Skip to main content

Opportunities for conservation and utilisation of local pig breeds in low-input production systems in Zimbabwe and South Africa

A Publisher’s Erratum to this article was published on 22 February 2014

Abstract

Purpose and methods

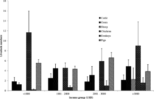
In situ conservation of pig genetic resources requires understanding of the farming systems under which the pigs are kept. The objective of the study was to characterise smallholder pig production systems where indigenous pigs are kept in order to assess opportunities for in situ conservation of these pigs. Factors influencing pig herd sizes, ranking of pigs in smallholder production systems, breeds and breed preferences, pig ownership patterns, traits preferred by farmers and constraints to production were investigated in a survey involving 199 farmers from Chirimhanzu District of Zimbabwe, Vhembe, Alfred Nzo and O. R. Tambo Districts of South Africa.

Results

Income was the major factor influencing most pig production related parameters. Most pigs (69.67 %) were owned by women, with most of the women falling into the very low income group. Farmers kept pigs for several reasons that were common across geographical zones and income groups. The odds of a farmer ranking pigs first in the production system depended on the absence of other livestock (P < 0.05). Farmers in the higher income group tended to mention poor feed resources and access to information as constraints (P < 0.05) compared to the very low income group. There was preference heterogeneity in the breeds kept and the reasons for breed choice across the income groups and geographical zones. Fewer farmers in the very low income group (42.62 %) recognised the need to conserve local pigs compared to the low income group (80.49 %), the medium income group (50.00 %) and the high income group (100.00 %; χ 2 = 19.14; P < 0.001).

Conclusions

It was concluded that farmers see value in local pigs and are willing to conserve them. In situ conservation programmes are possible and these should recognise the role of poor women in conserving and enhancing indigenous pig genetic resources.

This is a preview of subscription content, access via your institution.

Fig. 1
Fig. 2
Fig. 3

References

  • Anderson S., 2003. Animal genetic resources and sustainable livelihoods. Ecological Economics, 45, 331-339.

    Article  Google Scholar 

  • Bayer, W., von Lossau, A. and Feldmann, A., 2003. Smallholders and community-based management of farm animal genetic resources. In: Community-Based Management of Animal Genetic Resources, Proceedings of a Workshop held in Mbabane, Swaziland, 7–11 May 2001. (FAO, Rome, Italy), 1–12.

  • Chiduwa, G., Chimonyo, M., Halimani, T.E., Chisambara, S.R. and Dzama, K., 2008. Herd dynamics and contribution of local pigs to the livelihoods of rural farmers in a semi-arid area of Zimbabwe. Tropical Animal Health and Production 40, 125–136.

    PubMed  Article  CAS  Google Scholar 

  • Chikwanha O. C., Halimani T. E., Chimonyo M., Dzama K. and Bhebhe E., 2007. Seasonal changes in body condition scores of pigs and chemical composition of pig feed resources in a semiarid smallholder farming area of Zimbabwe. African Journal of Agricultural Research, 2 (9), 468-474.

    Google Scholar 

  • Chimonyo, M. and Dzama, K., 2007. Estimation of genetic parameters for growth performance and carcass traits in Mukota pigs. Animal 1, 317-323.

    PubMed  Article  CAS  Google Scholar 

  • Gandini, G. C. and Oldenbroek, J. K., 1999. Choosing the conservation strategy. In: Oldenbroek, J. K. (ed.), Gene-banks and the management of farm animal genetic resources (IDO–DL, Lelystad, The Netherlands), 11-31.

    Google Scholar 

  • Halimani, T.E., Phitsane, P.M., Mtileni, B.J., Muchadeyi, F.C., Chimonyo, M., and Dzama, K. 2008. Factors influencing herd size, breed preference and production system of pig genetic resources from smallholder farmers in South Africa. Proceedings of the 10th World Congress on Animal Production. 22–28 Nov. 2008 (Cape Town, RSA), 17.

  • Halimani T. E., Muchadeyi F.C., Chimonyo M. and Dzama K., 2010. Pig genetic resource conservation: the Southern African perspective. Ecological Economics, 69(5), 944-951.

    Article  Google Scholar 

  • Herold, P., Roessler, R., William, A., Momm, H. and Valle Zárate A., 2010. Breeding and supply chain systems incorporating local pig breeds for small-scale pig producers in Northwest Vietnam. Livestock Production Science, 129, 63-72.

    Article  Google Scholar 

  • Huong, P., Mai, T., Hau, N. V., Kaufmann B., Zárate A. V., and Mergenthaler, M., 2009. Emerging supply chains of indigenous pork and their impacts on smallscale farmers in upland areas of Vietnam. Contributed paper prepared for presentation at the International Association of Agricultural Economists Conference, August 16–22, 2009, (Beijing, China) Available http://cares.org.vn/webplus/Article/Emerging.pdf, Accessed: 11/03/2011.

  • Kagira, J. M., Kanyari, P. W. N., Maingi, N. Githigia, S. M., Ng’ang’a, J. C. and Karuga, J. W., 2009. Characteristics of the smallholder free-range pig production system in western Kenya. Tropical Animal Health and Production, 42, 865-873.

    PubMed  Article  Google Scholar 

  • Kanengoni A.T., Dzama K., Chimonyo M., Kusina J., Maswaure S.M. 2004. Growth performance and carcass traits of Large White, Mukota and their F1 crosses fed on graded levels of maize cobs. Animal Science 78, 61-66.

    CAS  Google Scholar 

  • Kumaresan, A., Bujarbaruah, K. M., Pathak, K. A., Anubrata Das, Bardoloi, R. K, 2009. Integrated resource-driven pig production systems in a mountainous area of Northeast India: production practices and pig performance. Tropical Animal Health and Production, 41, 1187–1196.

