Skip to main content

Impact of summer heat stress on the thermal environment of bovine female genital tract

Abstract

Summer heat stress (HS) is associated with a reduction in conception rate, increase in services per conception, and early embryonic death. However, the impact of summer HS on the thermal environment of different regions of the bovine female genital tract remains unknown. This study aimed to elucidate the effect of summer HS on the thermal environment of different regions of the genital tract in the cow. Three non-pregnant Japanese Black cows were investigated using a specially designed digital thermometer to record the temperatures of the rectum (RT), vagina (VT), cervix (CT), uterine body (UBT), and uterine horns (UHT) on days 0, 1, 2, 3, and 8 of the estrous cycle (day 0 = heat) in February (winter), May (spring), and August (summer). During the experiment, the temperature humidity index (THI) was recorded. THI during summer was higher (P ˂ 0.001) than in winter and spring (78.45 ± 0.32 vs. 60.26 ± 1.20 and 68.51 ± 0.80, respectively) and was higher than the alert THI indicating HS (i.e., THI > 73). Consequently, the VT, CT, UBT, and UHT were elevated during summer HS (P < 0.05) in comparison to winter and spring. THI was positively correlated (P < 0.01) with RT, VT, CT, UBT, and UHT. Linear regression revealed that VT, CT, UBT, and UHT increased by 0.05 °C per unit of THI. VT was more highly correlated than RT with THI and with the temperature of other regions of genital tract. HS induced increases in the temperatures of different regions of the female genital tract. The relationship between THI and VT could be incorporated into a mathematical model to predict the thermal load of HS on different regions of the female genital tract.

This is a preview of subscription content, access via your institution.

Fig. 1
Fig. 2
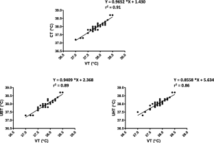
Fig. 3
Fig. 4

References

  • Amundson, J. L., T. L. Mader, R. J. Rasby and Q. S. Hu (2006). Environmental effects on pregnancy rate in beef cattle. J Anim Sci 84(12): 3415-3420.

    CAS  Article  Google Scholar 

  • Armstrong, D. V. (1994). Heat stress interaction with shade and cooling. J Dairy Sci 77(7): 2044-2050.

    CAS  Article  Google Scholar 

  • Burfeind, O., V. S. Suthar, R. Voigtsberger, S. Bonk and W. Heuwieser (2011). Validity of prepartum changes in vaginal and rectal temperature to predict calving in dairy cows. J Dairy Sci 94(10): 5053-5061.

    CAS  Article  Google Scholar 

  • Carmer, S. G. and W. M. Walker (1985). Pairwise multiple comparisons of treatment means in agronomic research. J. Agron. Edu. 14: 19-26.

    Article  Google Scholar 

  • De Rensis, F. and R. J. Scaramuzzi (2003). Heat stress and seasonal effects on reproduction in the dairy cow--a review. Theriogenology 60(6): 1139-1151.

    Article  Google Scholar 

  • Drost, M. and W. W. Thatcher (1987). Heat stress in dairy cows. Its effect on reproduction. Vet Clin North Am Food Anim Pract 3(3): 609-618.

    CAS  Article  Google Scholar 

  • Dunlap, S. E. and C. K. Vincent (1971). Influence of postbreeding thermal stress on conception rate in beef cattle. J Anim Sci 32(6): 1216-1218.

    CAS  Article  Google Scholar 

  • El-Sheikh Ali, H., G. Kitahara, Y. Tamura, I. Kobayashi, K. Hemmi, S. Torisu, H. Sameshima, Y. Horii, S. Zaabel and S. Kamimura (2013). Presence of a temperature gradient among genital tract portions and the thermal changes within these portions over the estrous cycle in beef cows. The Journal of reproduction and development 59(1): 59-65.

