Abstract
During running-in period, the friction coefficient and roughness profile of contacting elements experience drastic changes as a result of asperities deformation and wear. These transient changes affect the steady-state performance of mechanical elements such as gears, cam followers, and bearings. An experimental study on the effect of running-in operating conditions on the properties of a tribosystem is conducted using a pin-on-disk test rig. Curve-fit relationships are developed based on the experimental data to relate running-in duration, friction coefficient, and running-in weight loss to load, speed, and surface roughness. A model to predict the steady-state friction coefficient in the lubricated contact of pin and disk is developed based on the load-sharing concept.
This is a preview of subscription content, access via your institution.














Abbreviations
- A :
-
Area of contact ellipse (m2)
- A p :
-
Area of asperity (m2)
- [A]:
-
Matrix of coefficients
- D x :
-
Diameter of contact ellipse along x axis (m)
- D y :
-
Diameter of contact ellipse along y axis (m)
- d e :
-
Coefficient for asperities height comparison (m)
- Ε :
-
Modulus of elasticity (Pa)
- E′ :
-
Effective elastic modulus (Pa)
- F :
-
Complete elliptic integral of first kind
- F C :
-
Load carried by asperities (N)
- F H :
-
Load carried by lubricant film (N)
- F T :
-
Applied Load (N)
- F ie :
-
Load carried by one asperity in elastic area (N)
- F ieP :
-
Load carried by one asperity in elasto-plastic area (N)
- F iP :
-
Load carried by one asperity in plastic area (N)
- Ff,C :
-
Friction force related to asperities (N)
- F f,H :
-
Friction force related to film (N)
- F f :
-
Total friction force (N)
- f ini :
-
Initial friction coefficient
- f st :
-
Steady-state friction coefficient
- f c :
-
Friction coefficient of the tip of asperities
- f :
-
Friction coefficient by model
- G :
-
Dimensionless material parameter
- H c :
-
Dimensionless film thickness for elliptical conjunction
- h c :
-
Central film thickness (m)
- K :
-
Ellipticity parameter
- L r :
-
Running-in distance (m)
- p m :
-
Average Hertzian pressure (N/m2)
- R :
-
Curvature sum (m)
- R x :
-
Effective radius in x direction (m)
- R y :
-
Effective radius in y direction (m)
- R d :
-
Curvature difference (m)
- R :
-
Radius (m)
- R a :
-
Surface roughness (µm)
- S :
-
Slope of the friction–distance curve
- U :
-
Dimensionless speed parameter
- u dif :
-
Equivalent velocity between tow surfaces (m/s)
- \(\overline{u}\) :
-
Mean surface velocity in x direction (m/s)
- V :
-
Relative velocity between pin and disk (m/s)
- \(\overline{v}\) :
-
Mean surface velocity in y direction (m/s)
- W :
-
Dimensionless load parameter
- W L :
-
Disks’ weight loss (10−4 gr)
- w i :
-
Equivalent height for asperities (m)
- w e :
-
Asperity critical height for elastic deformation (m)
- w p :
-
Asperity critical height for plastic deformation (m)
- [X]:
-
