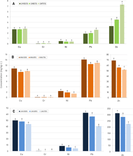
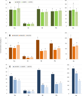
Abstract
Soil amendments can be an effective and low-cost treatment to reduce metal bioavailability of contaminated dredged sediments disposed on land. The effect of green waste compost addition on Cu, Cr, Ni, Pb, and Zn extractability and bioaccumulation in lettuce was studied in a greenhouse experiment, using dredged sediments from different sites of the Matanza-Riachuelo River (Argentina). Moreover, the effect of compost addition in lettuce morphological and biochemical variables was analyzed. The treatments were prepared by adding 15% and 30% of compost to the sediments (w/w), and untreated sediments were used as controls. Metal concentrations in lettuce shoots and metals extracted by DTPA correlated significantly. In the site where the land use is mainly agriculture and cattle grazing, compost addition did not affect the accumulation of metals in lettuce. Conversely, in site where the land use is peri-urban and industrial, compost addition decreased Cr, Ni, Pb, and Zn concentrations in lettuce, similar for both treatments. In particular, in the basin’s more industrialized and densely populated site, the addition of 30% compost to the sediment was more effective in reducing the metals bioaccumulation and improving morphological variables and chlorophyll content in lettuce shoots. The results presented in this study show that the addition of soil amendments, particularly of 30% of green waste compost, can improve the physicochemical properties enabling, for instance, a controlled disposal scheme.




Similar content being viewed by others
Data Availability
The datasets generated during and/or analyzed during the current study are available from the corresponding author on reasonable request.
References
Adejumo, S. A., Ogundiran, M. B., & Togun, A. O. (2018). Soil amendment with compost and crop growth stages influenced heavy metal uptake and distribution in maize crop grown on lead-acid battery waste contaminated soil. J Environ Chem Eng, 6, 4809–4819. https://doi.org/10.1016/j.jece.2018.07.027.
Adriano, D. C., Wenzel, W. W., Vangronsveld, J., & Bolan, N. S. (2004). Role of assisted natural remediation in environmental cleanup. Geoderma, 122, 121–142. https://doi.org/10.1016/j.geoderma.2004.01.003.
Akcil, A., Erust, C., Ozdemiroglu, S., Fonti, V., & Beolchini, F. (2015). A review of approaches and techniques used in aquatic contaminated sediments : Metal removal and stabilization by chemical and biotechnological processes. J Clean Prod, 86, 24–36. https://doi.org/10.1016/j.jclepro.2014.08.009.
Bolan, N. S., & Duraisamy, V. (2003). Role of inorganic and organic soil amendments on immobilisation and phytoavailability of heavy metals : A review involving specific case studies. Aust J Soil Res, 41, 533–555.
Bursztyn Fuentes, A. L., José, C., de los Ríos, A., do Carmo, L. I., de Iorio, A. F., & Rendina, A. E. (2018). Phytoextraction of heavy metals from a multiply contaminated dredged sediment by chicory (Cichorium intybus L.) and castor bean (Ricinus communis L.) enhanced with EDTA, NTA, and citric acid application. Int J Phytoremediation, 20. https://doi.org/10.1080/15226514.2018.1524826.
Clemente, R. (2006). A remediation strategy based on active phytoremediation followed by natural attenuation in a soilcontaminated by pyrite waste. Environ Pollut, 143(3), 397–406. https://doi.org/10.1016/j.envpol.2005.12.011.
Clijsters, I., & Van Assche, F. (1985). Inhibition of photosynthesis by heavy metals II. Photosynth Res, 7, 31–40.
Cramer, G. R., Epstein, E., & Lauchli, A. (1990). Effects of sodium, potassium and calcium on salt-stressed barley. I. Growth analysis. Physiol Plant, 80, 83–88.
Davies, B. (1974). Loss-on-ignition as an estimate of soil organic matter. Soil Sci Soc Am Proc, 38, 150–151. https://doi.org/10.2136/sssaj1974.03615995003800010046x.
Davis, R. D. (1979). Uptake of copper, nickel and zinc by crops growing in contaminated soils. J Sci Food Agric, 30, 937–947.
