Abstract
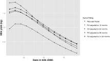
Awassi is the local breed of sheep in Jordan and is the most important breed in the semi-arid regions of the near east countries. Awassi ram and ewe lambs reach puberty at around 8 and 9 months of age, respectively. The breeding season of Awassi ewes starts as early as April and lasts through September. After puberty, Awassi rams are sexually active throughout the year. The normal estrous cycle in Awassi ewes is 15–20 days (average 17 days). Estrus ranges from 16–59 h (average 29 h) during the breeding season. The reproductive performance of unimproved Awassi sheep has been low while improved Awassi has the highest fertility and milk production and are the heaviest among all Awassi populations. The gestation length varies from 149 to 155 days (average 152 days). Hormones that are commonly used for induction and synchronization of estrus in Awassi ewes include progestins, gonadotropins and PGF2α. An Awassi ewe produces 40–60 and 70–80 kg of milk per 150-day lactation period under traditional and improved production systems, respectively, in addition to the suckled milk left for lambs until weaning. The improved Awassi has the highest milk production among all Awassi populations and may reach 506 L over 214-day lactation period. The objective of this review is to summarize the reproductive pattern and milk production of Awassi sheep in the Middle East region.
Similar content being viewed by others
References
Abdullah, A.Y., Husein, M.Q., Kridli, R.T., 2002. Protocols for estrus synchronization in Awassi ewes under arid conditions. Asian-Australasian Journal of Animal Sciences, 15, 957–962.
Abu Zanat, M.M., Mekdadi, H.A., Tabbaa, M.J., 2005. Production systems of small ruminants in middle badia of Jordan. Dirasat, 32, 205–213.
Al-Merestani, M.R., Zarkawi, M., Wardeh, M., 1999. Early Breeding and Pregnancy Diagnosis in Syrian Awassi Sheep Yearlings. Reproduction in Domestic Animals, 34, 413–416.
Al-Molla, M.M., Kridli, R.T., 2003. Effect of royal jelly on puberty of winter-born Awassi ewe lambs. In: Proc. 54th Annual Meet. EAAP, Book of Abstracts, Roma, Italy, p. 325.
Alnimer, M.A., Tabbaa, M.J., Amasheh, M., Alzyoud, H., 2005. Hormonal treatments and the ram effect on synchronised oestrus in Awassi ewes at the beginning of the breeding season. New Zealand Journal of Agricultural Research, 48, 473–480
Amer, H.A., Hazzaa, A.M., 2009. The effect of different progesterone protocols on the reproductive efficiency of ewes during the non-breeding season. Veterinarski Arhiv, 79, 19–30.
Arendt, J., 1998. Melatonin and the pineal gland: influence on mammalian seasonal and circadian physiology. Reviews of Reproduction, 3, 13–22.
Bartlewski, P.M., Beard, A.P., Cook, S.J., Chandolia, R.K., Honaramooz, A., Rawlings, N.C., 1999. Ovarian antral follicular dynamics and their relationships with endocrine variables throughout the oestrous cycle in breeds of sheep differing in prolificacy. Journal of Rreproduction and Fertility, 115, 111–124.
Bartlewski, P.M., Beard, A.P., Rawlings, N.C., 2000. An ultrasound-aided study of temporal relationships between the patterns of LH/FSH secretion, development of ovulatory-sized antral follicles and formation of corpora lutea in ewes. Theriogenology, 54, 229–245.
Bazer, F., Cunninham, W., Marsh, D., 2007. Pregnancy diagnosis. In: Youngquest, R.S., Threlfall, W.R. (Eds.) Current therapy in large animal theriogenology. Saunders Elsevier, St. Louis, pp. 661–666.
Chemineau, P., Malpaux, B., Delegadillo, J.A., Gue’rin, Y., Ravault, J.P., Thimonier, J., Pelletier, J., 1992. Control of sheep and goat reproduction: use of light and melatonin. Animal Reproduction Science, 30, 157–184.