Matrix for input parameters
- x,y :
-
Cartesian coordinates
- [Y]:
-
Matrix for output parameters
- Z i :
-
Height of asperity (m)
- α r :
-
Radius ratio
- β :
-
Asperity radius (m)
- γ 1 :
-
Lubricant load-sharing scaling factor
- η 0 :
-
Absolute viscosity at ambient condition (Pa.s)
- η rol :
-
Roeland’s viscosity (Pa.s)
- ν :
-
Poisson’s ratio
- ξ :
-
Pressure–viscosity coefficient (m2/N)
- Ï„ H :
-
Lubricant shear stress (N/m2)
References
Akbarzadeh, S., Khonsari, M.M.: Experimental and theoretical investigation of running-in. Tribol. Int. 44, 92–100 (2011)
Blau, P.J.: On the nature of running-in. Tribol. Int. 38, 1007–1012 (2005)
Tyfour, W.R., Beynon, J.H., Kapoor, A.: The steady-state wear behavior of pearlitic rail steel under dry rolling-sliding contact conditions. Wear 180, 79–89 (1995)
Paczelta, I., Mroz, Z.: On the analysis of steady-state sliding wear processes. Tribol. Int. 42, 275–283 (2009)
Beheshti, A., Khonsari, M.M.: An engineering approach for the prediction of wear in mixed lubricated contacts. Wear 308, 121–131 (2013)
Beheshti, A., Khonsari, M.M.: A thermodynamic approach for prediction of wear Coefficient under unlubricated sliding condition. Tribol. Lett. 38, 347–354 (2010)
Wu, Sh: A sliding wear model for partial-EHL contacts. ASME J. Tribol. 113, 134–141 (1991)
Burwell, J.T., Strang, C.D.: On the empirical law of adhesive wear. J. Appl. Phys. 23, 1–19 (1952)
Stolarski, T.A.: Adhesive wear of lubricated contacts. Tribol. Int. 12, 169–179 (1979)
Blau, P.J., Devore, C.E.: Interpretations of the sliding friction break-in curves of alumina–aluminum couples. Wear 129, 81–92 (1989)
Blau, P.J.: Mechanisms for transitional friction and wear behavior of sliding metals. Wear 72, 55–66 (1981)
Lue, Q.: Origin of friction in running-in sliding wear of nitride coatings. Tribol. Lett. 37, 529–539 (2010)
Blau, P.J.: Interpretations of the friction and wear break-in behavior of metals in sliding contact. Wear 71, 29–43 (1981)
Kumar, R., Prakash, B., Sethuramiah, A.: A systematic methodology to characterize the running-in and steady-state wear processes. Wear 252, 445–453 (2002)
Mezghani, S., Demirci, I., Yousfi, M., El Mansouri, M.: Running-in wear modeling of honed surface for combustion engine cylinderliners. Wear 302, 1360–1369 (2013)
Blau, P.J.: Friction, Science and Technology. Marcel Dekker, New York (1996)
Johnson, K.L., Greenwood, J.A., Poon, S.Y.: A simple theory of asperity contact in elastohydrodynamic lubrication. Wear 19, 91–108 (1979)
Gelinck, E.R.M., Schipper, D.J.: Calculation of Stribeck curves for line contact. Tribol. Int. 22, 175–181 (2000)
Lu, X., Khonsari, M.M., Gelinck, E.R.M.: The Stribeck curve: experimental results and theoretical prediction. ASME J. Tribol. 128, 784–794 (2006)
Akbarzadeh, S., Khonsari, M.M.: Performance of spur gears considering surface roughness and shear-thinning lubricant. ASME J. Tribol. 130, 021503–021510 (2008)
