Abstract
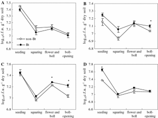
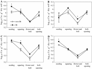
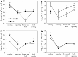
The impact of multiple-year (0–5 years) cultivation of transgenic Bacillus thuringiensis (Bt) cotton on the functional bacterial populations in rhizosphere soil was investigated. The transgenic Bt + CpTI cotton line SGK321 and a non-Bt cotton line Shiyuan321 were planted in four fields in which Bt cotton had been continuously cultivated for 0, 1, 3, and 5 years. Rhizosphere soil samples were collected at the seedling, squaring, flower and boll, and boll-opening stages of cotton. Numbers of bacteria involved in nitrogen-fixing, organic phosphate-dissolving, inorganic phosphate-dissolving, and potassium-dissolving were measured with cultivation-dependent approaches. The data presented here showed no consistent statistically significant differences in the numbers of different groups of functional bacteria between rhizosphere soil of Bt and non-Bt cotton in the same field, and no obvious trends in the numbers of the various group of functional bacteria with the increasing duration of Bt cotton cultivation. These studies suggest that multiple-year cultivation of transgenic Bt cotton may not affect the functional bacterial populations in rhizosphere soil.





Similar content being viewed by others
References
Ahmad A, Wilde GE, Zhu KY (2005) Detectability of Coleopteran-specific Cry3Bb1 protein in soil and its effect on nontarget surface and below-ground Arthropods. Environ Entomol 34:385–394
Baumgarte S, Tebbe CC (2005) Field studies on the environmental fate of the Cry1Ab Bt-toxin produced by transgenic maize (MON810) and its effect on bacterial communities in the maize rhizosphere. Mol Ecol 14:2539–2551. doi:10.1111/j.1365-294X.2005.02592.x
Bi RM, Jia HY, Feng DS, Wang HG (2006) Production and analysis of transgenic wheat (Triticum aestivum L.) with improved insect resistance by the introduction of cowpea trypsin inhibitor gene. Euphytica 151:351–360. doi:10.1007/s10681-006-9157-9
Blackwood CB, Buyer JS (2004) Soil microbial communities associated with Bt and non-Bt corn in three soils. J Environ Qual 33(3):832–836
Brusetti L, Francia P, Bertolini C, Pagliuca A, Borin S, Sorlini C, Abruzzese A, Sacchi G, Viti C, Giovannetti L, Giuntini E, Bazzicalupo M, Daffonchio D (2005) Bacterial communities associated with the rhizosphere of transgenic Bt 176 maize (Zea mays) and its non transgenic counterpart. Plant Soil 266:11–21. doi:10.1007/s11104-005-5399-x
Crecchio C, Stotzky G (1998) Insecticidal activity and biodegradation of the toxin from Bacillus thuringiensis subsp. Kurstaki bound to humic acids from soil. Soil Biol Biochem 30:463–470. doi:10.1016/S0038-0717(97)00147-8
Deng SD, Xu J, Zhang QW, Zhou SW, Xu GJ (2003) Resistance of transgenic Bt cotton to the cotton bollworm in cotton field in Hubei Province. Acta Entomol Sin 46(5):584–590
Donegan KK, Palm CJ, Fieland VJ, Porteous LA, Ganio LM, Schaller DL, Bucao LQ, Seidler RJ (1995) Changes in levels, species and DNA fingerprints of soil microorganisms associated with cotton expressing the Bacillus thuringiensis var. kurstaki endotoxin. Appl Soil Ecol 2:111–124. doi:10.1016/0929-1393(94)00043-7
Dubelman S, Ayden BR, Bader BM, Brown CR, Jiang C, Vlachos D (2005) Cry1Ab protein does not persist in soil after three years of sustained Bt corn use. Environ Entomol 34:915–921
Federici B (1998) Broadscale use of pest-killing plants to be true test. Calif Agric 52:14–20
Ferreira LHPL, Molina JC, Brasil C, Andrade G (2003) Evaluation of Bacillus thuringiensis bioinsecticidal protein effects on soil microorganism. Plant Soil 256:161–168. doi:10.1023/A:1026256700237
Guo SD, Cui H, Xia L, Wu D, Ni W, Zhang Z, Zhang B, Xu Y (1999) Development of bivalent insect-resistant transgenic cotton plants. Sci Agric Sin 32(4):1–7
Hails RS (2000) Genetically modified plants—the debate continues. Trends Ecol Evol 15:14–18. doi:10.1016/S0169-5347(99)01751-6
Hansen Jesse LC, Obrycki JJ (2000) Field deposition of Bt transgenic corn pollen: lethal effects on the monarch butterfly. Oecologia 125:241–248. doi:10.1007/s004420000502
Head G, Surber JB, Watson JA, Martin JW, Duan JJ (2002) No detection of Cry1Ac protein in soil after multiple years of transgenic Bt cotton (Bollgerd) use. Environ Entomol 31:30–36
