Skip to main content

Penalised spline estimation for generalised partially linear single-index models

Abstract

Generalised linear models are frequently used in modeling the relationship of the response variable from the general exponential family with a set of predictor variables, where a linear combination of predictors is linked to the mean of the response variable. We propose a penalised spline (P-spline) estimation for generalised partially linear single-index models, which extend the generalised linear models to include nonlinear effect for some predictors. The proposed models can allow flexible dependence on some predictors while overcome the “curse of dimensionality”. We investigate the P-spline profile likelihood estimation using the readily available R package mgcv, leading to straightforward computation. Simulation studies are considered under various link functions. In addition, we examine different choices of smoothing parameters. Simulation results and real data applications show effectiveness of the proposed approach. Finally, some large sample properties are established.

This is a preview of subscription content, access via your institution.

Fig. 1
Fig. 2
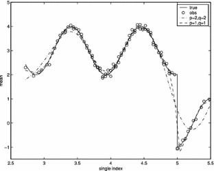
Fig. 3
Fig. 4

Notes

  1. We are grateful for the editor’s extremely helpful suggestions on the algorithm. This paper is not possible without the editor’s valuable inputs.

References

  • Anderssen, R.S., Bloomfield, P.: A time series approach to numerical differentiation. Technometrics 16, 69–75 (1974)

    MathSciNet  Article  MATH  Google Scholar 

  • Boente, G., Rodriguez, D.: Robust estimates in generalised partially linear single-index models. Test 21(2), 386–411 (2012)

    MathSciNet  Article  MATH  Google Scholar 

  • Carroll, R.J., Fan, J., Gijbels, I., Wand, M.P.: Generalized partially linear single-index models. J. Am. Stat. Assoc. 92, 477–489 (1997)

    MathSciNet  Article  MATH  Google Scholar 

  • Carroll, R.J., Ruppert, D., Stefanski, L.A., Crainiceanu, C.M.: Measurement Error in Nonlinear Models: A Modern Perspective. CRC press, Boca Raton (2012)

    MATH  Google Scholar 

  • Crainiceanu, C.M., Ruppert, D., Wand, M.P.: Bayesian analysis for penalized spline regression using WinBUGS. J. Stat. Softw. 14(14), 1–24 (2005)

    Article  Google Scholar 

  • Craven, P., Wahba, G.: Smoothing noisy data with spline functions: estimating the correct degree of smoothing by the method of generalized cross-validation. Numer. Math. 31, 377–403 (1979)

    MathSciNet  Article  MATH  Google Scholar 

  • Eilers, P.H.C., Marx, B.D.: Flexible smoothing with B-splines and penalties. Stat. Sci. 11, 89–121 (1996)

    MathSciNet  Article  MATH  Google Scholar 

  • Gray, R.J.: Spline-based tests in survival analysis. Biometrics 50, 640–652 (1994)

    MathSciNet  Article  MATH  Google Scholar 

  • Härdle, W., Hall, P., Ichimura, H.: Optimal smoothing in single-index models. Ann. Stat. 21, 157–178 (1993)

    MathSciNet  Article  MATH  Google Scholar 

  • Hastie, T.J., Tibshirani, R.: Generalized Additive Models. Chapman & Hall, London (1990)

    MATH  Google Scholar 

  • Huh, J., Park, B.U.: Likelihood-based local polynomial fitting for single-index models. J. Multivar. Anal. 80, 302–321 (2002)

    MathSciNet  Article  MATH  Google Scholar 

  • Liang, H., Liu, X., Li, R., Tsai, C.: Estimation and testing for partially linear single-index models. Ann. Stat. 38, 3811–3836 (2010)

    MathSciNet  Article  MATH  Google Scholar 

  • McCullagh, P., Nelder, J.A.: Generalized Linear Models, 2nd edn. Chapman & Hall, London (1989)

    Book  MATH  Google Scholar 

  • Parker, R.L., Rice, J.A.: Discussion of Some aspects of the spline smoothing approach to non-parametric regression curve fitting by B. W. Silverman. J. R. Stat. Soc. Ser. B (Methodol.) 47, 1–52 (1985)