Degen, A.A., Benjamin, R.W., 2003. Milk intake and growth rate of Awassi lambs sucking ewes grazing on natural pasture in the semi-arid Negev. Animal Science, 76, 455–460.
Doize, F., Vaillancourt, D., Carabin, H., Belanger, D., 1997. Determination of gestational age in sheep and goats using transrectal ultrasonographic measurement of placentomes. Theriogenology, 48, 449–460.
Dufour, J.J., Fahmy, M.H., Minvielle, F., 1984. Seasonal Changes in Breeding Activity, Testicular Size, Testosterone Concentration and Seminal Characteristics in Rams with Long or Short Breeding Season. Journal of Animal Science, 58, 416–422.
Epstein, H., 1985. The Awassi sheep with special reference to the improved dairy type. Food and Agriculture Organization of the United Nations, Rome.
Galal, S., Gürsoy, O., Shaat, I., 2008. Awassi sheep as a genetic resource and efforts for their genetic improvement—A review. Small Ruminant Research, 79, 99–108.
Gonzalez, B. A., Santiago, M. J., Lopez, S. A., 1998. Estimation of fetal development in Manchega dairy ewes by transrectal ultrasonographic measurements. Small Ruminant Research, 27, 243–250.
Gootwine, E., Pollott, G.E., 2000. Factors affecting milk production in Improved Awassi dairy ewes. Animal Science, 71, 607–615.
Gootwine, E., Zenu, A., Bor, A., Yossafi, S., Rosov, A., Pollott, G.E., 2001. Genetic and economic analysis of introgressing the B allele of the FecB (Booroola) gene into Awassi and Assaf dairy breeds. Livestock Production Science, 71, 49–58.
Gürsoy, O., 2005. Small ruminant breeds of Turkey. In: Characterization of the Small Ruminant Breeds in West Asia and North Africa. Vol. 1. West Asia (L. Iniguez ed.). International Center for Agricultural Research in the Dry Areas(ICARDA), Aleppo, Syria. p: 239–416.
Hailat, N., 2005. Small ruminant breeds of Jordan, In: Iniguez, L. (Ed.) Characterization of Small Ruminant Breeds in West Asia, North Africa, West Asia. ICARDA, Aleppo, pp. 30–61.
Hamadeh, S.K., Abi Said, M., Tami, F., Barbour, E.K., 2001. Weaning and the ram-effect on fertility, serum luteinizing hormone and prolactin levels in spring rebreeding of postpartum Awassi ewes. Small Ruminant Research, 41, 191–194.
Husein, M.Q., Haddad, S.G., 2006. A new approach to enhance reproductive performance in sheep using royal jelly in comparison with equine chorionic gonadotropin. Animal Reproduction Science, 93, 24–33.
Husein, M.Q., Kridli, R.T., 2002. Reproductive responses of Awassi ewes treated with either naturally occurring progesterone or synthesis progestagen. Asian-Australasian Journal of Animal Sciences, 15, 1257–1262.
Ibarra, D., Laborde, D., Van-Lier, E., 2000. Repeatability and relationship with field mating performance of a serving capacity pen test in rams. Small Ruminant Research, 37, 156–169.
Jawasreh, K.I.Z., Khasawneh, A.Z., 2007. Genetic evaluation of milk production traits in awassi sheep in jordan. Egyptian Journal of Sheep and Goat Sciences, 2, 83–100.
Kähn, W, 2004. Veterinary reproductive ultrasonography: horse, cattle, sheep, goat, pig, dog, cat. English translation and revision by Volkmann, D. and Kenney, R.M. Schlutersche Verlagsgesellschaft mbH and Co., Hannover, pp 187–212.
Kassem, R., Owen, J.B., Fadel, I. and Whitaker, C.J., 1989. Aspects of fertility and lamb survival of Awassi sheep under semi-arid conditions. Research Development Agriculture, 6, 161–168.
Keisler, D.H., 2007. Sheep breeding strategies, In: Youngquest, R.S., Threlfall, W.R. (2nd Eds.) Current therapy in large animal theriogenology. Saunders Elsevier, St. Louis, pp 649–661.
