Abstract
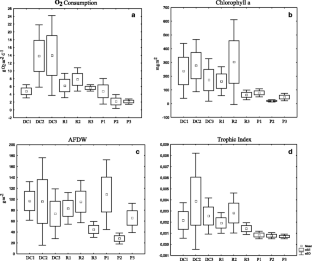
The structural features and O2 consumption of the epipelic biofilm in streams of the Pampean plain were explored. The study was conducted in three lowland streams subjected to different anthropic disturbances. Three sampling sites were selected in different sectors of these streams considering land use intensity (high, moderate, and low). Samples of the water and of the epipelic biofilm were taken seasonally. El Pescado stream is subjected to a low level of human impact and showed lower organic matter and nutrient contents than the Rodríguez and Don Carlos streams which are subjected to moderate and high levels of human impact. The biofilm composition of the three streams was represented by cyanophytes and diatoms but with different species composition and dominance; protozoans and nematodes were the characteristic heterotrophic groups in the three streams. The Rodríguez and Don Carlos streams showed the highest abundance of organisms. Multiple regression showed that O2 consumption, chlorophyll a and trophic index were significantly correlated with the oxygen demands. On the other hand, the Rodríguez and Don Carlos streams exhibited significant differences with the El Pescado stream in O2 consumption, trophic index, and chlorophyll a content. Our results demonstrated that the different biological descriptors responded to environmental variables that are influenced by the different land use intensities, being chlorophyll a, abundance of organisms, and O2 consumption the most sensitive variables to the changes water quality.





Similar content being viewed by others
References
Admiraal, W., Blanck, H., Buckert-De Jong, M., Guasch, H., Ivorra, N., Lehmann, V., et al. (1999). Short-term toxicity of zinc to microbenthic algae and bacteria in a metal polluted stream. Water Research, 33(9), 1989–1996.
American Public Health Association (APHA) (1998). Standard methods for examination of water and wastewater. American Public Health Association, American Water Works Association and Water Pollution Control Federation. 20th edn. Washington, DC.
Bauer, D. E., Conde, M. E., & Gómez, N. (2002). Phytoplankton of a small lowland stream related to water quality and hydraulic discontinuities. Archiv für Hydrobiologie, 153(3), 421–442.
Bernhard, J. M., Buck, K. R., Farmer, K. R., & Browser, S. S. (2000). The Santa Barbara basin is a symbiosis oasis. Nature, 403, 77–80.
Biggs, B. J. F. (1996). Patterns in benthic algae of streams. In R. J. Stevenson, M. L. Bothwell, & L. Lowe (Eds.), Algal ecology, freshwater benthic ecosystems. San Diego, CA: Academic Press.
Bombowna, M. (1972). Primary production in a montane river. In Z. Kajak, A. Hillbricht-Ilkowska (Eds.), Productivity problems of freshwater. Proc of the IBP-UNESCO Symposium on productivity problems of freshwater.
Bott, T. L., Brock, J. T., Dunn, C. S., Naiman, R. J., Ovink, R. W., & Petersen, R. C. (1985). Benthic community metabolism in four temperate stream systems: An interbiome comparison and evaluation of the river continuum. Hydrobiologia, 123, 3–45.
Bourasa, N. A., & Cataneo, A. (1998). Control of periphyton biomass in Laurentian streams (Québec). Journal of the North American Benthological Society, 17(4), 420–429.
Bunn, S. E., Davies, P. M., & Mosisch, T. D. (1999). Ecosystem measures of river health and their response to riparian and catchment degradation. Freshwater Biology, 41, 333–345.
Cardinale, B. J., Palmer, M. A., Swan, C. M., & Brooks, S. (2002). The influence of substrate heterogeneity on biofilm metabolism in a stream ecosystem. Ecology, 83(2), 412–422.
Claps, M. C. (1996). Structure and dynamics of epipelic algae from a plain river (Samborombón River, Buenos Aires, Argentina). Archiv für Hydrobiologie, 137(2), 251–263.
