Abstract
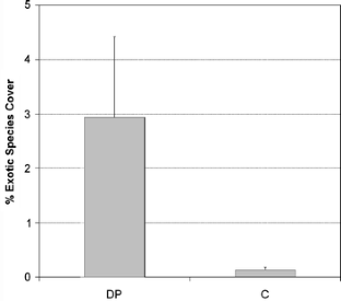
Small scale disturbances could act as patches that provide sites for the colonization of competitively inferior species, promoting the establishment of non-native species in some cases. We analyzed the vegetation associated with feral horse dung piles in montane pampas grasslands in Mid-East Argentina and described the changes following their abandonment, evaluating whether dung piles act as invasion windows, allowing the entrance of alien plant species. We estimated the portion of the study area directly covered by horse manure and dung height was used to estimate the time elapsed after the abandonment of each pile. Vegetation replacement on dung piles of different ages was assessed and compared with grassland controls using discriminant analysis. We used regression analysis to look for changes in vegetation cover, species richness, species diversity and evenness in response to height (age) of the dung piles, and principal component analyses (PCA) to identify groups of plants associated with different successional stages. We compared cover of alien plant species on dung piles with grassland controls using one-way ANOVA. On average, 2.5% of the study area was covered by horse dung. Total vegetation cover, species richness, diversity and evenness increased after the piles were abandoned. Characteristic plant groups were associated with initial, middle and last phases of the studied succession. Vegetation on the dung piles significantly differed from that in grassland controls and two species were consistently associated with dung piles: the invasive Red Star Thistle, Centaurea calcitrapa, and a native grazing-intolerant grass, Nassella clarazii. Non-native species cover was also higher in dung piles than in control plots. Dung piles cover a significant portion of grassland area in our study site, produce significant changes in the vegetation and are associated with some invasive alien plants that could eventually colonize more pristine areas in the vicinity. On the other hand, they might represent refuges for palatable species, since horses seem to avoid them for grazing.




References
Aarons SR, Hosseini HM, Dorling L, Gourley CJP (2004) Dung decomposition in temperate dairy pastures. II. Contribution to plant-available soil phosphorus. Aust J Soil Res 42:115–123. doi:10.1071/SR03009
Baraza E, Zamora R, Hódar JA (2006) Conditional outcomes in plant-herbivore interactions: neighbours matter. Oikos 113:148–156. doi:10.1111/j.0030-1299.2006.14265.x
Beever EA, Brussard PF (2000) Examining ecological consequences of feral horse grazing using exclosures. West N Am Naturalist 60:236–254
Begon M, Harper JL, Townsend CR (1996) Ecology. Individuals, populations and communities, 3rd edn. Blackwell, Oxford, UK
Bouman J (1986) Particulars about the Przewalski horse. Foundation for the preservation and protection of the Przewalski horse. Available via DIALOG. http://www.treemail.nl/takh/downloads/booklet.pdf. Accessed 30 Nov 2007
Burgos J (1968) El clima de la provincia de Buenos Aires en relación con la vegetación natural y el suelo. In: Cabrera AL. Flora de la provincia de Buenos Aires, 4 (1) pp 33–100 Colección Científica INTA, Buenos Aires, Argentina
Callaway RM, Kikvidze Z, Kikodze D (2000) Facilitation by unpalatable weeds may conserve plant diversity in overgrazed meadows in the Caucasus Mountains. Oikos 89:275–282. doi:10.1034/j.1600-0706.2000.890208.x
Callaway RM, Kikodze D, Chiboshvili M, Khetsurianib L (2005) Unpalatable plants protect neighbors from grazing and increase plant community diversity. Ecology 86:1856–1862
Campbell JE, Gibson DJ (2001) The effect of seeds of exotic species transported via horse dung on vegetation along trail corridors. Plant Ecol 157:23–35. doi:10.1023/A:1013751615636
Chaneton EJ, Perelman SB, León RJC (2002) Grazing, environmental heterogeneity and alien plant invasions in temperate Pampas grasslands. Biol Invasions 4:7–24
Cosyns E, Hoffmann M (2005) Horse dung germinable seed content in relation to plant species abundance, diet composition and seed characteristics. Basic App Ecol 6:11–24. doi:10.1016/j.baae.2004.09.012
Dai X (2000) Impact of cattle dung deposition on the distribution pattern of plant species in an alvar limestone grassland. J Veg Sci 11:715–724. doi:10.2307/3236578
Dalmasso A, Martínez Carretero E, Videla F, Puig S, Candia R (1999) Reserva Natural Villavicencio (Mendoza, Argentina) Plan de manejo. Multequina 8:11–50