Kelly R.W., Newnham J.P., Johnson T., Speijers E. J., 1987. An ultrasound technique to measure placental growth in ewes. Australian Journal of Agricultural Research, 38, 757–764.
Kinder, J.E., Bergfeld, E.G., Wehrman, M.E., Peters, K.E., Kojima, F.N., 1995. Endocrine basis for puberty in heifers and ewes. Journal of Reproduction and Fertility. Supplement, 49, 393–407.
Kridli, R.T., Said, S.I., 1999. Libido testing and the effect of exposing sexually naive Awassi rams to estrous ewes on sexual performance. Small Ruminant Research, 32, 149–152.
Kridli, R.T., Abdullah, Y.A., Shaker M.M., AI-Momani Q.A., 2006. Age at Puberty and Some Biological Parameters of Awassi and its First Crosses with Charollais and Romanov Rams. Italian Journal of Animal Science, 5, 193–202.
Kridli, R.T., Abdullah, A.Y., Obeidat, B.S., Qudsieh, R.I., Titi, H.H., Awawdeh, M.S., 2007a. Seasonal variation in sexual performance of Awassi rams. Animal Reprodction, 4, 38–41.
Kridli, R.T., Abdullah, A.Y., Shaker, M.M., Masadeh, M.K., 2007b. Sexual activity and puberty in pure Awassi and crosses and backcrosses with Charollais and Romanov sheep breeds. New Zealand Journal of Agricultural Research, 50, 429–436.
Kridli, R.T., Abdullah, Y.A., Shaker, M.M., Al-Smadi, N.M., 2007c. Reproductive performance and milk yield in Awassi ewes following crossbreeding. Small Ruminant Research, 71, 103–108.
Kridli, R.T., Abdullah, A.Y., Shaker, M.M., Mahmoud, K.Z., 2008. Sexual performance of rams sequentially exposed to short-tailed and fat-tailed ewes. Reproduction in Domestic Animals, 43, 497–501.
Lafi, S. Q., Talafha, A. Q., Giadinis, N., Kalaitzakis, E., Pourliotis, K., Panousis, N. 2009. Factors affecting the reproductive performance of Awassi sheep flocks in North-East of Jordan: An epidemiological study. Tropical Animal Health and Production, 41:1755–1764
Lindsay, D.R., 1991. Reproduction in the sheep and goat, In: Cupps, P.T. (Ed.) Reproduction in domestic animals. Academic press Inc., San Diego, pp. 491–515.
Motlomelo, K.C., Greyling, J.P.C., Schwalbach, L.M.J., 2002. Synchronization of oestrus in goats: the use of different progestagen treatments. Small Ruminant Research, 45, 45–49.
Ozyurtlu, N., Kucukaslan, I., Cetin, Y., 2010. Characterization of Oestrous InductionResponse, Oestrous Duration, Fecundity and Fertility in Awassi Ewes During the Non-breeding Season Utilizing both CIDR and Intravaginal Sponge Treatments. Reproduction in Domestic Animals, 45, 464–467.
Pineda, M.H., 2003. Reproductive patterns of Sheep and Goats, In: Pineda, M.H., Dooly, M.P. (Eds.) McDonald’s Veterinary Endocrinology and Reproduction. Blackwell, Ames, pp. 435–446.
Pollott, G.E., Gootwine, E., 2004. Reproductive Performance and Milk Production of Assaf Sheep in an Intensive Management System. Journal of Dairy Science, 87, 3690–3703.
Price, E.O., Estep, D.Q., Wallach, S.J.R., Dally, M.R., 1991. Sexual performance of rams as determined by maturation and sexual experience. Journal of Animal Science, 69, 1047–1052.
Price, E.O., Borgwardt, R., Dally, M.R., 1993. Effect of ewe restraint on the libido and serving capacity of rams. Applied Animal Behaviour Science, 35, 339–345.
Ravindra, J.P., Rawlings, N.C., Evans, A.C.O., Adams, G.P., 1994. Ultrasonographic study of ovarian follicular dynamics in ewes during the oestrous cycle. Journal of Reproduction and Fertility, 101, 501–509.
