvement and depreciation of wine. Anton Leeuw Int J G 76:317–331
Maicas S, Gil JV, Pardo I, Ferrer S (1999) Improvement of volatile composition of wines by controlled addition of malolactic bacteria. Food Res Intern 32:491–496
Mansfield AK, Zoecklein BW, Whiton RS (2002) Quantification of glycosidase activity in selected strains of Brettanomyces bruxellensis and Oenococcus oeni. Am J Enol Vitic 53:303–307
Matthews A, Grimaldi A, Walker M, Bartowsky E, Grbin PR, Jiranek V (2004) Lactic acid bacteria as a source of enzymes for use in vinification. Appl Environ Microbiol 70:5715–5731
McMahon H, Zoecklein BW, Fugelsang KC, Jasinski Y (1999) Quantification of glycosidase activities in selected yeast and lactic acid bacteria. J Ind Microbiol Biotechnol 23:198–203
Ogawa K, Yasuyuki I, Guo W, Watanabe N, Usui T, Dong S, Tong Q, Sakata K (1997) Purification of a β-primeverosidase concerned with alcoholic aroma formation in tea leaves (Cv. Shuixian) to be processed to oolong tea. J Agric Food Chem 45:877–882
Palacios A, Navascués E, Santiago L, Macías C, Rasines G, Fuster A, Krieger S, Julien A (2003) Control Biológico de la Fermentación Maloláctica. Viticultura/Enología Profesional 84:45–53
Palmeri R, Spagna G (2007) β-Glucosidase in cellular and acellular form for winemaking application. Enzyme Microb Technol 40:382–389
Pemberton MS, Brown RD, Emert GH (1980) The role of β-glucosidase in the bioconversion of cellulose. Can J Chem Eng 58:723–729
Peynaud E (1993) Enología práctica. Conocimiento y elaboración del vino, Mundi-Prensa
Pozo-Bayón MA, G-Alegría E, Polo MC, Tenorio C, Martín-Álvarez PJ, Calvo de la Banda MT, Ruiz-Larrea F, Moreno Arribas MV (2005) Wine volatile and amino acid composition after malolactic fermentation: effect of Oenococcus oeni and Lactobacillus plantarum starter cultures. J Agric Food Chem 53:8729–8735
Pripis-Nicolau L, De Revel G, Bertrand A, Lonvaud-Funel A (2004) Methionine catabolism and production of volatile sulphur compounds by Oenococcus oeni. J Appl Microbiol 96:1176–1184
Razungles A, Günata Z, Pinante S, Baumes R, Bayonove C (1993) Etude quantitative de composés terpéniques, norisoprenofdes et leurs precurseurs dans diverses varietés de raisins. Sci Aliment 13:59–72
Rodas AM, Ferrer S, Pardo I (2003) 16S-ARDRA, a tool for identification of lactic acid bacteria isolated from grape must and wine. Syst Appl Microbiol 26:412–422
Ruiz P, Izquierdo PM, Seseña S, MLl Palop (2008) Intraspecific genetic diversity of lactic acid bacteria from malolactic fermentation of Cencibel wines as derived from combined analysis of RAPD-PCR and PFGE patterns. Food Microbiol 25:942–948
Sefton MA, Francis IL, Williams PJ (1993) The volatile composition of Chardonnay juices: a study by flavor precursor analysis. Am J Enol Vitic 44:359–370
Spano G, Rinaldi A, Ugliano L, Moio L, Beneduce L, Massa S (2005) A β-glucosidase gene isolated from wine Lactobacillus plantarum is regulated by abiotic stresses. J Appl Microbiol 98:855–861
Ugliano M, Moio L (2005) Changes in the concentration of yeast-derived volatile compounds of red wine during malolactic fermentation with four commercial starter cultures of Oenococcus oeni. J Agric Food Chem 53:10134–10139
Ugliano M, Moio L (2006) The influence of malolactic fermentation and Oenococcus oeni strain on glycosidic aroma precursors and related volatile compounds of red wine. J Sci Food Agric 86:2468–2476
Ugliano M, Genovese A, Moio L (2003) Hydrolysis of wine aroma precursors during malolactic fermentation with four commercial starter cultures of Oenococcus oeni. J Agric Food Chem 51:5073–5078
van Rensburg P, Pretorius IS (2000) Enzymes in winemaking, harnessing natural catalysts for efficient biotransformations- a review. Am J Enol Vitic 21:52–73
Vauterin L, Vauterin P (1992) Computer-aided objective comparison of electrophoresis patterns for grouping and identification of microorganisms. Eur Microbiol 1:37–41
Villettaz JC, Dubourdieu D (1991) Enzymes in winemaking. In: Fox PF (ed) Food enzymology, vol 1. Elsevier Science Publishers, Barking, pp 427–454
Williams PJ (1993) Hydrolytic flavour release in fruit and wines through hydrolysis of non-volatile precursors. In: Acree TH, Teranishi R (eds) Flavor science: sensible principles and techniques. American Chemical Society, Washington, pp 287–308
Winterhalter P, Skouroumounis GK (1997) Glycoconjugated aroma compounds: ocurrence, role and biotechnological transformation. In: Sheper T (ed) Advances in biochemical engineering/biotechnology. Springer, Berlin, pp 74–79
Acknowledgments
The authors wish to thank Consejería de Educación y Ciencia of the Council of Communities of Castilla-La Mancha (JCCM) for the project POII09-0159-1914. F. Pérez-Martín is supported by a grant of the Council of Communities of Castilla-La Mancha. P. M. Izquierdo acknowledges the Fondo Social Europeo and INCRECYT for cofounding his contract.
Author information
Authors and Affiliations
Corresponding author
Rights and permissions
About this article
Cite this article
Pérez-Martín, F., Seseña, S., Izquierdo, P.M. et al. Screening for glycosidase activities of lactic acid bacteria as a biotechnological tool in oenology. World J Microbiol Biotechnol 28, 1423–1432 (2012). https://doi.org/10.1007/s11274-011-0942-9
Received:
Accepted:
Published:
Issue Date:
DOI: https://doi.org/10.1007/s11274-011-0942-9


