Abstract
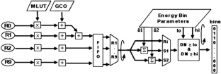
Particle acceleration and loss in the million electron Volt (MeV) energy range (and above) is the least understood aspect of radiation belt science. In order to measure cleanly and separately both the energetic electron and energetic proton components, there is a need for a carefully designed detector system. The Relativistic Electron-Proton Telescope (REPT) on board the Radiation Belt Storm Probe (RBSP) pair of spacecraft consists of a stack of high-performance silicon solid-state detectors in a telescope configuration, a collimation aperture, and a thick case surrounding the detector stack to shield the sensors from penetrating radiation and bremsstrahlung. The instrument points perpendicular to the spin axis of the spacecraft and measures high-energy electrons (up to ∼20 MeV) with excellent sensitivity and also measures magnetospheric and solar protons to energies well above E=100 MeV. The instrument has a large geometric factor (g=0.2 cm2 sr) to get reasonable count rates (above background) at the higher energies and yet will not saturate at the lower energy ranges. There must be fast enough electronics to avert undue dead-time limitations and chance coincidence effects. The key goal for the REPT design is to measure the directional electron intensities (in the range 10−2–106 particles/cm2 s sr MeV) and energy spectra (ΔE/E∼25 %) throughout the slot and outer radiation belt region. Present simulations and detailed laboratory calibrations show that an excellent design has been attained for the RBSP needs. We describe the engineering design, operational approaches, science objectives, and planned data products for REPT.
Access this article
We’re sorry, something doesn't seem to be working properly.
Please try refreshing the page. If that doesn't work, please contact support so we can address the problem.



























References
M.H. Acuña et al., in The Global Geospace Mission, ed. by C.T. Russell (Kluwer Academic, Dordrecht, 1996)
J. Alcaraz et al., Cosmic protons. Phys. Lett. B 490, 27–35 (2000)
S. Agostinelli et al., Nuclear instruments and methods in physics research section A: accelerators, spectrometers, detectors and associated equipment. Nucl. Instrum. Methods A 506, 250–303 (2003). doi:10.1016/S0168-9002(03)01368-8
C.A.J. Ammerlaan, R.F. Rumphorst, L.A.Ch. Koerts, Particle identification by pulse shape discrimination in the p-I-n type semiconductor detector. Nucl. Instrum. Methods 22, 189–200 (1963)
D.N. Baker, P.R. Higbie, R.D. Belian, E.W. Hones Jr., Do Jovian electrons influence the terrestrial outer radiation zone? Geophys. Res. Lett. 6(6), 531–534 (1979). doi:10.1029/GL006i006p00531
D.N. Baker et al., The Los Alamos geostationary orbit synoptic data set: a compilation of energetic particle data. Los Alamos National Laboratory Report, LA-8843, 1981
D.N. Baker et al., Highly relativistic magnetospheric electrons: a role in coupling to the middle atmosphere? Geophys. Res. Lett. 14(10), 1027–1030 (1987). doi:10.1029/GL014i010p01027
D.N. Baker, R.L. McPherron, T.E. Cayton, R.W. Klebesadel, Linear prediction filter analysis of relativistic electron properties at 6.6R E. J. Geophys. Res. 95, 15,133–15,140 (1990). doi:10.1029/JA095iA09p15133
D.N. Baker, G.M. Mason, O. Figueroa, G. Colon, J. Watzin, R. Aleman, An overview of the SAMPEX mission. IEEE Trans. Geosci. Electron. 31, 531 (1993)
D.N. Baker, J.B. Blake, L.B. Callis, J.R. Cummings, D. Hovestadt, S. Kanekal, B. Klecker, R.A. Mewaldt, R.D. Zwickl, Relativistic electron acceleration and decay time scales in the inner and outer radiation belts: SAMPEX. Geophys. Res. Lett. 21, 409 (1994)
