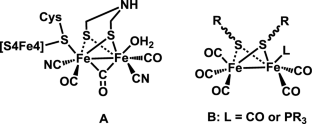
Abstract
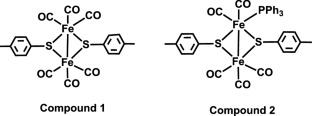
A bis(p-toluenethiolato) dinuclear-carbonyl complex with triphenylphosphine coligand, [μ-(SC6H4CH3-p)2Fe2(CO)5(PPh3)], has been synthesized from [μ-(SC6H4CH3-p))2Fe2(CO)6] via facile CO substitution by PPh3 in 33% yield. The structure of [μ-(SC6H4CH3-p)2Fe2(CO)5(PPh3)] has been determined by X-ray crystallography and spectroscopic measurements. In the solid state, the compound adopts a butterfly conformation with anti-orientation of the p-tolyl groups and apical position of triphenylphosphine. Thermogravimetric studies reveal that [μ-(SC6H4CH3-p)2Fe2(CO)5(PPh3)] undergoes sequential decomposition eliminating all of the CO ligands at ca 197 °C, followed by cleavage of the tolyl and PPh3 groups below ca 258 °C.
This is a preview of subscription content, access via your institution.










References
Peters JW, Lanzilotta WN, Lemon BJ, Seefeldt LC (1998) Science 282:1853–1858
Nicolet Y, Piras C, Legrand P, Hatchikian CE, Fontecilla-Camps JC (1999) Structure 7:13–23
Pandey AS, Harris TV, Giles LJ, Peters JW, Szilagyi RK (2008) J Am Chem Soc 130:4533–4540
Nicolet Y, Cavazza C, Fontecilla-Camps JC (2002) J Inorg Biochem 91:1–8
Liu Y-C, Yen T-H, Chu K-T, Chaing M-H (2016) Comment Inorg Chem 36:141–181
Gao S, Liu Y, Shao Y, Jiang D, Duan Q (2020) Coord Chem Rev 402:213081
Pandey IK, Natarajan M, Kaur-Chumaan S (2015) J Inorg Biochem 143:88–110
Felton GN, Mebi CA, Petro BJ, Vannucci AK, Evans DH, Glass RS, Lichtenberger DL (2009) J Organomet Chem 694:2681–2699
Capon J-F, Gloaguen F, Schollhammer P, Talarmin J (2005) Coord Chem Rev 249:1664–1676
Johnson SL, Gerasimchuk NN, Mebi CA (2018) Inorg Chim Acta 477:306–311
Mebi CA, Karr DS, Noll BC (2013) Polyhedron 50:164–168
Mebi CA, Trujillo JJ, Rosenthal BL, Bowman RB, Noll BC, Desrochers PJ (2012) Transit Met Chem 37:645–650
Mebi CA, Noll BC, Gao R, Karr D (2010) Z Anorg Allg Chem 15:2550–2554
Haley AL, Broadbent LN, McDaniel LS, Heckman ST, Hinkle CH, Gerasimchuk NN, Hershberger JC, Mebi CA (2016) Polyhedron 114:218–224
Pandey IK, Mookan Natarajan M, Faujda H, Hussain F, Stein M, Kaur-Ghumaan S (2018) Dalton Trans 47:4941–4949
Wright RJ, Lim C, Tilley TD (2009) Chem Eur J 15:8518–8525
Suchland B, Malassa A, Görls H, Krieck S, Westerhausen M (2020) Z Anorg Allg Chem 646:125–132
Zhang X, Ma X, Zhang T, Li B, Jiang S, Zhang G, Hai L, Wanga J, Shaoa X (2018) RSC Adv 8:42262–42268
Software Package for Crystal Structure Solution (2013) APEX 2. Bruker AXS, Madison
Agarwal T, Kaur-Ghumaan S (2020) Inorg Chim Acta 504:119442
Natarajan M, Pandey KT, Kaur-Gurmaan S (2007) ChemistrySelect 2:1637–1644
Tolman CA (1977) J Am Chem Soc 77:313–348
Britvin SN, Lotnyk A (2015) J Am Chem Soc 137:5526–5535
Hor TSA, Chan HSO, Chiam CSM, Lim KH (1988) Thermochim Acta 128:175–184
Saleem M, Sharma M, Mahajan S, Sheikh HN, Kalsotra BL (2012) E-J Chem 9:807–817
Connor JA, Göbel A (1995) J Chem Thermodyn 27:605–611
Li Y, Rauchfuss TB (2016) Chem Rev 116:7043–7077
Acknowledgements
The authors gratefully acknowledge support for this work from Arkansas Tech University and NASA—Arkansas Space Grant Consortium. NG is grateful for the Missouri State University College of Natural and Applied Sciences continuous support of the XRD laboratory.
Author information
Authors and Affiliations
Corresponding author
Additional information
Publisher's Note
Springer Nature remains neutral with regard to jurisdictional claims in published maps and institutional affiliations.
Electronic supplementary material
Below is the link to the electronic supplementary material.
Rights and permissions
About this article
Cite this article
Martinez, J.A., Gerasimchuk, N.N. & Mebi, C.A. Synthesis, crystal structure, and thermal behavior of a diiron toluenethiolate complex with triphenylphosphine coligand. Transit Met Chem 45, 569–575 (2020). https://doi.org/10.1007/s11243-020-00409-5
Received:
Accepted:
Published:
Issue Date:
DOI: https://doi.org/10.1007/s11243-020-00409-5