Icoz I, Stotzky G (2007) Cry3Bb1 protein from Bacillus thuringiensis in root exudates and biomass of transgenic corn does not persist in soil. Transgenic Res. doi:10.1007/s11248-007-9133-8
Icoz I, Saxena D, Andow DA, Zwahlen C, Stotzky G (2008) Microbial populations and enzyme activities in soil in situ under transgenic corn expressing Cry proteins from Bacillus thuringiensis. J Environ Qual 37:647–662. doi:10.2134/jeq2007.0352
James C (2007) Global status of commercialized biotech/GM crops: 2007. ISAAA Brief No. 37. ISAAA, Ithaca, New York
Li FD, Yu ZN, He SJ (1996) Experimental techniques in agricultural microbiology. Chinese Agricultural Press, Beijing, p 318
Liu XX, Zhang QW, Zhao JZ, Li JC, Xu BL, Ma XM (2005) Effects of Bt transgenic cotton lines on the cotton bollworm parasitoid Microplitis mediator in the laboratory. Biol Control 35:134–141. doi:10.1016/j.biocontrol.2005.08.006
Llewellyn D, Cousins Y, Mathews A, Hartweck L, Lyon B (1994) Expression of Bacillus thuringiensis insecticidal protein genes in transgenic crop plants. Agric Ecosyst Environ 49:85–93. doi:10.1016/0167-8809(94)90026-4
Losey JE, Rayor LS, Carter ME (1999) Transgenic pollen harms monarch larvae. Nature 399:214. doi:10.1038/20338
Maloney PE, Van Bruggen AHC, Hu S (1997) Bacterial community structure in relation to the carbon environment in lettuce and tomato rhizosphere and in bulk soil. Microb Ecol 34:109–117. doi:10.1007/s002489900040
Mansouri H, Petit A, Oger P, Dessaux Y (2002) Engineered rhizosphere: the trophic bias generated by opine-producing plants is independent of the opine type, the soil origin, and the plant species. Appl Environ Microbiol 68:2562–2566. doi:10.1128/AEM.68.5.2562-2566.2002
Mascarenhas VJ, Luttrell RG (1997) Combined effect of sublethal exposure to cotton expressing the endotoxin protein of Bacillus thuringiensis and natural enemies on survival of bollworm (Lepidoptera: Noctuidae) larvae. Environ Entomol 26:939–945
Muchaonyerwa P, Waladde S, Nyamugafata P, Mpepereki S, Ristori GG (2005) Persistence and impact on microorganisms of Bacillus thuringiensis proteins in some Zimbabwean soils. Plant Soil 266:41–46. doi:10.1007/s11104-005-5979-9
Neal JL Jr, Atkinson TG, Larson RI (1970) Changes in the rhizosphere microflora of spring wheat induced by disomic substitution of a chromosome. Can J Microbiol 16(3):153–158
Neal JL Jr, Larson RI, Atkinson TG (1973) Changes in rhizosphere populations of selected physiological groups of bacteria related to substitution of specific pairs of chromosomes in spring wheat. Plant Soil 39:209–212. doi:10.1007/BF00018061
Oger P, Petit A, Dessaux Y (1997) Genetically engineered plants producing opines alter their biological environment. Nat Biotechnol 15:369–372. doi:10.1038/nbt0497-369
Oger P, Mansouri H, Dessaux Y (2000) Effect of crop rotation and soil cover on alteration of the soil microflora generated by the culture of transgenic plants producing opines. Mol Ecol 9:881–890. doi:10.1046/j.1365-294x.2000.00940.x
Petras SF, Casida LE Jr (1985) Survival of Bacillus thuringiensis spores in the soil. Appl Environ Microbiol 50:28–35
Rui YK, Yi GX, Zhao J, Wang BM, Li ZH, Zhai ZX, He ZP (2005) Changes of Bt toxin in the rhizosphere of transgenic Bt cotton and its influence on soil functional bacteria. World J Microbiol Biotechnol 21:1279–1284. doi:10.1007/s11274-005-2303-z
Savka MA, Farrand SK (1997) Modification of rhizobacterial populations by engineering bacterium utilisation of a novel plant-produced resource. Nat Biotechnol 15:363–368. doi:10.1038/nbt0497-363
Saxena D, Stotzky G (2000) Insecticidal toxin from Bacillus thuringiensis is released from roots of transgenic Bt corn in vitro and in situ. FEMS Microbiol Ecol 33:35–39. doi:10.1111/j.1574-6941.2000.tb00724.x
Saxena D, Stotzky G (2001) Bacillus thuringiensis (Bt) toxin released from root exudates and biomass of Bt corn has no apparent effect on earthworms, nematodes, protozoa, bacteria, and fungi in soil. Soil Biol Biochem 33:1225–1230. doi:10.1016/S0038-0717(01)00027-X
Saxena D, Stotzky G (2002) Bt toxin is not taken up from soil or hydroponic culture by corn, carrot, radish, or turnip. Plant Soil 239:165–172. doi:10.1023/A:1015057509357
Saxena D, Flores S, Stotzky G (1999) Insecticidal toxin in root exudates from Bt corn. Nature 402:480