Akbarzadeh, S., Khonsari, M.M.: Thermoelastohydrodynamic analysis of spur gears with consideration of spur gears. Tribol. Lett. 32, 129–141 (2008)
Akbarzadeh, S., Khonsari, M.M.: On the prediction of running-in behavior in mixed-lubrication line contact. ASME J. Tribol 32, 032102–032112 (2010)
Ebrahimi Serest, A., Akbarzadeh, S.: Mixed-elastohydrodynamic analysis of helical gears using load-sharing concept. Proc. Inst. Mech. Eng. Part J. 228, 320–331 (2014)
Bahrami Ghahnavieh, A., Akbarzadeh, S., Mosaddegh, P.: A numerical study on the performance of straight bevel gears operating under mixed-lubrication regime. Mech. Mach. Theory 75, 27–40 (2014)
Sojoudi, H., Khonsari, M.M.: On the behavior of friction in lubricated point contact with provision for surface roughness. ASME J. Tribol 132, 012102-1–012102-8 (2010)
Masjedi, M., Khonsari, M.M.: On the effect of surface roughness in point-contact EHL: formulas for film thickness and asperity load. Tribol. Int. 82, 228–244 (2015)
Beheshti, A Khonsari, M.M.: On the contact of curved rough surfaces: contact behavior and predictive formulas, ASME J. Appl. Mech
Khonsari, M.M., Booser, E.R.: Applied tribology bearing design and lubrication. Wiley, West Sussex (2008)
Hamrock, B.J.: Fundamentals of fluid film lubrication. McGraw Hill, New York (1994)
Faraon, I.C.: Mixed Lubricant Line Contacts. Ph.D Thesis, University of Twente, Enschede, (2005)
Greenwood, J.A., Williamson, J.B.P.: Contact of nominally flat surfaces. Proc. R. Soc. Lond. Ser. A 295, 300–319 (1966)
Harris, T.A.: Rolling Bearing Analysis. Wiley, New York (2001)
Tabor, D.: The hardness of metals. Oxford University Press, Oxford (1951)
Johnson, K.L.: Contact mechanics. Cambridge University Press, UK (1985)
Zhao, Y., Maietta, D.M., Chang, L.: An asperity microcontact model incorporating the transition from elastic deformation to fully plastic flow. ASME J. Tribol 122, 86–93 (2000)
Masjedi, M., Khonsari, M.M.: Film thickness and asperity load formulas for line-contact elastohydrodynamic lubrication with provision for surface roughness. ASME J. Tribol 134, 011503 (2012)
Author information
Authors and Affiliations
Corresponding author
Appendices
Appendix 1
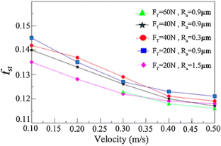
Test number | Applied load (N) | Initial surface roughness (µm) | Relative speed (m/s) | f ini | f st | L r (m) | W L (10−4 gr) |
|---|---|---|---|---|---|---|---|
1 | 20 | 0.3 | 0.1 | 0.152 | 0.145 | 470 | 12 |
2 | 20 | 0.3 | 0.2 | 0.151 | 0.136 | 390 | 10 |
3 | 20 | 0.3 | 0.3 | 0.151 | 0.135 | 350 | 10 |
4 | 20 | 0.3 | 0.4 | 0.149 | 0.130 | 310 | 8 |
5 | 20 | 0.3 | 0.5 | 0.153 | 0.130 | 310 | 7 |
6 | 20 | 0.9 | 0.1 | 0.167 | 0.145 | 380 | 16 |
7 | 20 | 0.9 | 0.2 | 0.165 | 0.135 | 350 | 18 |
8 | 20 | 0.9 | 0.3 | 0.164 | 0.127 | 290 | 15 |
9 | 20 | 0.9 | 0.4 | 0.165 | 0.123 | 270 | 13 |
10 | 20 | 0.9 | 0.5 | 0.164 | 0.121 | 250 | 13 |
11 | 20 | 1.5 | 0.1 | 0.176 | 0.135 | 300 | 24 |
12 | 20 | 1.5 | 0.2 | 0.174 | 0.128 | 280 | 21 |
