Abstract
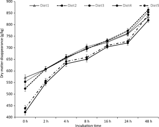
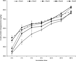
In situ rumen degradability of dry matter (DM) and crude protein (CP) in ruminant diets composed of graded inclusion levels of marula nut meal (MNM) as a protein source to replace soybean meal were evaluated. The five diets denoted as diet 1 (0.0 g kg−1 MNM: control), diet 2 (45.5 g kg−1 MNM), diet 3 (91.7 g kg−1 MNM), diet 4 (138.4 g kg−1 MNM), and diet 5 (185.9 g kg−1 MNM) were tested. Three cannulated mid-lactating Holstein cows were used to incubate triplicate subsamples of each diet for 2, 4, 8, 16, 24, and 48 h in polyester bags. The soluble fractions of DM and CP increased (P < 0.05) with increasing levels of MNM (138.4–185.9 g kg−1 MNM). However, the insoluble but degradable fractions of DM and CP increased (P < 0.05) with decreasing levels of MNM (45.5–0.0 g kg−1 and 91.7–0.0 g kg−1 MNM, respectively). While the degradation rate of fraction and the effective degradability of DM increased (P < 0.05) with decreasing levels of MNM (91.7–0.0 g kg−1), those of CP increased with increasing levels of MNM (138.4–185.9 g kg−1 MNM) in the diet. These results suggest that dietary inclusion of MNM up to 91.7 g kg−1 in ruminant diets can provide undegradable protein to be absorbed in the small intestines and used for metabolic function, while an inclusion of up to 185.9 g kg−1 can be degraded in the rumen for microbial protein synthesis.


Explore related subjects
Discover the latest articles and news from researchers in related subjects, suggested using machine learning.References
AOAC, Official Methods of Analysis, 2006. 18th (eds). Association of Official Analytical Chemists, Washington.
Barchiesi-Ferrari, C. and Anrique, R. 2011. Ruminal degradability of dry matter and crude protein from moist dehulled lupin and extruded rapeseed meal. Chilean Journal of Agricultural Research, 71: 430-436.
Denham, S. C., Morantes, G. A., Bates, D. B. and Moore, J. E., 1989. Comparison of two models used to estimate in situ nitrogen disappearance. Journal of Dairy Science 72:708–714.
Federation of Animal Science Societies (FASS), 1999. 3rd (eds). Guide for the Care and Use of Agricultural Animals Used in Agricultural Research and Teaching, Champaign.
Kirkpatrick, B. K. and Kennelly, J. J., 1987. In situ degradability of protein and dry matter from single protein sources and from a total diet. Journal of Animal Science, 65: 567-576.
Lei, Y., Hannoufa, A. and Yu, P., 2017. The use and gene modification and advanced molecular structure analyses towards improving alfalfa forage. International Journal of Molecular Science 18:298-304.
Lei, Y.G., Li, X.Y., Wang, Y.Y., Li, Z.Z., Chen, Y.L., et al. 2018. Determination of ruminal dry matter and crude protein degradability and degradation kinetics of several concentrate feed ingredients in cashmere goat. Journal of Applied Animal Research 46, 134-140.
Malebana, I.M., Nkosi, B.D., Erlwanger, K.H. and Chivandi, E., 2018. A comparison of the proximate, fibre, mineral content, amino acid and the fatty acid profile of Marula (Sclerocarya birrea caffra) nut and soyabean (Glycine max) meals. Journal of the Science of Food and Agriculture 98:1381-1387.
Mlambo, V., Dlamini, B. J., Nkambule, M. T., Mhazo, N. and Sikosana, J. L. N., 2011. Nutritional evaluation of Marula (Sclerocarya birrea) seed cake as a protein supplement for goats fed grass hay. Tropical Agriculture (Trinidad) 88:35-43.
Mogensen, L., Lund, P., Kristensen, T. and Weisbjerg, M. R., 2008. Effects of toasting blue lupins, soybeans or barley as supplement for high-yielding, organic dairy cows fed grass-clover silage ad libitum. Livestock Science, 115: 249-257.
National Research Council (NRC), 2001. Nutrient requirements of dairy cattle, 7th. National Academies Press, Washington, pp. 1-347.
Nezarati, S., Maheri-Sis, N., Salamatdoust-Nobar, R. and Aghajanzadeh-Golshani A., 2014. In vitro fermentation characteristics and nutritive value of Iranian oil seed meals for ruminants. Greener Journal of Biological Sciences 4: 53-58.
Nkosi, B. D., Phenya, J. S. M., Malebana, I. M. M., Muya, M. C. and Motiang, M. D., 2019. Nutrient evaluation and ruminal degradation of dry matter and protein from amarula (Sclerocarya birrea), macadamia (integrifolia) and baobab (Adansonia digitata L.) oilcakes as dietary supplements for ruminants. Tropical animal health and production, 51(7), 1981-1988.
Ørskov, E. R. and McDonald, I., 1979. The estimation of protein degradability in the rumen from incubation measurements weighted according to rate of passage. Journal of Agricultural Science 92:499–503.
Palmquist, D.L. and Griinai, J.M., 2006. Milk fatty acid composition in response to reciprocal combinations of sunflower and fish oils in the diet. Animal Feed Science and Technology 131: 358-369.
Rutagwenda, T., Lechner-Doll, M., Drochner, W., Lindhauer, M. G., Beringer, H., et al. 1990. The soluble fraction of a number of Kenyan range plants grazed by indigenous ruminants, camels and donkeys. Journal of Animal Physiology and Animal Nutrition 64: 94-102.
Statistical Analysis System (SAS), 2009. SAS Release 9.1 for windows, SAS Institute Inc. Cary.
Terefe, G., Nurfeta, A., Fikadu, D., Walelegne, M., Getahun, N. B. K., et al. 2018. Dry matter and crude protein degradability of some common feeds and total mixed ration in F1 Boran-Fresian bulls using in situ methods. Journal of Natural Sciences Research 8:81-87.
Uddin, M. J., Khandaker, Z. H., Khan, M. and Khan, M. M. H., 2015. Dynamics of microbial protein synthesis in the rumen-a review. Annals of Veterinary and Animal Science 2: 2312-9123.
Van der Merwe, F. J. and Smith, W. A., 1991. Dierevoeding. Anim. Sci., Pty Ltd, Pinelands. pp. 163-168.
Van Soest, P. J., Roberstson, J. B. and Lewis, B. A., 1991. Methods for dietary fibre, neutral detergent fibre and non-starch polysaccharides in relation to animal nutrition. Journal of Dairy Science 74:3583-3597.
Weakly, D. C., Stern, M. D and Sater, L. D., 1983. Factors affecting disapperance of feedstuffs from bags suspended in the rumen. Journal of Animal Science 56: 493-507.
Funding
The National Research Foundation (Grant No. 108992) is greatly acknowledged for funding this research.
Author information
Authors and Affiliations
Corresponding author
Ethics declarations
Conflict of interest
The authors declare that they have no conflict of interests.
Additional information
Publisher’s note
Springer Nature remains neutral with regard to jurisdictional claims in published maps and institutional affiliations.
Rights and permissions
About this article
Cite this article
Muya, M.C., Malebana, I.M.M. & Nkosi, B.D. Effect of replacing soybean meal with marula nut meal on rumen dry matter and crude protein degradability. Trop Anim Health Prod 52, 3911–3915 (2020). https://doi.org/10.1007/s11250-020-02390-8
Received:
Accepted:
Published:
Issue Date:
DOI: https://doi.org/10.1007/s11250-020-02390-8