Saxena D, Flores S, Stotzky G (2002a) Vertical movement in soil of insecticidal Cry1Ab protein from Bacillus thuringiensis. Soil Biol Biochem 34:111–120. doi:10.1016/S0038-0717(01)00193-6
Saxena D, Flores S, Stotzky G (2002b) Bt toxin is released in root exudates from 12 transgenic corn hybrids representing three transformation events. Soil Biol Biochem 34:133–137. doi:10.1016/S0038-0717(01)00161-4
Shelton AM, Zhao JZ, Roush RT (2002) Economic, ecological, food safety, and social consequences of the deployment of Bt transgenic plants. Annu Rev Entomol 47:845–881. doi:10.1146/annurev.ento.47.091201.145309
Stotzky G (2000) Persistence and biological activity in soil of insecticidal proteins from Bacillus thuringiensis and of bacterial DNA bound on clays and humic acids. J Environ Qual 29:691–705
Stotzky G (2002) Release, persistence, and biological activity in soil of insecticidal proteins from Bacillus thuringiensis. In: Letourneau DK, Burrows BE (eds) Genetically engineered organisms: assessing environmental and human health effects. CRC Press, Boca Raton, FL, pp 187–222
Stotzky G (2005) Persistence and biological activity in soil of the insecticidal proteins from Bacillus thuringiensis, especially from transgenic plants. Plant Soil 266:77–89. doi:10.1007/s11104-005-5945-6
Tabashnik BE (1994) Evolution of resistance to Bacillus thuringiensis. Annu Rev Entomol 39:47–79. doi:10.1146/annurev.en.39.010194.000403
Tapp H, Stotzky G (1995) Dot blot enzyme-linked immunosorbent assay for monitoring the fate of insecticidal toxins from Bacillus thuringiensis in soil. Appl Environ Microbiol 61:602–609
Tapp H, Stotzky G (1998) Persistence of insecticidal toxin from Bacillus thuringiensis subsp. Kurstaki in soil. Soil Biol Biochem 30:471–476. doi:10.1016/S0038-0717(97)00148-X
Visser S, Parkinson D (1992) Soil biological criteria as indicators of soil quality: soil microorganisms. Am J Altern Agric 7:33–37
Waage JK (1996) Integrated pest management and biotechnology: an analysis of their potential for integration. In: Persley GJ (ed) Biotechnology and integrated pest management. CAB International, Oxon, UK, p 3660
Williamson E (1992) Environmental risks from the release of genetically modified organisms (GMOS)—the need for molecular ecology. Mol Ecol 1:3–8. doi:10.1111/j.1365-294X.1992.tb00149.x
Xu GH, Zheng HY (1986) Handbook of analytical method on soil microorganism. Agricultural Press, Beijing, p 314
Yan WD, Shi WM, Li BH, Zhang M (2007) Overexpression of a foreign Bt gene in cotton affects the low-molecular-weight components in root exudates. Pedosphere 17(3):324–330. doi:10.1016/S1002-0160(07)60039-3
Zhang JH, Wang CZ, Qin JD, Guo SD (2004) Feeding behaviour of Helicoverpa armigera larvae on insect-resistance transgenic cotton and non-transgenic cotton. J Appl Entomol 128:218–225. doi:10.1111/j.1439-0418.2004.00853.x
Zhao JZ, Zhao KJ, Lu MG, Fan XL, Guo SD (1998) Interactions between transgenic Bt cotton and Helicoverpa armigera in North China. Sci Agric Sin 31(5):1–6
Zwahlen C, Hilbeck A, Gugerli P, Nentwig W (2003) Degradation of the Cry1Ab protein within transgenic Bacillus thuringiensis corn tissue in the field. Mol Ecol 12:765–775. doi:10.1046/j.1365-294X.2003.01767.x
Acknowledgments
We are grateful to Jiancheng Li (Plant Protection Institute of Hebei Academy of Agricultural and Forestry Sciences) for providing the experimental fields and assisting with soil sampling. We thank Yali Fu and Guozhong Zhao (Shijiazhuang Academy of Agricultural Sciences) for providing seeds of the two cotton cultivars (SGK321 and Shiyuan321). We also thank Professor Reddy Palli (Department of Entomology, University of Kentucky) for paper amending. This research was supported by “973” project: “Basic research on outbreak mechanism and sustainable management for major agricultural pest insects” (No. 2006CB102006).
Author information
Authors and Affiliations
Corresponding authors
Rights and permissions
About this article
Cite this article
Hu, HY., Liu, XX., Zhao, ZW. et al. Effects of repeated cultivation of transgenic Bt cotton on functional bacterial populations in rhizosphere soil. World J Microbiol Biotechnol 25, 357–366 (2009). https://doi.org/10.1007/s11274-008-9899-8
Received:
Accepted:
Published:
Issue Date:
DOI: https://doi.org/10.1007/s11274-008-9899-8


