Abstract
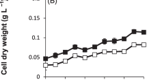
The green microalga Chlorella zofingiensis can produce the ketocarotenoid astaxanthin under heterotrophic culture conditions. Here we report the growth-associated biosynthesis of astaxanthin in this biotechnologically important alga. With glucose as sole carbon and energy source, C. zofinginesis grew fast in the dark with rapid exhaustion of nitrogen and carbon sources from media, leading to a high specific growth rate (0.034 h−1). Cultures started at a cell concentration of about 3.4 × 109 cells l−1 reached, after 6 days, standing biomass values of 1.6 × 1011 cells or 8.5 g dry weight l−1. Surprisingly, the biosynthesis of astaxanthin was found to start at early exponential phase, independent of cessation of cell division. A general trend was observed that the culture conditions benefiting cell growth also benefited astaxanthin accumulation, indicating that astaxanthin was a growth-associated product in this alga. The maximum cell dry biomass and astaxanthin yield were 11.75 g l−1 and 11.14 mg l−1 (about 1 mg g−1), simultaneously obtained in the fed-batch culture with a combined glucose–nitrate mixture addition, which were the highest ever reported in dark-heterotrophic algal cultures. The possible reasons why dark-heterotrophic C. zofingiensis could produce astaxanthin during the course of cell growth were discussed.




Similar content being viewed by others
Explore related subjects
Discover the latest articles and news from researchers in related subjects, suggested using machine learning.References
Bar E, Rise M, Vishkautsan M, Arad SM (1995) Pigments and structural changes in Chlorella zofingiensis upon light and nitrogen stress. J Plant Physiol 146:527–534
Baroli I, Do AD, Yamane T, Niyogi KK (2003) Zeaxanthin accumulation in the absence of a functional xanthophyll cycle protects Chlamydomonas reinhardtii from photooxidative stress. Plant Cell 15:992–1008
Bobkova TS (1965) Carotenoid pigments of mycobacteria and yeasts. Mikrobiologiya (English translation) 34:229–233
Boussiba S (2000) Carotenogenesis in the green alga Haematococcus pluvialis: Cellular physiology and stress response. Physiol Plantarum 108:111–117
Boussiba S, Bing W, Zarka A, Yuan JP, Chen F (1999) Changes in pigment profiles of Haematococcus pluvialis during exposure to environmental stress. Biotechnol Lett 21:601–604
Chen F (1996) High cell density culture of microalgae in heterotrophic growth. Trends Biotechnol 14:421–426
Chen F, Chen H, Gong XD (1997) Mixotrophic and heterotrophic growth of Haematococcus pluvialis and rheological behaviour of the cell suspensions. Bioresource Technol 62:19–24
Cheng CL, Acedo GN, Cristinsin M, Conling MA (1992) Sucrose mimics the light induction of Arabidopsis nitrate reductase gene transcription. Proc Natl Acad Sci USA 89:1861–1864
Cunningham Jr FX, Gantt E (1998) Genes and enzymes of carotenoid biosynthesis in plants. Annu Rev Plant Physiol Plant Mol Biol 49:557–583
De Angeli A, Monachello D, Ephritikhine G, Frachisse JM, Thomine S, Gambale F, Barbier-Brygoo H (2006) The nitrate/proton antiporter AtCLCa mediates nitrate accumulation in plant vacuoles. Nature 442:939–942
Del Campo JA, Rodríguez H, Moreno J, Vargas MÁ, Rivas J, Guerrero MG (2004) Accumulation of astaxanthin and lutein in Chlorella zofingiensis (Chlorophyta). Appl Microbiol Biotechnol 64:848–854
Fang TJ, Cheng YS (1993) Improvement of astaxanthin production by Phaffia rhodozyma through mutation and optimization of culture conditions. J Ferment Bioeng 75:466–469
García-Ferris C, de los Ríos A, Ascaso C, Moreno J (1996) Correlated biochemical and ultrastructural changes in nitrogen-starved Euglena gracilis. J Phycol 32:953–963