Clark, J. R., Dickson, K. L., & Cairns, J., Jr. (1979). Estimating aufwuchs biomass. In R. L. Wetzel (Ed.), Methods and measurements of periphyton communities: A review. ASTMSTP 690 (pp. 116–141). Philadelphia, PA: American Society for Testing and Materials.
Crossey, M. J., & La Point, T. W. (1988). A comparison of periphyton community structural and functional responses to heavy metals. Hydrobiologia, 162, 109–121.
Dodds, W. K., Smith, V. H., & Zander, B. (1997). Developing nutrient targets to control benthic chlorophyll levels in stream: A case study of the Clark Fork River. Water Research, 31, 1738–1750.
Fellows, C. S., Clapcott, J. E., Udy, J. W., Bunn, S. E., Harch, B. D., Smith, M. J., et al. (2006). Benthic metabolism as an indicator of stream ecosystem health. Hydrobiologia, 572, 71–87.
Fuss, C. L., & Smock, L. A. (1996). Spatial and temporal variation in microbial respiration rates in blackwater stream. Freshwater Biology, 36, 339–349.
Giorgi, A., Feijoó, C., & Tell, G. (2004). Primary producers in a Pampean stream: Temporal variation and structuring role. Biodiversity and Conservation, 00, 1–20.
Giorgi, A., & Malacalza, L. (1994). Biomass variation of microphytobenthos in a plain stream. Verhandlungen der Internationale Vereinigung für Theoretische und Angewandte Limnologie, 25, 1883–1887.
Giorgi, A., & Malacalza, L. (2002). Effect of an industrial discharge on water quality and periphyton structure in a Pampean stream. Environmental Monitoring and Assessment, 75, 107–119.
Giorgi, A., Malacalza, L., & Casco, M. A. (2003). Fitobentos en rápidos y remansos de un arroyo pampeano. Boletín de la Sociedad Argentina de Botánica, 38(1–2), 165–174.
Goldsborough, L. G., & Robinson, G. G. C. (1996). Pattern in wetlands. In R. J. Stevenson, M. L. Bothwell, & L. Lowe (Eds.), Algal ecology, freshwater benthic ecosystems. San Diego, CA: Academic.
Gómez, N. (1998). Use of epipelic diatoms for evaluation of water quality in the Matanza-Riachuelo (Argentina), a Pampean plain river. Water Research, 32(7), 2029–2034.
Gómez, N., & Licursi, M. (2001). The Pampean Diatom Index (IDP) for assessment of rivers and streams in Argentina. Aquatic Ecology, 35, 173–181.
Gómez, N., & Licursi, M. (2003). Abnormal forms in Pinnularia gibba (Bacillariophyceae) in a polluted lowland stream from Argentina. Nova Hedwigia, 77(3–4), 389–398.
Graça, M. A. S., Rodrígues Capítulo, A., Ocón, C., & Gómez, N. (2002). In situ tests for water quality assessment: A case study in Pampean rivers. Water Research, 36, 4033–4040.
Hagen, K. D., & Nelson, D. C. (1997). Use of reduced sulfur compounds by Beggiatoa spp. Enzymology and physiology of marine freshwater strains in homogeneous and gradient cultures. Applied and Environmental Microbiology, 63, 3957–3964.
Hedin, L. O. (1990). Factors controlling sediments community respiration in woodland stream ecosystem. Oykos, 57, 94–105.
Hill, B. H., Hall, R. K., Husby, P., Herlihys, A. T., & Dunne, M. (2000). Interregional comparisons of sediment microbial respiration in streams. Freshwater Biology, 44, 213–222.
Hill, B. H., Herlihy, A. T., Kaufmann, P. R., & Sinsabaugh, R. L. (1998). Sediment microbial respiration in a synoptic survey of mid-Atlantic region stream. Southwestern Naturalist, 32, 305–311.
Leland, H. V. (1995). Distribution of phytobenthos in the Yakima River basin, Washington, in relation to geology, land use, and other environmental factors. Canadian Journal of Fisheries and Aquatic Sciences, 52, 1108–1129.
Licursi, M., & Gómez, N. (2002). Benthic diatoms and some environmental conditions in three lowland streams. Annales de Limnologie, 38(2), 109–118.