    CAS  Google Scholar 

  • Farin, P. W., Moore K. and Drost, M. 2007. CHAPTER 63 - Assisted Reproductive Technologies in Cattle. In: Youngquist, R. S. and Threlfall, W. R. (eds), Current Therapy in Large Animal Theriogenology (Second Edition). Saunders, Missouri, 496-508.

  • Garcia-Ispierto, I., F. Lopez-Gatius, P. Santolaria, J. L. Yaniz, C. Nogareda, M. Lopez-Bejar and F. De Rensis (2006). Relationship between heat stress during the peri-implantation period and early fetal loss in dairy cattle. Theriogenology 65(4): 799-807.

    CAS  Article  Google Scholar 

  • Gaughan, J. B., T. L. Mader, S. M. Holt and A. Lisle (2008). A new heat load index for feedlot cattle. J Anim Sci 86(1): 226-234.

    CAS  Article  Google Scholar 

  • Gwazdauskas, F. C., W. W. Thatcher and C. J. Wilcox (1973). Physiological, environmental, and hormonal factors at insemination which may affect conception. J Dairy Sci 56(7): 873-877.

    CAS  Article  Google Scholar 

  • Hunter, R. H. F. (2009). Temperature gradients in female reproductive tissues and their potential significance. Animal reproduction 6(1): 7-15.

    Google Scholar 

  • Kaufman, J. D., A. M. Saxton and A. G. Rius (2018). Short communication: Relationships among temperature-humidity index with rectal, udder surface, and vaginal temperatures in lactating dairy cows experiencing heat stress. J Dairy Sci 101(7): 6424-6429.

    CAS  Article  Google Scholar 

  • Lopez-Gatius, F., P. Santolaria, J. L. Yaniz, J. M. Garbayo and R. H. Hunter (2004Timing of early foetal loss for single and twin pregnancies in dairy cattle. Reprod Domest Anim 39(6): 429-433.

    CAS  Article  Google Scholar 

  • Mader, T. L., M. S. Davis and T. Brown-Brandl (2006). Environmental factors influencing heat stress in feedlot cattle. J Anim Sci 84(3): 712-719.

    CAS  Article  Google Scholar 

  • Mader, T. L., L. J. Johnson and J. B. Gaughan (2010). A comprehensive index for assessing environmental stress in animals J Anim Sci 88(6): 2153-2165.

    CAS  Article  Google Scholar 

  • Meng, X.-l., R. Rosenthal and D. B. Rubin (1992). Comparing correlated correlation coefficients. Psychological Bulletin 111(1): 172-175.

    Article  Google Scholar 

  • Morton, J. M., W. P. Tranter, D. G. Mayer and N. N. Jonsson (2007). Effects of environmental heat on conception rates in lactating dairy cows: critical periods of exposure. J Dairy Sci 90(5): 2271-2278.

    CAS  Article  Google Scholar 

  • Nabenishi, H., H. Ohta, T. Nishimoto, T. Morita, K. Ashizawa and Y. Tsuzuki (2011). Effect of the temperature-humidity index on body temperature and conception rate of lactating dairy cows in southwestern Japan. J Reprod Dev 57(4): 450-456.

    Article  Google Scholar 

  • Putney, D. J., M. Drost and W. W. Thatcher (1988a). Embryonic development in superovulated dairy cattle exposed to elevated ambient temperatures between Days 1 to 7 post insemination. Theriogenology 30(2): 195-209.

    CAS  Article  Google Scholar 

  • Putney, D. J., J. R. Malayer, T. S. Gross, W. W. Thatcher, P. J. Hansen and M. Drost (1988b). Heat stress-induced alterations in the synthesis and secretion of proteins and prostaglandins by cultured bovine conceptuses and uterine endometrium. Biol Reprod 39(3): 717-728.

    CAS  Article  Google Scholar 

  • Roman-Ponce, H., W. W. Thatcher, D. Caton, D. H. Barron and C. J. Wilcox (1978). Thermal stress effects on uterine blood flow in dairy cows. J Anim Sci 46(1): 175-180.