13 | 20 | 1.5 | 0.3 | 0.176 | 0.122 | 230 | 19 |
14 | 20 | 1.5 | 0.4 | 0.173 | 0.119 | 210 | 18 |
15 | 20 | 1.5 | 0.5 | 0.174 | 0.118 | 200 | 15 |
16 | 40 | 0.3 | 0.1 | 0.149 | 0.142 | 420 | 19 |
17 | 40 | 0.3 | 0.2 | 0.151 | 0.137 | 350 | 16 |
18 | 40 | 0.3 | 0.3 | 0.151 | 0.129 | 300 | 16 |
19 | 40 | 0.3 | 0.4 | 0.150 | 0.121 | 250 | 12 |
20 | 40 | 0.3 | 0.5 | 0.149 | 0.119 | 250 | 13 |
21 | 40 | 0.9 | 0.1 | 0.165 | 0.140 | 340 | 26 |
22 | 40 | 0.9 | 0.2 | 0.164 | 0.133 | 300 | 20 |
23 | 40 | 0.9 | 0.3 | 0.164 | 0.126 | 270 | 20 |
24 | 40 | 0.9 | 0.4 | 0.166 | 0.120 | 230 | 18 |
25 | 40 | 0.9 | 0.5 | 0.163 | 0.117 | 200 | 17 |
26 | 40 | 1.5 | 0.1 | 0.175 | 0.135 | 280 | 41 |
27 | 40 | 1.5 | 0.2 | 0.173 | 0.130 | 240 | 31 |
28 | 40 | 1.5 | 0.3 | 0.173 | 0.123 | 210 | 28 |
29 | 40 | 1.5 | 0.4 | 0.174 | 0.117 | 200 | 28 |
30 | 40 | 1.5 | 0.5 | 0.174 | 0.116 | 190 | 25 |
31 | 60 | 0.3 | 0.3 | 0.149 | 0.125 | 280 | 20 |
32 | 60 | 0.3 | 0.4 | 0.150 | 0.120 | 250 | 17 |
33 | 60 | 0.3 | 0.5 | 0.150 | 0.119 | 220 | 15 |
34 | 60 | 0.9 | 0.3 | 0.164 | 0.123 | 250 | 28 |
35 | 60 | 0.9 | 0.4 | 0.164 | 0.118 | 220 | 22 |
36 | 60 | 0.9 | 0.5 | 0.164 | 0.116 | 210 | 20 |
37 | 60 | 1.5 | 0.3 | 0.174 | 0.123 | 190 | 42 |
38 | 60 | 1.5 | 0.4 | 0.176 | 0.118 | 170 | 30 |
39 | 60 | 1.5 | 0.5 | 0.173 | 0.118 | 160 | 29 |
Appendix 2
Test number | Repeatability | f ini | f st | L r (m) | WL (10−4 gr) | ∆ f ini (%) | ∆ f st (%) | ∆ Lr (%) | ∆ W L (%) |
|---|---|---|---|---|---|---|---|---|---|
Test 1 | 1 | 0.152 | 0.145 | 470 | 12 | 2 | 0.7 | 4.2 | 8.3 |
2 | 0.155 | 0.146 | 450 | 13 | |||||
Test 4 | 1 | 0.149 | 0.130 | 310 | 8 | 2 | 1.5 | 0 | 12.5 |
2 | 0.146 | 0.128 | 310 | 7 | |||||
Test 8 | 1 | 0.164 | 0.127 | 290 | 15 | 0.6 | 0.8 | 10.3 | 13.3 |
2 | 0.165 | 0.128 | 260 | 13 | |||||
Test 15 | 1 | 0.174 | 0.118 | 200 | 15 | 1.2 | 3.4 | 5 | 6.7 |
2 | 0.172 | 0.114 | 210 | 16 | |||||
Test 17 | 1 | 0.151 | 0.137 | 350 | 16 | 0.7 | 0 | 2.9 | 12.5 |
2 | 0.150 | 0.137 | 360 | 18 | |||||
Test 21 | 1 | 0.165 | 0.140 | 340 | 26 | 3.7 | 0.7 | 2.9 | 11.5 |
2 | 0.159 | 0.139 | 350 | 23 | |||||
Test 24 | 1 | 0.166 | 0.120 | 230 | 18 | 2.4 | 2.4 | 0 | 0 |
2 | 0.162 | 0.118 | 230 | 18 | |||||
Test 28 | 1 | 0.173 | 0.123 | 210 | 28 | 1.2 | 0.8 | 9.5 | 10.7 |
2 | 0.171 | 0.124 | 190 | 31 | |||||
Test 33 | 1 | 0.150 | 0.119 | 220 | 15 | 0 | 3.4 | 4.5 | 6.7 |
2 | 0.150 | 0.115 | 230 | 14 | |||||
Test 35 | 1 | 0.164 | 0.118 | 200 | 22 | 0.6 | 1.6 | 4.5 | 6.7 |
2 | 0.163 | 0.120 | 200 | 20 |
Rights and permissions
About this article
Cite this article
Mehdizadeh, M., Akbarzadeh, S., Shams, K. et al. Experimental Investigation on the Effect of Operating Conditions on the Running-in Behavior of Lubricated Elliptical Contacts. Tribol Lett 59, 6 (2015). https://doi.org/10.1007/s11249-015-0538-x
Received:
Accepted:
Published:
DOI: https://doi.org/10.1007/s11249-015-0538-x
Keywords
- Wear
- Running-in
- Pin-on-disk
- Least square method
- Load-sharing