Abstract
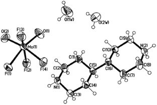
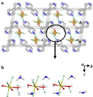
Two molybdenum (VI) hydrogen-bonded network polymers [MoO2F4]·(4,4′-H2bpd)(H2O)2 (1) and [MoO2Cl3(H2O)]·(4,4′-H2bpd)Cl (2) (bpd = bipiperidine) have been synthesized and examined as catalysts for epoxidation of cyclooctene. Complexes of the Mo compounds containing the bpd ligand are prepared and characterized by infrared spectroscopy, thermogravimetric and elemental analyses. They have been structurally characterized by single crystal X-ray diffraction analysis. The structures of both the complexes are shown to be comprised of molybdenum and two protonated N-ligand cations that have resulted in a cross-linked hydrogen-bonded network structure. These complexes are applicable as catalysts for the cis-cyclooctene epoxidation reactions with hydrogen peroxide as a source of oxygen and NaHCO3 as a cocatalyst. It has been observed that the formation of the oxidant peroxymonocarbonate ion, HCO4 − by hydrogen peroxide and bicarbonate enhances the epoxidation reaction. Both the complexes have exhibited a good activity and a very high selectivity for the formation of cyclooctene oxide.
This is a preview of subscription content, access via your institution.







References
Lehn J-M (2002) Proc Natl Acad Sci USA 99:4763
Doyle AG, Jacobsen EN (2007) Chem Rev 107:5713
van Albada GA, Dominicus I, Mutikainen I, Turpeinen U, Reedijk J (2007) Polyhedron 26:3731
Li YG, Wang EB, Zhang H, Luan GY, Hu WHJ (2001) Solid State Chem 163:10
Zaworotko MJ (1994) Chem Soc Rev 23:283
Etler MC (1990) Acc Chem Res 23:120
Clarke R, Cole-Hamilton DJ (1993) J Chem Soc Dalton Trans 24:1913
Arnaiz FJ, Aguado R, Ilarduya JMM (1994) Polyhedron 13:3257
Kühn FE, Herdtweck E, Haider JJ, Herrmann WA, Gonçalves IS, Lopes AD, Romão CCJ (1999) Organomet Chem 583:3
Kühn FE, Lopes AD, Santos AM, Herdtweck E, Haider JJ, Romão CC, Santos AGJ (2000) Mol Catal Chem 151:147
Kühn FE, Santos AM, Lopes AD, Gonçalves IS, Herdtweck E, Romão CCJ (2000) Mol Cat A 164:25
Kühn FE, Santos AM, Gonçalves IS, Romão CC, Lopes AD (2001) Appl Organomet Chem 15:43
Groarke M, Gonçalves IS, Herrmann WA, Kühn FEJ (2002) Organomet Chem 649:108
Kühn FE, Groarke M, Bencze E, Herdtweck E, Prazeres A, Santos AM, Calhorda MJ, Romão CC, Gonçalves IS, Lopes AD, Pillinger M (2002) Chem Eur J 8:2370
Valente AA, Moreira J, Lopes AD, Pillinger M, Nunes CD, Romão CC, Kühn FE, Gonçalves IS (2004) New J Chem 28:308
Wang G, Chen G, Luck RL, Wang Z, Mu Z, Evans DG, Duan X (2004) Inorg Chim Acta 357:3223
Gonçalves IS, Santos AM, Romão CC, Lopes AD, Rodríguez-Borges JE, Pillinger M, Ferreira P, Rocha J, Kühn FEJ (2001) Organomet Chem 626:1
Rodríguez-Borges JE, Pillinger M, Romão CC, Rocha J, García-Mera X (2001) New J Chem 25:959
Valente AA, Petrovski Z, Pillinger M, Lopes AD, Romão CC, Gonçalves ISJ (2004) Mol Cat A 218:5
Kühn FE, Santos AM (2006) Abrantes M Chem Rev 106:2455
Kühn FE, Santos AM, Lopes AD, Gonçalves IS, Rodríguez-Borges JE, Pillinger M, Romão CCJ (2001) Organomet Chem 621:207
Luan Y, Wang G, Luck RL, Yang M (2007) Eur J Inorg Chem 9:1215
(1996) SMART and SAINT software packages; Siemens Analytical X-ray Instruments, Madison, WI
Sheldrick GM (1997) SHELXL Program, version 5.1. Siemens Industrial Automation, Madison, WI
Mayer JM (1988) Inorg Chem 27:3899
Altermatt D, Brown ID (1985) Acta Cryst B41:240
Bruno SM, Monteiro B, Balula MS, Pedro FM, Abrantes M, Valente AA, Pillinger M, Ribeiro-Claro P, Kühn FE, Gonçalves IS (2006) J Mol Catal Chem 260:11
Petrovskia Ž, Pillinger M, Valente AA, Gonçalves IS, Hazell A, Romão CC (2005) J Mol Catal Chem 227:67
Feng LS, Urnezius E, Luck RLJ (2008) Organomet Chem 693:1564
Richardson DE, Yao H, Frank KM, Bennett DAJ (2000) Am Chem Soc 122:1729
Maiti SK, Banerjee S, Mukherjee AK, Abdul Malik KM, Bhattacharyya R (2005) New J Chem 29:554
Yao HR, Richardson DEJ (2000) Am Chem Soc 122:3220
Arnáiz FJ, Aguado R, Pedrosa MR, Mahía J, Maestro MA (2002) Polyhedron 21:1635
Acknowledgments
This work was supported by the NSFC (grant no. 50773003) and PetroChina Innovation Foundation (2008D-5006-05-03).
Author information
Authors and Affiliations
Corresponding authors
Additional information
An erratum to this article can be found at http://dx.doi.org/10.1007/s11224-009-9515-z
Rights and permissions
About this article
Cite this article
Li, J., Wang, G., Shi, Z. et al. Two hydrogen-bond-cross-linked molybdenum (VI) network polymers: synthesis, crystal structures and cyclooctene epoxidation with H2O2 . Struct Chem 20, 869–876 (2009). https://doi.org/10.1007/s11224-009-9485-1
Received:
Accepted:
Published:
Issue Date:
DOI: https://doi.org/10.1007/s11224-009-9485-1
Keywords
- Hydrogen bonding
- X-ray structures
- Epoxidation
- Molybdenum