Dobbie WR, Berman DMcK, Braysher ML (1993) Managing vertebrate pest: feral horses. Bureau of Resource Sciences, Australian Government Publishing Service, Canberra
Facon B, Genton BJ, Shykoff J, Jarne P, Estoup A, David P (2006) A general eco-evolutionary framework for understanding bioinvasions. Trends Ecol Evol 21:130–135. doi:10.1016/j.tree.2005.10.012
Fernández-Alès R, Laffarga JM, Ortega F (1993) Strategies in Mediterranean grassland annuals in relation to stress and disturbance. J Veg Sci 4:313–322. doi:10.2307/3235589
Frangi JL, Bottino OJ (1995) Comunidades vegetales de la Sierra de la Ventana, Provincia de Buenos Aires, Argentina. Revista de la Facultad de Agronomía (UNLP) 71:93–133
Graff P, Aguiar MR, Chaneton EJ (2007) Shifts in positive and negative plant interactions along a grazing intensity gradient. Ecology 88:188–199. doi:10.1890/0012-9658(2007)88[188:SIPANP]2.0.CO;2
Grime JP (1977) Evidence for the existence of three primary strategies in plants and its relevance to ecological and evolutionary theory. Am Nat 111:1169–1193. doi:10.1086/283244
Grime JP (2001) Plant strategies, vegetation processes, and ecosystem properties, 2nd edn. Wiley, Chichester, UK
Grosholz ED (2005) Recent biological invasion may hasten invasional meltdown by accelerating historical introductions. Proc Natl Acad Sci USA 102:1088–1091. doi:10.1073/pnas.0308547102
Hobbs RJ, Huenneke LF (1992) Disturbance, diversity, and invasion: implications for conservation. Conserv Biol 6:324–337. doi:10.1046/j.1523-1739.1992.06030324.x
Huntly N (1991) Herbivores and the dynamics of communities and ecosystems. Annu Rev Ecol Syst 22:477–503
InBiAr, Database on biological invasions in Argentina [in Spanish]. Universidad Nacional del Sur. http://www.inbiar.org.ar/. Accessed 30 Nov 2007
King SRB, Gurnell J (2007) Scent-marking behaviour by stallions: an assessment of function in a reintroduced population of Przewalski horses (Equus ferus przewalskii). J Zool 272:30–36. doi:10.1111/j.1469-7998.2006.00243.x
Lake JC, Leishman MR (2004) Invasion success of exotic plants in natural ecosystems: the role of disturbance, plant attributes and freedom from herbivores. Biol Conserv 117:215–226. doi:10.1016/S0006-3207(03)00294-5
Lamoot I, Callebaut J, Degezelle T, Demeulenaere E, Laquière J, Vandenberghe C, Hoffmann M (2004) Eliminative behaviour of free-ranging horses: do they show latrine behavior or do they defecate where they graze? Appl Anim Behav Sci 86:105–121. doi:10.1016/j.applanim.2003.12.008
Lavorel S, McIntyre S, Grigulis K (1999) Plant response to disturbance in a Mediterranean grassland: How many functional groups? J Veg Sci 10:661–672. doi:10.2307/3237081
Legendre P, Legendre L (1998) Numerical ecology, 2nd english edn. Elsevier Science BV, Amsterdam
Long MA, Grassini CM (1997) Actualización del conocimiento florístico del Parque Provincial Ernesto Tornquist. Informe final Convenio Ministerio de Asuntos Agrarios -Universidad Nacional del Sur, Bahía Blanca, 257pp
Loucougaray G, Bonis A, Bouzillé JB (2004) Effects of grazing by horses and/or cattle on the diversity of coastal grassland in western France. Biol Conserv 116:59–71. doi:10.1016/S0006-3207(03)00177-0
Mack RN (1989) Temperate grassland vulnerable to plant invasions: characteristics and consequences. In: Drake JA, Mooney HA, di Castri F, Groves RH, Kruger FJ, Rejmànek M, Williamson M (eds) Biological invasions: a global perspective. Wiley, Chichester, UK, pp 155–179
Mack RN, Simberloff D, Lonsdale WM, Evans H, Clout M, Bazzaz FA (2000) Biotic invasions: causes, epidemiology, global consequences, and control. Ecol Appl 10:689–710. doi:10.1890/1051-0761(2000)010[0689:BICEGC]2.0.CO;2
Malo JE, Suárez F (1995a) Cattle dung and the fate of Biserrula pelecinus L (Leguminosae) in a Mediterranean pasture: seed dispersal, germination and recruitment. Bot J Linn Soc 118:139–148
Malo JE, Suárez F (1995b) Herbivorous mammals as seed dispersers in a Mediterranean dehesa. Oecologia 104:246–255. doi:10.1007/BF00328589
Malo JE, Suárez F (1995c) Establishment of pasture species on cattle dung: the role of endozoochorous seeds. J Veg Sci 6:169–174. doi:10.2307/3236211
Milchunas DG, Noy-Meir I (2002) Grazing refuges, external avoidance of herbivory and plant diversity. Oikos 99:113–130. doi:10.1034/j.1600-0706.2002.990112.x
Mouissie AM, Vos P, Verhagen HMC, Bakker JP (2005) Endozoochory by free-ranging, large herbivores: Ecological correlates and perspectives for restoration. Basic Appl Ecol 6:547–558. doi:10.1016/j.baae.2005.03.004