Mackereth, F. J. H., Heron, J., & Talling, J. F. (1978). Water analysis: Some revised methods for limnologists. Freshwater Biological Association, Scientific Publication, 36, 120
Macluf, C. C., Claps, M. C., & Solari, L. C. (1998). Plankton of an undisturbed plain’s stream (Buenos Aires, Argentina). Verhandlungen der Internationale Vereinigung für Theoretische und Angewandte Limnologie, 26, 1057–1061.
Rasheed, M., Wild, Ch., Franke, U., & Huettel, M. (2004). Benthic photosynthesis and oxygen consumption in permeable carbonate sediments at Heron Island, Great Barrier Reef, Australia. Estuarine, Coastal and Shelf Science, 59, 139–150.
Romaní, A. M., Batturini, A., Sabater, F., & Sabater, S. (1998). Heterotrophic metabolism in a forest stream sediment: Surface versus subsurface zones. Aquatic Microbial Ecology, 16, 143–151.
Romaní, A. M., Giorgi, A., Acuña, V., & Sabater, S. (2004). The influence of substratum type and nutrient supply on biofilm organic matter utilization in streams. Limnology and Oceanography, 49(5), 1713–1721.
Sabater, S., Gregory, S. V., & Sedell, J. R. (1998). Community dynamics and metabolism of benthic algae colonizing wood and rock substrata in a forest stream. Journal of Physiology, 34, 561–567.
Sabater, S., Sabater, F., & Armengol, J. (1993). Ecología de los ríos mediterráneos. Investigación y Ciencia, 203, 72–79.
Scinto, L. J., & Reddy, K. R. (2003). Biotic and abiotic uptake of phosphorus by periphyton in a subtropical freshwater wetland. Aquatic Botany, 77, 203–222.
Solari, L. C., & Claps, M. C. (1996). Planktonic and benthic algae of a Pampean river (Argentina): Comparative analysis. Annales de Limnologie, 32(2), 89–95.
Steinman, A. D., & Lamberti, G. A. (1996). Biomass and pigments of benthic algae. In R. Hauer, & G. A. Lamberti (Eds.), Stream ecology (p. 669). California: Academic.
Tabatabai, M. A. (1974). Determination of sulphate in water samples. Sulphur Institute Journal, 10, 2.
Tolcach, E. R., & Gómez, N. (2002). The effect of translocation of microbenthic communities in a polluted lowland stream. Verhandlungen der Internationale Vereinigung für Theoretische und Angewandte Limnologie, 28, 254–258.
Velasco, J., Millan, A., Vidal-Abarca, M. R., Suarez, M. L., Guerrero, C., & Ortega, M. (2003). Macrophytic, epipelic and epilithic primary production in a semiarid Mediterranean stream. Freshwater Biology, 48, 1408–1420.
Vilches, C. S. (2005). Comparación del metabolismo en productores del arroyo Las Flores. Thesis. National University of Luján, Buenos Aires, Argentina.
Wetzel, R. G. (1996). Benthic algae and nutrient cycling in lentic freshwater ecosystems. In R. J. Stevenson, M. L. Bothwell, & L. Lowe (Eds.), Algal ecology, freshwater benthic ecosystems. San Diego, CA: Academic.
Wiley, M. J., Osborne, L. L., & Larimore, R. W. (1990). Longitudinal structure of an agricultural prairie river and its relationship to current stream ecosystem theory. Canadian Journal of Fisheries and Aquatic Sciences, 47, 373–384.
Acknowledgements
We would like to thank C. Roldán and J. Donadelli for their technical assistance. This research was financed by the National Council of Scientific and Technical Researches (CONICET) PIP N° 5305.
Author information
Authors and Affiliations
Corresponding author
Rights and permissions
About this article
Cite this article
Sierra, M.V., Gomez, N. Structural Characteristics and Oxygen Consumption of the Epipelic Biofilm in Three Lowland Streams Exposed to Different Land Uses. Water Air Soil Pollut 186, 115–127 (2007). https://doi.org/10.1007/s11270-007-9469-y
Received:
Accepted:
Published:
Issue Date:
DOI: https://doi.org/10.1007/s11270-007-9469-y