Rawlings, N.C., Bartlewski, P.M., 2007. Clinical reproductive physiology of the ewe, In: Youngquest, R.S., Threlfall, W.R. (2nd Eds.) Current therapy in large animal theriogenology. Saunders Elsevier, St. Louis, pp. 642–648.
Rosa, H.J.D., Bryant, M.J., 2002. The ‘ram effect’ as a way of modifying the reproductive activity in the ewe. Small Ruminant Research, 45, 1–16.
Roselli, C.E., Larkin, K., Resko, J.A., Stellflug, J.N., Stormshak, F., 2004. The volume of a sexually dimorphic nucleus in the ovine medial preoptic area/anterior hypothalamus varies with sexual partner preference. Endocrinology, 145, 478–483.
Salhab, S.A., Zarkawi, M., Wardeh, M.F., Al-Masri, M.R., Kassem, R., 2003. Characterization and evaluation of semen in growing Awassi ram lambs. Tropical Animal Health and Production, 35, 455–463.
Scaramuzzi, R.J., Adams, N.R., Baird, D.T., Campbell, B.K., Downing, J.A., Findlay, J.K., Henderson, K.M., Martin, G.B., McNatty, K.P., McNeilly, A.S., 1993. A model for follicle selection and the determination of ovulation rate in the ewe. Reproduction, Fertility, and Development, 5, 459–478.
Schindler, H., Amir, D., 1972. Length of oestrus, duration of phenomena related to oestrus, and ovulation time in the local fat-tailed Awassi ewe. Journal of Agricultural Science, 78, 151–156.
Senger, P.L., 2003. Pathways to pregnancy and parturition, 2nd Edition. Current Conceptions Inc., Pullman
Smith, J.F., 1985. Protein, energy and ovulation rate. In: Genetics of reproduction in sheep. Butterworths, London, pp 349–360.
Tabbaa, M.J., Kridli, R.T., Al-Ghalban, A., Barakeh, F.S., 2006. Age-related changes in scrotal circumference and some semen characteristics in Awassi rams. Animal Reproduction, 3, 431–438.
Thomson, E.F., Bahhady, F.A., 1988. A note on live weight at mating on fertility of Awassi ewes in semi-arid North-West Syria. Animal Production, 47, 505–508.
Titi, H.H., Kridli, R.T., Alnimer, M.A., 2010. Estrus Synchronization in Sheep and Goats Using Combinations of GnRH, Progestagen and Prostaglandin F2α. Reproduction in Domestic Animals, 45, 594–599.
Turk, G., Gur, S., Sonmez, M., Bozkurt, T., Aksu, E.H., Aksoy, H., 2008. Effect of exogenous GnRH at the time of artificial insemination on reproductive performance of Awassi ewes synchronized with progestagen-PMSG-PGF2α combination. Reproduction in Domestic Animals, 43, 308–313.
Ward, W.R., 1986. The breeding season and the estrous cycle, In: Morrow, D.A. (Ed.) Current therapy in theriogenology. Saunders, Philadelphia, Pennsylvania, pp. 846–847.
Zarkawi, M., 1997. Monitoring the reproductive performance in Awassi Ewes using progesterone radioimmunoassay. Small Ruminant Research, 26, 291–294
Zarkawi, M., Al-Merestani, M.R. Wardeh, M.F., 1999. Induction of synchronized oestrous and early pregnancy diagnosis in Syrian Awassi ewes, outside the breeding season. Small Ruminant Research, 33, 99–102
Author information
Authors and Affiliations
Corresponding author
Rights and permissions
About this article
Cite this article
Talafha, A.Q., Ababneh, M.M. Awassi sheep reproduction and milk production: review. Trop Anim Health Prod 43, 1319–1326 (2011). https://doi.org/10.1007/s11250-011-9858-5
Accepted:
Published:
Issue Date:
DOI: https://doi.org/10.1007/s11250-011-9858-5


