Abstract
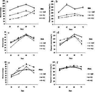
Bixa orellana L. is a tree native to South America known for its reddish orange pigment ‘annatto’ produced only on the aril portion of its seeds. It is the most preferred natural food colorant next to saffron, having wide applications in the dairy industry and also as a cosmeceutical. Normal root cultures of B. orellana were established under in vitro conditions on Murashige and Skoog (MS) medium containing α-naphthaleneacetic acid (NAA), indole-3-butyric acid (IBA) and indole-3-acetic acid (IAA) at 0.05–0.2 mg l−1. The annatto pigment from in vitro-raised normal roots was extracted with chloroform, and later the ethanol-dissolved extract was analyzed both qualitatively by thin-layer chromatography (TLC) and spectrophotometrically quantified followed by High Performance Liquid Chromatography (HPLC) confirmation. The maximum amount of annatto pigment (346 ± 3.8 mg/100 g dry wt.) and maximum root biomass (152 ± 2.5 mg dry wt.) were recorded after 45 and 60 days of growth, respectively, on MS medium containing 0.1 mg l−1 indole-3-butyric acid (IBA). Producing annatto pigment from normal root cultures under in vitro conditions is a novel approach when compared to the natural annatto pigment that is produced only on the aril portion of seeds. This allows the production of fresh pigment throughout the year.



References
Bhaskaran P, Jayabalan N (2009) Psoralen production in hairy roots and adventitious roots cultures of Psoralea coryfolia. Biotechnol Lett 31:1073–1077
Choffe KL, Murch SJ, Saxena PK (2000) Regeneration of Echinacea purpurea: induction of root organogenesis from hypocotyl and cotyledon explants. Plant Cell Tiss Org Cult 62:227–234
Giridhar P, Rajasekaran T, Ravishankar GA (2005) Improvement of growth and root specific flavor compound 2-hydroxy-4methoxy benzaldehyde of micropropagated plants of Decalepis hamiltonii Wight & Arn., under triacontanol treatment. Sci Hortic 106:228–236
Jako C, Coutu C, Roewer I, Reed DW, Pelcher LE, Covello PS (2002) Probing carotenoid biosynthesis in developing seed coats of Bixa orellana (Bixaceae) through expressed sequence tag analysis. Plant Sci 163:141–145
Klingner A, Hundeshagen B, Kernebeek H, Bothe H (1995) Localization of the yellow pigment formed in roots of gramineous plants colonized by arbuscular fungi. Protoplasma 185:50–57
Kolesnik AA, Zherebin YL, Drobot IV, Kapustina VV, Federova TP (1989) Liposoluble pigments in edible roots of Beta vulgaris. Chem Nat Comp 24:604–606
McCullagh JV, Ramos N (2008) Separation of the carotenoid bixin from annatto seeds using thin layer and column chromatography. J Chem Edu 85:948–950
McKeown GG, Mark F (1962) The composition of oil soluble annatto food colour. J Assoc Off Agric Chem 45:761–766
Murashige T, Skoog F (1962) A revised medium for rapid growth and bioassays with tobacco cultures. Physiol Plant 15:473–497
Paiva Neto VB, Reis LB, Finger FL, Barros RS, Carvalho CR, Otoni WC (2009) Involvement of ethylene in the rooting of seedling shoot cultures of Bixa orellana L. In Vitro Cell Dev Biol Plant 45:693–700
Parimalan R, Giridhar P, Gururaj HB, Ravishankar GA (2007) Organogenesis from cotyledon and hypocotyl-derived explants of japhara (Bixa orellana L.). Acta Bot Croat 66:153–160
Parimalan R, Giridhar P, Ravishankar GA (2010a) Enhanced shoot organogenesis in Bixa orellana L. in the presence of putrescine and silver nitrate. Plant Cell Tiss Organ Cult. doi: 10.1007/s11240-010-9865-7 (in press)
Parimalan R, Akshatha V, Giridhar P, Ravishankar GA (2010b) Somatic embryogenesis and Agrobacterium-mediated transformation in (Bixa orellana L.). Plant Cell Tiss Organ Cult. doi: 10.1007/s11240-010-9870-x (in press)
Rhee HS, Cho H-Y, Son SY, Yoon S-YH, Park JM (2010) Enhanced accumulation of decursin and decursinol angelate in root cultures and intact roots of Angelica gigas Nakai following elicitation. Plant Cell Tiss Organ Cult 101:295–302
Scotter MJ, Thorpe SA, Reynolds SL, Wilson LA, Strutt PR (1994) Characterization of the principal coloring compounds of annatto using high performance liquid chromatography with photo diode array detector. Food Addit Contam 11:301–315
Shilpa K, Selvakkumar C, Senthil AK, Lakshmi BS (2009) In vitro root culture of Ocimum sanctum L and evaluation of its free radical scavenging activity. Plant Cell Tiss Organ Cult 101:105–109
Simoes C, Bizarri CHB, Cordeiro LS, Castro TC, Coutada LCM, Silva AJB, Albarello N, Mansur E (2009) Anthocyanin production in callus cultures of Cleome rosea: Modulation by culture conditions and characterization of pigments by means of HPLC-DAD/ESIMS. Plant Physiol Biochem 47:895–903
Sreekumar S, Seeni S, Pushpangadan P (1998) Production of 2-hydroxy-4-methoxy benzaldehyde using root cultures of Hemidesmus indicus. Biotechnol Lett 20:631–635
Sridevi V, Giridhar P, Simmi PS, Ravishankar GA (2010) Direct shoot organogensis on hypocotyls explants with collar region from in vitro seedlings of Coffea canephora Pierrre ex. Frohner cv. CxR and Agrobacterium tumefaceins-mediated transformation. Plant Cell Tiss Organ Cult 101:339–347
Sudha CG, Seeni S (2001) Establishment and analysis of fast—growing normal root culture of Decalepis arayalpathra a rare endemic medicinal plant. Curr Sci 81:371–374
Acknowledgments
The authors wish to thank Department of Biotechnology, New Delhi, for the research grant and the author R.P. is grateful to CSIR, India, for his research fellowship.
Author information
Authors and Affiliations
Corresponding author
Rights and permissions
About this article
Cite this article
Mahendranath, G., Venugopalan, A., Parimalan, R. et al. Annatto pigment production in root cultures of Achiote (Bixa orellana L.). Plant Cell Tiss Organ Cult 106, 517–522 (2011). https://doi.org/10.1007/s11240-011-9931-9
Received:
Accepted:
Published:
Issue Date:
DOI: https://doi.org/10.1007/s11240-011-9931-9