Abstract
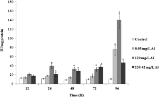
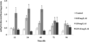
Although aluminum (Al) is considered innocuous to living beings, exposure to high concentrations can elicit damage. Al has been found to cause liver pathologies in various animal models. Its mechanisms of toxicity are unclear; presumably, it interacts with protein sulfhydryl groups and promotes reactive oxygen species formation causing oxidative stress. Lipid peroxidation, protein carbonyl content, and activity of superoxide dismutase, catalase, and caspase-3 were determined in liver of Cyprinus carpio exposed to 0.05, 120, and 239.42 mg Al L−1 for 12, 24, 48, 72, and 96 h. Al induced increased lipid peroxidation and protein carbonyl content as well as changes in enzymatic activity, indicating it elicits oxidative stress and apoptosis in common carp liver.





Similar content being viewed by others
References
Abubakar, M. G., Taylor, A., & Ferns, G. A. (2003). Aluminium administration is associated with enhanced hepatic oxidant stress that may be offset by dietary vitamin E in the rat. International Journal of Experimental Pathology, 84, 49–54.
Andrén, C. M., & Rydin, E. (2012). Toxicity of inorganic aluminium at spring snowmelt-in-stream bioassays with brown trout (Salmo trutta L.). Science of the Total Environment, 437, 422–432.
Atli, G., Alptekin, Ö., Tükel, S., & Canli, M. (2006). Response of catalase activity to Ag+, Cd2+, Cr6+, Cu2+ and Zn2+ in five tissues of freshwater fish Oreochromis niloticus. Comparative Biochemistry and Physiology, 143, 218–224.
Bagnyukova, T. V., Chahrak, O. I., & Lushchak, V. I. (2006). Coordinated response of goldfish antioxidant defenses to environmental stress. Aquatic Toxicology, 78, 325–331.
Boesterli, U. A. (2007). Mechanistic toxicology (pp. 191–198). Boca Raton: CRC Press.
Bondy, S. C., & Cambell, A. (2001). Oxidative and inflammatory properties of aluminium: possible relevance in Alzheimer’s disease. In C. Exley (Ed.), Aluminium and Alzheimer’s disease. The science that describes the link (pp. 311–321). Amsterdam: Elsevier.
Bradford, M. M. (1976). A rapid and sensitive method for the quantitation of microgram quantities of protein utilizing the principle of protein-dye binding. Analytical Biochemistry, 72, 248–254.
Buege, J. A., & Aust, S. D. (1979). Microsomal lipid peroxidation. Methods in Enzymology, 52, 302–310.
Camargo, M. M., Fernandes, M. N., & Martinez, C. B. (2009). How aluminium exposure promotes osmoregulatory disturbances in the neotropical freshwater fish Prochilus lineatus. Aquatic Toxicology, 94, 40–46.
Chunsheng, L., Ke, Y., Shi, X., Wang, J., Lam, P. K. S., Wu, R. S. S., et al. (2007). Induction of stress and apoptosis by PFOS and PFOA in primary cultured hepatocytes of freshwater tilapia (Oreochromis niloticus). Aquatic Toxicology, 82, 135–143.
Fernández-Dávila, M. L., Razo-Estrada, A. C., García-Medina, S., Gómez-Oliván, L. M., Piñón-López, M. J., Ibarra, R. G., et al. (2012). Aluminum-induced oxidative stress and neurotoxicity in grass carp (Cyprinidae-Ctenopharingodon idella). Ecotoxicology and Environmental Safety, 76, 87–92.
Flora, S. J., Mehta, A., Satsangi, K., Kannan, G. M., & Gupta, M. (2003). Aluminum-induced oxidative stress in rat brain: response to combined administration of citric acid and HEDTA. Comparative Biochemistry and Physiology-Part C, 134, 319–328.
Galar-Martínez, M., Amaya-Chávez, A., Gómez-Oliván, L. M., Vega-López, A., Razo-Estrada, C., & García-Medina, S. (2008). Responses of three benthic organisms (Hyallela azteca, Limnodrillus hoffmeisteri and Stagnicola attenuata) to natural sediment spiked with zinc when exposed in single or multi-species test systems. Aquatic Ecosystem Health and Management, 11(4), 432–440.
Galar-Martínez, M., Gómez-Oliván, L. M., Amaya-Chávez, A., Razo-Estrada, A. C., & García-Medina, S. (2010). Oxidative stress induced on Cyprinus carpio by contaminants present in the water and sediment of Madín reservoir. Journal of Environmental Science & Health Part A, 45(2), 155–160.
García-Medina, S., Razo-Estrada, A. C., Gómez-Oliván, L. M., Amaya-Chávez, A., Madrigal-Bujaidar, E., & Galar-Martínez, M. (2010). Aluminum-induced oxidative stress in lymphocytes of common carp (Cyprinus carpio). Fish Physiology and Biochemistry, 36, 875–882.
García-Medina, S., Razo-Estrada, A. C., Galar-Martínez, M., Cortéz-Barberena, E., Gómez-Oliván, L. M., Álvarez-González, I., et al. (2011). Genotoxic and cytotoxic effects induced by aluminum in the lymphocytes of the common carp (Cyprinus carpio). Comparative Biochemistry and Physiology-Part C: Toxicology & Pharmacology, 153, 113–118.
Gupta, R. C. (2012). Aluminum. In R. C. Gupta (Ed.), Veterinary toxicology (pp. 493–498). Amsterdam: Elsevier.
Instituto Nacional de Ecología, (1989). Criterios Ecológicos de Calidad del Agua. CE-CCA-001/89. Secretaría del Medio Ambiente y Recursos Naturales, Mexico.