Nielsen DB (1997) Observation on pasture management and grazing. Utah State University Extension. Available via DIALOG: http://extension.usu.edu/files/agpubs/obsgrzng.pdf. Accessed 30 Nov 2007
Oesterheld M, Oyarzábal M (2004) Grass-to-grass protection from grazing in a semi-arid steppe Facilitation, competition, and mass effect. Oikos 107:576–582. doi:10.1111/j.0030-1299.2004.13442.x
Oesterheld M, Sala OE, McNaughton SJ (1992) Effect of animal husbandry on herbivore-carrying capacity at a regional scale. Nature 356:234–236. doi:10.1038/356234a0
Omaliko CPE (1981) Dung deposition, breakdown and grazing behavior of beef cattle at two seasons in a tropical grassland ecosystem. J Range Manag 34:360–362. doi:10.2307/3897903
Parker IM, Simberloff D, Lonsdale WM, Goodell K, Wonham M, Kareiva PM, Williamson MH, Von Holle B, Moyle PB, Byers JE, Goldwasser L (1999) Impact: toward a framework for understanding the ecological effects of invaders. Biol Invasions 1:3–19. doi:10.1023/A:1010034312781
Parker JD, Burkepile DR, Hay ME (2006) Opposing effects of native and exotic herbivores on plant invasions. Science 311:1459–1461. doi:10.1126/science.1121407
Quenga Kerr JN, Paul VJ (1995) Animal-plant defense association: the soft coral Sinularia sp (Cnidaria, Alcyonacea) protects Halimeda spp. from herbivory. J Exp Mar Biol Ecol 186:183–205. doi:10.1016/0022-0981(94)00153-5
Rebollo S, Milchunas DG, Noy-Meir I (2005) Refuge effects of a cactus in grazed short-grass steppe. J Veg Sci 16:85–92. doi:10.1658/1100-9233(2005)016[0085:REOACI]2.0.CO;2
Rook AJ, Dumont B, Isselstein J, Osoro K, WallisDeVries MF, Parente G, Mills J (2004) Matching type of livestock to desired biodiversity outcomes in pastures - a review. Biol Conserv 119:137–150. doi:10.1016/j.biocon.2003.11.010
Rúgolo de Agrasar ZE, Steibel PE, Troiani HO (2005) Manual ilustrado de las Gramíneas de la Provincia de La Pampa. UNLPam/UNRC. Río Cuarto, Argentina
Scorolli AL (1999) Demografía y áreas de actividad de una población de caballos cimarrones en el Parque Provincial Ernesto Tornquist MSc Dissertation, Universidad Nacional del Sur, Bahía Blanca, Argentina, 45pp
Shiyomi M, Okada M, Takahashi S, Tang YH (1998) Spatial pattern changes in aboveground plant biomass in a grazing pasture. Ecol Res 13:313–322. doi:10.1046/j.1440-1703.1998.00266.x
Tood SW (2006) Gradients in vegetation cover, structure and species richness of Nama-Karoo shrubland in relation to distance from livestock watering points. J Appl Ecol 43:293–304. doi:10.1111/j.1365-2664.2006.01154.x
Trimble SW, Mendel AC (1995) The cow as a geomorphic agent—A critical review. Geomorphology 13:233–253. doi:10.1016/0169-555X(95)00028-4
Vázquez DP (2002) Multiple effects of introduced mammalian herbivores in a temperate forest. Biol Invasions 4:175–191. doi:10.1023/A:1020522923905
Vilá BL (1994) Use of dung piles by neighbouring vicuñas. Int J Mamm Biol (Z Säurgetierkunde) 59:126–128
Vitousek PM, D’Antonio CM, Loope LL, Westbrooks R (1996) Biological Invasion as global environmental change. Am Sci 84:468–478
Wells FH, Lauenroth WK (2007) The potential for horses to disperse alien plants along recreational trails. Rangel Ecol Manag 60:574–577. doi:10.2111/06-102R1.1
Zalba SM (1994) Plantas leñosas exóticas en el Parque Provincial Ernesto Tornquist: evaluación de impacto y propuesta de control. MSc Dissertation, Programa de Maestría en Manejo de Vida Silvestre, Universidad Nacional de Córdoba, Córdoba, Argentina, 125pp
Zuloaga FO, Morrone O (2007) Flora from Argetina. Catalog of vascular plants [In Spanish]. Instituto de Botánica Darwinion. http://www.darwin.edu.ar/Proyectos/FloraArgentina/FA.asp. Accessed 30 Nov 2007
Acknowledgements
This work was funded by CONICET (Consejo Nacional de Investigaciones Científicas y Técnicas, Argentina) and Departamento de Biología, Bioquímica y Farmacia, Universidad Nacional del Sur. The authors also wish to thank Dolores Rodríguez Rey and José Luis Vidal for field assistance and two anonymous reviewers for their valuable comments.
Author information
Authors and Affiliations
Corresponding author
Rights and permissions
About this article
Cite this article
Loydi, A., Zalba, S.M. Feral horses dung piles as potential invasion windows for alien plant species in natural grasslands. Plant Ecol 201, 471–480 (2009). https://doi.org/10.1007/s11258-008-9468-0
Received:
Accepted:
Published:
Issue Date:
DOI: https://doi.org/10.1007/s11258-008-9468-0