    Google Scholar 

  • Poon, W.Y., Wang, H.B.: Bayesian analysis of generalized partially linear single-index models. Comput. Stat. Data Anal. 68, 251–261 (2013)

    MathSciNet  Article  Google Scholar 

  • Qu, A., Li, R.: Quadratic inference functions for varying-coefficient models with longitudinal data. Biometrics 62, 379–391 (2006)

    MathSciNet  Article  MATH  Google Scholar 

  • Ruppert, D., and Carroll, R.: Penalized Regression Splines, working paper, Cornell University, School of Operations Research and Industrial Engineering (1997). www.orie.cornell.edu/davidr/papers

  • Ruppert, D.: Selecting the number of knots for penalized splines. J. Comput. Graph. Stat. 11, 735–757 (2002)

    MathSciNet  Article  Google Scholar 

  • Ruppert, D., Wand, M.P., Carroll, R.J.: Semiparametric Regression. Cambridge University Press, Cambridge (2003)

    Book  MATH  Google Scholar 

  • Ruppert, D., Carroll, R.: Spatially-adaptive penalties for spline fitting. Aust. N. Z. J. Stat. 42, 205–223 (2000)

    Article  Google Scholar 

  • Wahba, G.: A comparison of GCV and GML for choosing the smoothing parameter in the generalized spline smoothing problem. Ann. Stat. 13(4), 1378–1402 (1985)

    MathSciNet  Article  MATH  Google Scholar 

  • Wood, S.N.: Modelling and smoothing parameter estimation with multiple quadratic penalties. J. R. Stat. Soc. Ser. B 62(2), 413–428 (2000)

    MathSciNet  Article  Google Scholar 

  • Wood, S.N.: Stable and efficient multiple smoothing parameter estimation for generalized additive models. J. Am. Stat. Assoc. 99, 673–686 (2004)

    MathSciNet  Article  MATH  Google Scholar 

  • Wood, S.N.: Generalized Additive Models: An Introduction with R. CRC Chapman and Hall, Boca Raton (2006)

    MATH  Google Scholar 

  • Wood, S.N.: Fast stable direct fitting and smoothness selection for generalized additive models. J. R. Stat. Soc. Ser. B (Stat. Methodol.) 70(3), 495–518 (2008)

    MathSciNet  Article  MATH  Google Scholar 

  • Wood, S.N.: Fast stable restricted maximum likelihood and marginal likelihood estimation of semiparametric generalized linear models. J. R. Stat. Soc. Ser. B (Stat. Methodol.) 73(1), 3–36 (2011)

    MathSciNet  Article  Google Scholar 

  • Xia, Y., Härdle, W.: Semi-parametric estimation of partially linear single index models. J. Multivar. Anal. 97, 1162–1184 (2006)

    MathSciNet  Article  MATH  Google Scholar 

  • Yi, G.Y., He, W., Liang, H.: Analysis of correlated binary data under partially linear single-index logistic models. J. Multivar. Anal. 100(2), 278–290 (2009)

    MathSciNet  Article  MATH  Google Scholar 

  • Yu, Y., Ruppert, D.: Penalized spline estimation for partially linear single-index models. J. Am. Stat. Assoc. 97, 1042–1054 (2002)

    MathSciNet  Article  MATH  Google Scholar 

Download references

Acknowledgments

We thank the Editor for suggesting the profile likelihood approach and for many extremely valuable points. This paper would not be possible otherwise. We also thank an anonymous referee for the thoughtful comments. Finally, we thank Xia, Y. and Härdle W. for providing the French Bank dataset.

Author information

Authors and Affiliations

Authors

Corresponding author

Correspondence to Chaojiang Wu.

Electronic supplementary material

Below is the link to the electronic supplementary material.