Jianbing, L., Jingling, R., Jing, Z., & Sumei, L. (2008). The distribution of dissolved aluminum in the Yellow and East China seas. Journal of Ocean University of China, 7, 48–54.
Kiss, T., & Hollósi, M. (2001). The interaction of aluminium with peptides and proteins. In C. Exley (Ed.), Aluminium and Alzheimer’s disease. The science that describes the link (pp. 361–392). Amsterdam: Elsevier.
Kovačević, G., Gregorović, G., Kalafatić, M., & Jaklinović, I. (2009). The effect of aluminium on the planarian Polycelis felina (Daly). Water, Air, and Soil Pollution, 196, 333–344.
Levine, R. L., Williams, J. A., Stadtman, E. R., & Shacter, E. (1994). Carbonyl assays for determination of oxidatively modified proteins. Methods in Enzymology, 233, 346–357.
Misra, H. P., & Fidovich, I. (1972). The role of superoxide anion in the autoxidation of epinephrine and a simple assay for superoxide dismutase. Journal of Biological Chemistry, 247(10), 3170–3175.
Oruc, E. O., & Usta, D. (2007). Evaluation of oxidative stress responses and neurotoxicity potential of diazinon in different tissues of Cyprinus carpio. Environmental Toxicology and Pharmacology, 23, 48–55.
Park, W. H., Han, Y. H., Kim, S. H., & Kim, S. Z. (2007). Pyrogallol, ROS generation inhibits As4.1 juxtaglomerular cells via cell cycle arrest of G2 phase and apoptosis. Toxicology, 235, 130–139.
Parvez, S., & Raisuddin, S. (2005). Protein carbonyls: novel biomarkers of exposure to oxidative stress-inducing pesticides in freshwater fish Channa punctata (Bloch). Environmental Toxicology and Pharmacology, 20, 112–117.
Prasad, M. N. V. (2001). Metals in the environment (pp. 299–311). New York: Marcel Dekker.
Radi, R., Turrens, J. F., Chand, L. Y., Bush, K. M., Carpo, J. D., & Freeman, B. A. (1991). Detection of catalase in rat heart mitochondria. Journal of Biological Chemistry, 266(32), 22028–22034.
Semedo, M., Reis-Henriques, M. A., Rey-Salgueiro, L., Oliveira, M., Delerue-Matos, C., Morais, S., et al. (2012). Metal accumulation and oxidative stress biomarkers in octopus (Octopus vulgaris) from Northwest Atlantic. Science of the Total Environment, 433, 230–237.
Shacter, E. (2000). Quantification and significance of protein oxidation in biological samples. Drug Metabolism Reviews, 32, 307–326.
Šimonovičová, M., Tamás, L., Huttová, J., & Mistrík, I. (2004). Effect of aluminium on oxidative stress related enzymes activities in barley roots. Biologia Plantarum, 48, 261–266.
Sinha, S., Mallick, S., Misra, R. K., Singh, S., Basant, A., & Gupta, A. K. (2007). Uptake and translocation of metals in Spinacia oleracea L. grown on tannery sludge-amended and contaminated soils: effect on lipid peroxidation, morpho-anatomical changes and antioxidants. Chemosphere, 67, 176–187.
Valavanidis, A., Vlahogianni, T., Dassenakis, M., & Scoullos, M. (2006). Molecular biomarkers of oxidative stress in aquatic organisms in relation to toxic environmental pollutants. Ecotoxicology and Environmental Safety, 46, 178–189.
van der Oost, R., Beyer, J., & Vermeulen, N. P. E. (2003). Fish bioaccumulation and biomarkers in environmental risk assessment: a review. Environmental Toxicology and Pharmacology, 13, 57–149.
Vlahogianni, T., Dassenakis, M., Scoullos, M. J., & Valavanidis, A. (2007). Integrated use of biomarkers (superoxide dismutase, catalase and lipid peroxidation) in mussels Mytilus galloprovincialis for assessing heavy metals’ pollution in coastal areas from the Saronikos Gulf of Greece. Marine Pollution Bulletin, 54, 1361–1371.
Wang, D., He, Y., Liang, J., Liu, P., & Zhuang, P. (2013). Distribution and source analysis of aluminum in rivers near Xi'an City, China. Environmental Monitoring and Assessment, 185, 1041–1053. doi:10.1007/s10661-012-2612-2.
Woodburn, K., Walton, R., MCrohan, C., & White, K. (2011). Accumulation and toxicity of aluminium-contaminated food in the freshwater crayfish, Pacifastacus leniusculus. Aquatic Toxicology, 105, 535–542.
Wu, J., Du, F., Zhang, P., Khan, I. A., Chen, J., & Liang, Y. (2005). Thermodynamics of the interaction of aluminum ions with DNA: implications for the biological function of aluminum. Journal of Inorganic Biochemistry, 99, 1145–1154.
Yousef, M. I. (2004). Aluminium-induced changes in hemato-biochemical parameters, lipid peroxidation and enzyme activities of male rabbits: protective role of ascorbic acid. Toxicology, 199, 47–57.
Acknowledgments
This study was made possible through support from the National Science and Technology Council (CONACyT, projects 57321 and 181541) as well as the Research and Postgraduate Division of the National Polytechnic Institute, Mexico (SIP-IPN, projects 20060186 and 200704594).
Author information
Authors and Affiliations
Corresponding author
Rights and permissions
About this article
Cite this article
Razo-Estrada, A.C., García-Medina, S., Madrigal-Bujaidar, E. et al. Aluminum-Induced Oxidative Stress and Apoptosis in Liver of the Common Carp, Cyprinus carpio . Water Air Soil Pollut 224, 1510 (2013). https://doi.org/10.1007/s11270-013-1510-8
Received:
Accepted:
Published:
DOI: https://doi.org/10.1007/s11270-013-1510-8