    CAS  Article  Google Scholar 

  • Sakai, S., N. Hagihara, M. Kuse, K. Kimura and K. Okuda (2018). Heat stress affects prostaglandin synthesis in bovine endometrial cells. The Journal of reproduction and development 64(4): 311-317.

    CAS  Article  Google Scholar 

  • Sakatani, M. (2017). Effects of heat stress on bovine preimplantation embryos produced in vitro. J Reprod Dev 63(4): 347-352.

    CAS  Article  Google Scholar 

  • Sakumoto, R., K.-G. Hayashi, S. Saito, H. Kanahara, K. Kizaki and K. Iga (2015). Comparison of the global gene expression profiles in the bovine endometrium between summer and autumn. The Journal of reproduction and development 61(4): 297-303.

    CAS  Article  Google Scholar 

  • Steiger, J. H. (1980). Tests for comparing elements of a correlation matrix. Psychological Bulletin 87(2): 245-251.

    Article  Google Scholar 

  • Stevenson, J. S. 2007. CHAPTER 35 - Clinical Reproductive Physiology of the Cow. In: Youngquist, R. S. and Threlfall, W. R. (eds), Current Therapy in Large Animal Theriogenology (Second Edition). Saunders, Missouri, 258-270.

  • Suthar, V. S., O. Burfeind, J. S. Patel, A. J. Dhami and W. Heuwieser (2011). Body temperature around induced estrus in dairy cows. J Dairy Sci 94(5): 2368-2373.

    CAS  Article  Google Scholar 

  • Ulberg, L. C. and P. J. Burfening (1967). Embryo death resulting from adverse environment on spermatozoa or ova. J Anim Sci 26(3): 571-577.

    CAS  Article  Google Scholar 

  • Vickers, L. A., O. Burfeind, M. A. von Keyserlingk, D. M. Veira, D. M. Weary and W. Heuwieser (2010). Technical note: Comparison of rectal and vaginal temperatures in lactating dairy cows. J Dairy Sci 93(11): 5246-5251.

    CAS  Article  Google Scholar 

Download references

Acknowledgments

The authors would like to express their appreciation to Prof. Takeshi Osawa, University of Miyazaki, who provided insightful comments and suggestions for this article. We also thank all of the members of the Laboratory of Theriogenology, University of Miyazaki, Japan, for their assistance in experimental procedures.

Funding

This work was supported in part by a research grant (2011) from the Graduate School of Medicine and Veterinary Medicine, University of Miyazaki.

Author information

Affiliations

Authors

Corresponding author

Correspondence to Go Kitahara.

Ethics declarations

Conflict of interest

The authors declare that they have no conflict of interest.

Ethical approval

All experimental procedures were approved by the institutional review board for animal experiments of the University of Miyazaki (Approval No. #2009-001-3).

Additional information

Publisher’s note

Springer Nature remains neutral with regard to jurisdictional claims in published maps and institutional affiliations.

Electronic supplementary material

Supplementary table 1

The monthly weather conditions (AT and RH) throughout the year of the experiment (2011) (DOCX 14 kb).

Rights and permissions

Reprints and Permissions

About this article

Verify currency and authenticity via CrossMark

Cite this article

El-Sheikh Ali, H., Tamura, Y., Sameshima, H. et al. Impact of summer heat stress on the thermal environment of bovine female genital tract. Trop Anim Health Prod 52, 3449–3455 (2020). https://doi.org/10.1007/s11250-020-02378-4

Download citation

  • Received:

  • Accepted:

  • Published:

  • Issue Date:

  • DOI: https://doi.org/10.1007/s11250-020-02378-4

Keywords

  • Digital thermometer
  • Estradiol-17β (E2)
  • Estrous cycle
  • Female genital tract
  • Progesterone (P4)
  • Temperature gradient