Supplementary material 1 (pdf 1022 KB)

Appendix

Appendix

Identifiability and reparametrisation

For model identifiability, the single-index parameter is constrained such that \(||{\varvec{\theta }}|| =1\) and the first element \(\theta _1>0\). Maximising (3) is actually a constrained (penalised) maximum likelihood problem. We reparameterise \({\varvec{\theta }}\) to handle this constraint. Let \({\varvec{\zeta }}=(\zeta _1,\ldots ,\zeta _{s-1})^{\mathsf{T}}\) and define \({\varvec{\theta }}=(1,{\varvec{\zeta }}^{\mathsf{T}})^{\mathsf{T}}/{\sqrt{1+||{\varvec{\zeta }}||^2}}\). Now the reparametrised parameter \({\varvec{\zeta }}\) is unconstrained. The Jacobian matrix of \(\partial {\varvec{\theta }}/ \partial {\varvec{\zeta }}\) is

$$\begin{aligned} \frac{\partial {\varvec{\theta }}}{\partial {{\varvec{\zeta }}}}= & {} -\left( 1+\Vert {\varvec{\zeta }}\Vert ^2\right) ^{-\frac{3}{2}}\nonumber \\&\times \left[ \begin{array}{cccc} \zeta _1 &{}\quad \zeta _2 &{}\quad \cdots &{}\quad \zeta _{s-1} \\ -(1+\Vert {\varvec{\zeta }}\Vert ^2)+\zeta ^2_1 &{}\quad \zeta _2 \zeta _1 &{}\quad \cdots &{}\quad \zeta _{s-1} \zeta _1 \\ \zeta _1 \zeta _2 &{}\quad -(1+\Vert {\varvec{\zeta }}\Vert ^2)+\zeta ^2_2 &{}\quad \cdots &{}\quad \zeta _{s-1} \zeta _2 \\ \vdots &{}\quad \vdots &{}\quad \ddots &{}\quad \vdots \\ \zeta _1 \zeta _{s-1} &{}\quad \zeta _2 \zeta _{s-1} &{}\quad \cdots &{}\quad -(1+\Vert {\varvec{\zeta }}\Vert ^2)+\zeta ^2_{s-1} \end{array}\right] . \end{aligned}$$

Define \( \varvec{\psi }_{{\varvec{\zeta }}} = \left( {\varvec{\zeta }}^{\mathsf{T}}\ \varvec{\gamma }^{\mathsf{T}}\ \varvec{\beta }^{\mathsf{T}}\right) ^{\mathsf{T}}, \) where \(\varvec{\psi }_{{\varvec{\zeta }}}\) is one dimension lower than \(\varvec{\psi }_{{\varvec{\theta }}} = \left( {\varvec{\theta }}^{\mathsf{T}}\ \varvec{\gamma }^{\mathsf{T}}\ \varvec{\beta }^{\mathsf{T}}\right) ^{\mathsf{T}}\). The Jacobian matrix of \(\partial \varvec{\psi }/ \partial {{\varvec{\theta }}}\) of dimension \(\dim ({\varvec{\psi }_{{\varvec{\theta }}}}) \times \big \{\dim (\varvec{\psi }_{{\varvec{\theta }}}) - 1\big \}\) is

$$\begin{aligned} \mathbf{J}({\varvec{\zeta }}) = \frac{\partial \varvec{\psi }_{{\varvec{\theta }}}}{\partial \varvec{\psi }_{{\varvec{\zeta }}}} = \left[ \begin{array}{cc} {{\varvec{\theta }}}^{(1)}({\varvec{\zeta }}) &{}\quad \mathbf{0}\\ \mathbf{0}&{}\quad \mathbf{I}\end{array}\right] . \end{aligned}$$
(8)

Note that this reparametrisation is preferred and in line with Yu and Ruppert (2002, p. 1046), where the norm of the reparametrised parameter strictly less than 1 is no longer assumed.

Rights and permissions

Reprints and Permissions

About this article

Verify currency and authenticity via CrossMark

Cite this article

Yu, Y., Wu, C. & Zhang, Y. Penalised spline estimation for generalised partially linear single-index models. Stat Comput 27, 571–582 (2017). https://doi.org/10.1007/s11222-016-9639-0

Download citation

  • Received:

  • Accepted:

  • Published:

  • Issue Date:

  • DOI: https://doi.org/10.1007/s11222-016-9639-0

Keywords

  • Generalised linear model
  • Generalised additive model
  • Low rank approximation
  • Penalised splines
  • Profile likelihood