Derakhshan, Z., Myung, N., & Jung, C. (2018). Remediation of soils contaminated with heavy metals with an emphasis on immobilization technology. Environ Geochem Health, 40, 927–953. https://doi.org/10.1007/s10653-017-9964-z.
Dhamodharan, A., Abinandan, S., Aravind, U., Ganapathy, G. P., & Shanthakumar, S. (2019). Distribution of metal contamination and risk indices assessment of surface sediments from Cooum River, Chennai, India. Int J Environ Res, 1–5. https://doi.org/10.1007/s41742-019-00222-8.
Gee, G. W., & Bauder, J. W. (1986). Particle-size analysis. In A. Klute (Ed.), Methods of Soil Analysis. Part I (pp. 383–421). American Society of Agronomy and Academic Press.
Gomes, S., de Lima, S. M., de Souza, A. V., Nascimento, J., & Nascimento, E. (2014). Chloroplast pigments as indicators of lead stress. Eng Agríc Jaboticabal, 34, 877–884.
Hattab, N., Motelica-Heino, M., Faure, O., & Bouchardon, J. L. (2015). Effect of fresh and mature organic amendments on the phytoremediation of technosols contaminated with high concentrations of trace elements. J Environ Manag, 159, 37–47. https://doi.org/10.1016/j.jenvman.2015.05.012.
HWAA. (1993). Federal hazardous waste Act of Argentina 24,051, 86 Regulatory Decree No 831/93, Annex II. Available in: https://www.argentina.gob.ar/normativa/nacional/decreto-831-1993-12830/normas-modifican.
Jean, A., & Folefack, J. (2009). The substitution of mineral fertilizers by compost from household waste in Cameroon: Economic analysis with a partial equilibrium model. Waste Manag Res. https://doi.org/10.1177/0734242X08090403.
Jiménez-morales, V. D., Trejo-téllez, L. I., Gómez-merino, F. C., & Volke-haller, V. H. (2014). Simulation models of lettuce growth in response to organic and mineral fertilization. Rev Fitotec Mex, 37, 249–254.
Jordao, C. P., Nascentes, C. C., Cecon, P. R., Fontes, R. L. F., & Pereira, J. L. (2006). Heavy metal availability in soil amended with composted urban solid wastes. Environ Monit Assess, 112, 309–326. https://doi.org/10.1007/s10661-006-1072-y.
Kaschl, A., El-Nahhal, Y., Safi, J., Chen, Y., Römheld, V., & Chen, Y. (2001). Trace metal leaching after municipal solid waste compost application to a sandy soil in the Gaza Strip. 6th International Conference Biogeochemistry Trace Elements (p. 164).
Knox, A., Seaman, J., Mench, M., & Vangronsveld, J. (2000). Remediation of metal-and radionuclides-contaminated soils by in situ stabilization techniques. In Environmental Restoration of Metals-Contaminated Soils (pp. 21–60). Lewis.
Lindsay, W. L., & Norvell, W. A. (1978). Development of a DTPA Soil Test for Zinc, Iron, Manganese, and Copper. Soil Sci Soc Am J, 42, 421–428.
Magdaleno, A., Mendelson, A., Fabrizio, A., Iorio, D., Rendina, A., Moretton, J., (2008). Genotoxicity of leachates from highly polluted lowland river sediments destined for disposal in landfill. Waste management (New York, N.Y.). 28. 2134-9. https://doi.org/10.1016/j.wasman.2007.09.027
Mahmoud, M., Ahmed, M., Mazen, M. B., & Nafady, N. A. (2017). Bioavailability of cadmium and nickel to Daucus carota L . and Corchorus olitorius L. treated by compost and microorganisms. Soil Environ, 36, 1–12. https://doi.org/10.25252/SE/17/41160.
Masarirambi, M. T., Hlawe, M. M., Oseni, O. T., Thokozile, E., & Fax, T. (2010). Effects of organic fertilizers on growth , yield , quality and sensory evaluation of red lettuce (Lactuca sativa L.) ‘ Veneza Roxa ’. Agric Biol J N Am, 1319–1324. https://doi.org/10.5251/abjna.2010.1.6.1319.1324.