    PubMed  Article  CAS  Google Scholar 

  • Lekule, F. P., Kyvsgaard, N.C., 2003. Improving pig husbandry in tropical resource-poor communities and its potential to reduce risk of porcine cysticercosis. Acta Tropica 87, 111-117.

    PubMed  Article  Google Scholar 

  • LPP, LIFE Network, IUCN–WISP and FAO. 2010. Adding value to livestock diversity—marketing to promote local breeds and improve livelihoods. FAO Animal Production and Health Paper. No. 168 (FAO, Rome). Available at http://www.fao.org/docrep/012/i1283e/i1283e.pdf (Accessed 09/03/2011)

  • Madec, F., Hurnik, D., Porphyre, V., Cardinale, E., 2010. Good practices for biosecurity in the pig sector—issues and options in developing and transition countries. FAO Animal Production and Health Paper No. 169. (FAO, Rome). Available at http://www.fao.org/docrep/012/i1435e/i1435e00.pdf (Accessed 09/03/2011).

  • Mashatise, E., Hamudikuwanda, H., Dzama, K., Chimonyo, M. and Kanengoni, A., 2005. Socio-economic roles, traditional management systems and reproductive patterns of Mukota pigs in semi-arid north-eastern Zimbabwe. Bunda Journal of Agriculture, Environmental Science and Technology, 3, 97–105.

    Google Scholar 

  • Momsen J. H., 2007. Gender and agrobiodiversity: introduction to the special issue. Singapore Journal of Tropical Geography 28, 1-6.

    Article  Google Scholar 

  • Nakai, S., 2008. Decision-making on the use of diverse combinations of agricultural products and natural plants in pig feed: a case study of native pig smallholders in northern Thailand. Tropical Animal Health and Production, 40, 201–208.

    PubMed  Article  Google Scholar 

  • Nill D., 2007. Promoting diversity of useful plants and animal breeds through marketing: the example of the Schwäbisch–Hällisches Landschwein pig. Available at: http://www.gtz.agrobiodiversity.cn/uploads/media/Schwein-en.pdf (Accessed 28/10/2009).

  • Padmanabhan M. A., 2005. Institutional innovations towards gender equity in agrobiodiversity management: collective action in Kerala, South India. CAPRi Working Paper # 39 (International Food Policy Research Institute, Washington, USA). Available: http://www.iiav.nl/epublications/2005/InstitutionalInnovationsTowardsGenderEquity.pdf (Accessed 14/07/10)

  • Ramsay, K., 2002. Marketing rare breeds in Sub-Saharan Africa. In: Almekinders, C.J.M. (Comp.), 2002, Incentive measures for sustainable use and conservation of agrobiodiversity. Experiences and lessons from Southern Africa. Proceedings of a Workshop, Lusaka, Zambia, 11–14 September 2001, pp. 61-68. Available at https://www.cbd.int/doc/case-studies/inc/cs-inc-fao-incentivesagrobiodiv-workshop2009-en.pdf (Accessed 28/10/2009).

  • Roessler, R., Drucker, A.G., Scarpa, R., Markemann, A., Lemke, U., Thuy, L.T., Valle Zárate, A., 2008. Using choice experiments to assess smallholder farmers' preferences for pig breeding traits in different production systems in North-West Vietnam. Ecological Economics 66, 184-192.

    Article  Google Scholar 

  • Ruane, J., 2000. A framework for prioritizing domestic animal breeds for conservation purposes at the national level: a Norwegian case study. Conservation Biology, 14, 1385–1393.

    Article  Google Scholar 

  • SAS, 2004. Statistical analysis systems user’s guide (SAS/STAT version 9.1 User’s Guide). SAS Institute Inc., Cary NC, USA.

    Google Scholar 

  • Scarpa, R., Drucker, A.G., Anderson, S., Ferraes-Ehuan, N., Gómez, V., Risopatrón, C.R., Rubio-Leonel, O., 2003. Valuing genetic resources in peasant economies: the case of ‘hairless’ creole pigs in Yucatan. Ecological Economics, 45, 427–443.

    Article  Google Scholar 

  • Styger, E., 2002. The effect of different breeds and housing systems on the sensory and objective meat quality of processed pork. Unpublished MSc thesis, University of Stellenbosch, South Africa.

  • Swaminathan M. S., 1998. Farmers’ rights and plant genetic resources. Biotechnology and Development Monitor, 36, 6-9.

    Google Scholar 

Download references

Acknowledgements

The authors are grateful to communities in Chirumhanzu district of Midlands province in Zimbabwe, Limpopo and Eastern Cape provinces in South Africa for taking their time to answer questionnaires. In addition, the authors would like to thank the National Research Foundation (SA) and the Regional Universities Forum for Agricultural Research for funding.

Author information

Affiliations

Authors

Corresponding author

Correspondence to Kennedy Dzama.

Additional information

An erratum to this article is available at http://dx.doi.org/10.1007/s11250-014-0555-z.

Rights and permissions

Reprints and Permissions

About this article

Cite this article

Halimani, T.E., Muchadeyi, F.C., Chimonyo, M. et al. Opportunities for conservation and utilisation of local pig breeds in low-input production systems in Zimbabwe and South Africa. Trop Anim Health Prod 45, 81–90 (2012). https://doi.org/10.1007/s11250-012-0177-2

Download citation

  • Accepted:

  • Published:

  • Issue Date:

  • DOI: https://doi.org/10.1007/s11250-012-0177-2

Keywords

  • Smallholder pig production
  • Local pigs
  • Conservation of FAnGR