Gong XD, Chen F (1998) Influence of medium components on astaxanthin content and production of Haematococcus pluvialis. Process Biochem 33:385–391
Guerin M, Huntley ME, Olaizola M (2003) Haematococcus astaxanthin: applications for human health and nutrition. Trends Biotechnol 21:210–216
Ip PF, Chen F (2005) Production of astaxanthin by the green microalga Chlorella zofingiensis in the dark. Process Biochem 40:733–738
Ip PF, Wong KH, Chen F (2004) Enhanced production of astaxanthin by the green microalga Chlorella zofingiensis in mixotrophic culture. Process Biochem 39:1761–1766
Klein D, Stitt M (1998) Effects of 2-deoxyglucose on the expression of rbcS and the metabolism of Chenopodium rubrum cell-suspension cultures. Planta 205:223–234
Lorenz RT, Cysewski GR (2000) Commercial potential for Haematococcus microalgae as a natural source of astaxanthin. Trends Biotechnol 18:160–167
Ma RYN, Chen F (2001) Induction of astaxanthin formation by reactive oxygen species in mixotrophic culture of Chlorococcum sp. Biotechnol Lett 23:519–523
Margalith PZ (1999) Production of ketocarotenoids by microalgae. Appl Microbiol Biotechnol 51:431–438
Miller GL (1959) Use of dinitrosalicylic acid reagent for determination of reducing sugar. Anal Chem 31:426–429
Orosa M, Torres E, Fidalgo P, Abald J (2000) Production and analysis of secondary carotenoids in green algae. J Appl Phycol 12:553–556
Rise M, Cohen E, Vishkautsan M, Cojocaru M, Gittlieb HE, Arad SM (1994) Accumulation of secondary carotenoids in Chlorella zofingiensis. J Plant Physiol 144:287–292
Ryu JY, Song JY, Lee JM, Jeong SW, Chow WS, Choi SB, Pogson BJ, Park YI (2004) Glucose-induced expression of carotenoid biosynthesis genes in the dark is mediated by cytosolic pH in the Cyanobacterium Synechocystis sp. PCC 6803. J Biol Chem 279:25320–25325
Schroeder WA, Johnson EA (1995) Carotenoids protect Phaffia rhodozyma against singlet oxygen damage. J Ind Microbiol 14:502–507
Tanner W, Grünes R, Kandler O (1970) Spezifität und turnover des induzierbaren hexose-aufnahmesystems von Chlorella. Z Pflanzenphysiol 62:376–386
Vecher AS, Kulikova A (1968) Changes in polyene compounds at various of carotenoid development of Rhodotorula gracilis. Mikrobiologiya (English translation) 37:558–560
Yamane YI, Higashida K, Nakashimada Y, Kakizono T, Nishio N (1997) Influence of oxygen and glucose on primary metabolism and astaxanthin production by Phaffia rhodozyma in batch and fed-batch cultures: kinetic and stoichiometric analysis. Appl Environ Microbiol 63:4471–4478
Yuan JP, Chen F (2001) Indirect photometric ion chromatographic analysis of anions in Haematococcus pluvialis culture media. Biotechnol Lett 23:757–760
Zhang DH, Lee YK (2001) Two-step process for ketocarotenoid production by a green alga, Chlorococcum sp. Strain MA-1. Appl Microbiol Biotechnol 55:537–540
Acknowledgements
This work was supported by a grant from the Research Grants Council of Hong Kong, the CRCG and the Outstanding Young Researcher Award, and the Outstanding Research Student Supervisor Award of the University of Hong Kong, the Sci-tech Development Grant of Shandong and the Frontier Research Grant of the SCSIO.
Author information
Authors and Affiliations
Corresponding author
Rights and permissions
About this article
Cite this article
Wang, Y., Peng, J. Growth-associated biosynthesis of astaxanthin in heterotrophic Chlorella zofingiensis (Chlorophyta). World J Microbiol Biotechnol 24, 1915–1922 (2008). https://doi.org/10.1007/s11274-008-9692-8
Received:
Accepted:
Published:
Issue Date:
DOI: https://doi.org/10.1007/s11274-008-9692-8