McLean, E. O. (1982). Soil pH and lime requirement. In A. Page, R. H. Miller, & D. R. Keeney (Eds.), Methods of soil analysis. Part 2. Chemical and Microbiological Properties (pp. 199–224). American Society of Agronomy, Soil Science Society of America.
Miller, R. O. (1998). Nitric-perchloric wet acid digestion in an open vessel. In Y. P. Kalra (Ed.), Handbook of Reference Methods for Plant Analysis (pp. 57–62). CRC Press.
Niroshika, K., Shaheen, S. M., & Chen, S. S. (2020). Soil amendments for immobilization of potentially toxic elements in contaminated soils: A critical review. Environ Int, 134, 1–29. https://doi.org/10.1016/j.envint.2019.105046.
Norén, A., Karlfeldt, K., Strömvall, A., Rauch, S., & Andersson-sköld, Y. (2020). Integrated assessment of management strategies for metal-contaminated dredged sediments – What are the best approaches for ports, marinas and waterways? Sci Total Environ, 716, 1–14. https://doi.org/10.1016/j.scitotenv.2019.135510.
OECD. (2006). Test No. 208: Terrestrial plant test: seedling emergence and seedling growth test. In OECD guidelines for the testing of chemicals, Section 2. OECD Publishing. https://doi.org/10.1787/9789264070066-en.
Peng, J., Song, Y., Yuan, P., Cui, X., & Qiu, G. (2009). The remediation of heavy metals contaminated sediment. Journal of Hazardous Materials., 161, 633–640. https://doi.org/10.1016/j.jhazmat.2008.04.061.
Peng, W., Li, X., Xiao, S., & Fan, W. (2018). Review of remediation technologies for sediments contaminated by heavy metals. J Soils Sediments, 18, 1701–1719. https://doi.org/10.1007/s11368-018-1921-7.
Rebechini, H. M., & Hanzel, Y. (1974). Lead-induced ultrastructural changes in ch1oroplasts of the hydrophyte, Ceratophyllum demersum. Z Pflanzenphysiol, 73, 377–386. https://doi.org/10.1016/S0044-328X(74)80106-6.
Rendina, A., & De Iorio, A. F. (2012). Heavy metal partitioning in bottom sediments of the Matanza-Riachuelo River and main tributary streams heavy metal partitioning in bottom sediments of the Matanza-Riachuelo River and main. Soil Sediment Contam An Int J, 21, 62–81. https://doi.org/10.1080/15320383.2012.636776.
Rendina, A., Barros, M. J., Iorio, A. .F. . De., Rendina, A., Barros, J., & Iorio, A. .F. . De. (2015). Changes in the speciation, partitioning and phytoavailability of chromium induced by organic soil amendments. Chemical Speciation & Bioavailability, 23(1), 53–60. https://doi.org/10.3184/095422911X12971977268431.
Rhoades, J. D. (1982a). Soluble salts. In A. L. Page, R. H. Miller, & D. R. Keeney (Eds.), Methods of Soil Analysis. Part 2. Chemical and Microbiological Properties (pp. 167–179). American Society of Agronomy.
Rhoades, J. D. (1982b). Cation exchange capacity. In A. L. Page, R. H. Miller, & D. R. Keeney (Eds.), Methods of Soil Analysis. Part 2. Chemical and Microbiological Properties (pp. 167–179). American Society of Agronomy.
Rotondo, R., Firpo, I. T., Ferreras, L., Toresani, S., Gómez, S. F. E., Agrarias, F. D. C., Nacional, U., Cc, D. R., & De Cultivos, S. S. (2009). Efecto de la aplicación de enmiendas orgánicas y fertilizante nitrogenado sobre propiedades edáficas y productividad en cultivos hortícolas. Horticultura, 28, 18–25.
Simon, L. (2005). Stabilization of metals in acidic mine spoil with amendments and red fescue (Festuca rubra L.) growth. Environ Geochem Health, 27, 289–300. https://doi.org/10.1007/s10653-004-5977-5.
Singh, S. P., Tack, F. M. G., & Verloo, M. G. (2015). Extractability and bioavailability of heavy metals in surface soils derived from dredged sediments. Chem Speciat Bioavailab, 8, 105–110.
Sitko, K., Rusinowski, S., Corso, M., Hermans, C., & Verbruggen, N. (2019). Toxic effects of Cd and Zn on the photosynthetic apparatus of the Arabidopsis halleri and Arabidopsis arenosa pseudo-metallophytes. Front Plant Sci, 10, 1–13. https://doi.org/10.3389/fpls.2019.00748.
Smith, S. R. (2009). Review article A critical review of the bioavailability and impacts of heavy metals in municipal solid waste composts compared to sewage sludge. Environ Int, 35, 142–156. https://doi.org/10.1016/j.envint.2008.06.009.
Tambasco, G., Sauvé, S., Cook, N., Mcbride, M., & Hendershot, W. (2000). Phytoavailability of Cu and Zn to lettuce (Lactuca sativa) in contaminated urban soils. Canadian Journal of Soil Science. 80(2), 309–317. https://doi.org/10.4141/S99-032.
Taylor, P., Liang, J., & Schoenau, J. J. (2006). Development of resin membranes as a sensitive indicator of heavy metal toxicity in the soil environment. Int J Environ Anal Chem, 59, 265–275. https://doi.org/10.1080/03067319508041333.
USEPA (1998). Contaminated sediment management strategy. Office of the Federal Register, National Archives and Records Administration. Federal Register 63(87).
Wang, R., Shafi, M., Ma, J., Zhong, B., Guo, J., Hu, X., Weijie Xu, W., Yang, Y., Ruan, Z., Wang, Y., Ye, Z., & Liu, D. (2018). Effect of amendments on contaminated soil of multiple heavy metals and accumulation of heavy metals in plants. Environ Sci Pollut Res, 25, 28695–28704.
Zeng, G., Wan, J., Huang, D., Hu, L., & Huang, C. (2017). Precipitation , adsorption and rhizosphere effect : The mechanisms for phosphate-induced Pb immobilization in soils — A review. J Hazard Mater, 339, 354–367. https://doi.org/10.1016/j.jhazmat.2017.05.038.
Zhang, M. K., Liu, Z. Y., & Wang, H. (2010). Use of single extraction methods to predict bioavailability of heavy metals in polluted soils to rice. Commun Soil Sci Plant Anal, 41, 820–831.
Acknowledgements
Luis Ignacio Do Carmo acknowledges the master’s scholarship UBACyT (2015–1018).
Funding
This study was supported by the University Buenos Aires in the frame of project UBACyT 20020130100715BA (2014-2017).
Author information
Authors and Affiliations
Contributions
All authors contributed to the study conception and design. Material preparation, data collection, and analysis were performed by Luis Ignacio do Carmo, Amalia Lara Bursztyn Fuentes, and Alicia Elena Rendina. The first draft of the manuscript was written by Luis Ignacio do Carmo. Alejandra de los Ríos and Alicia Fabrizio de Iorio commented on previous versions of the manuscript. All authors read and approved the final manuscript.
Corresponding author
Ethics declarations
Ethics Approval and Consent to Participate
Not applicable
Consent for Publication
Not applicable
Competing Interests
The authors declare no competing interests.
Additional information
Publisher’s Note
Springer Nature remains neutral with regard to jurisdictional claims in published maps and institutional affiliations.
Rights and permissions
About this article
Cite this article
do Carmo, L.I., Bursztyn Fuentes, A.L., de los Ríos, A. et al. Effects of Green Waste Compost Addition to Dredged Sediments of the Matanza-Riachuelo River (Argentina) on Heavy Metal Extractability and Bioaccumulation in Lettuce (Lactuca sativa). Water Air Soil Pollut 232, 200 (2021). https://doi.org/10.1007/s11270-021-05161-9
Received:
Accepted:
Published:
DOI: https://doi.org/10.1007/s11270-021-05161-9