D.N. Baker et al., A strong CME-related magnetic cloud interaction with the earth’s magnetosphere: ISTP observation of rapid relativistic electron acceleration on May 15, 1997. Geophys. Res. Lett. 25(15), 2975–2978 (1998). doi:10.1029/98GL01134
D.N. Baker et al., An extreme distortion of the Van Allen belt arising from the ‘Hallowe’en’ solar storm in 2003. Nature 432, 878–881 (2004). doi:10.1038/nature03116
D.N. Baker et al., Low-altitude measurements of 2–6 MeV electron trapping lifetimes at 1.5≤l≤2.5. Geophys. Res. Lett. 34, L20110 (2007). doi:10.1029/2007GL03100
D.N. Baker, D. Mitchell, P. O’Brien, RBSP project internal report. JHUAPL, 2008
J.-F. Beche, Second order pseudo-Gaussian shaper. Lawrence Berkeley National Laboratory. LBNL Paper LBNL-52855, 2002
J.B. Blake, W.A. Kolasinski, R.W. Fillius, E.G. Mullen, Injection of electrons and protons with energies of tens of MeV into L<3 on 24 March 1991. Geophys. Res. Lett. 19(8), 821–824 (1992). doi:10.1029/92GL00624
J.B. Blake et al., The MagEIS/ECT instrument on the RBSP mission. Space. Sci. Rev. (2012, this issue)
J. Bortnik et al., An observation linking the origin of plasmaspheric hiss to discrete chorus emissions. Science 324, 5928 (2009)
W.R. Cook et al., PET: a proton/electron telescope for studies of magnetospheric, solar, and galactic particles. IEEE Trans. Geosci. Electron. 31, 565 (1993)
S.R. Elkington, M.K. Hudson, A.A. Chan, Acceleration of relativistic electrons via drift-resonant interaction with toroidal-mod Pc-5 ULF oscillations. Geophys. Res. Lett. 26(21), 3273 (1999)
S.R. Elkington, M.K. Hudson, A.A. Chan, Resonant acceleration and diffusion of outer zone electrons in an asymmetric geomagnetic field. J. Geophys. Res. 108(A3), 1116 (2003)
S.R. Elkington, M. Wiltberger, A.A. Chan, D.N. Baker, Physical models of the geospace radiation environment. J. Atmos. Sol.-Terr. Phys. 66, 1371 (2004)
S.R. Elkington, D.N. Baker, M. Wiltberger, in The Inner Magnetosphere: Physics and Modeling, ed. by T.I. Pulkkinen, N.A. Tsyganenko, R.H.W. Friedel. AGU Geophysical Monograph, vol. 155 (American Geophysical Union, Washington, 2005), p. 147
T.I. Gombosi, G. Toth, D.L. de Zeeuw, K.C. Hansen, K. Kabin, K.G. Powell, Semirelativistic magnetohydrodynamics and physics-based convergence acceleration. J. Comput. Sci. 177, 176 (2002)
M.G. Gornov et al., Selection of the shaping circuits of a multilayer semiconductor spectrometer of charged particles. Instrum. Exp. Tech. 45(5), 626–630 (2002)
J.C. Green, M.G. Kivelson, Relativistic electrons in the outer radiation belt: differentiating between acceleration mechanisms. J. Geophys. Res. 109, A03213 (2004). doi:10.1029/2003JA010153
R.B. Horne, R.M. Thorne, Potential waves for relativistic electron scattering and stochastic acceleration during magnetic storms. Geophys. Res. Lett. 25(15), 3011–3014 (1998). doi:10.1029/98GL01002
R.B. Horne, N.P. Meredith, R.M. Thorne, D. Heynderickx, R.H.A. Iles, R.R. Anderson, Evolution of energetic electron pitch angle distributions during storm time electron acceleration to megaelectronvolt energies. J. Geophys. Res. 108(A1), 1016 (2003). doi:10.1029/2001JA009165
R.B. Horne, D.N. Baker et al., Wave acceleration of electrons in the Van Allen radiation belts. Nature 437, 227–230 (2005a). doi:10.1038/nature03939
R.B. Horne, R.M. Thorne, S.A. Glauert, J.M. Albert, N.P. Meredith, R.R. Anderson, Timescale for radiation belt electron acceleration by whistler mode chorus waves. J. Geophys. Res. 110, A03225 (2005b). doi:10.1029/2004JA010811
M.H. Johnson, J. Kierein, Combined release and radiation effects satellite (CRRES): spacecraft and mission. J. Spacecr. Rockets 29(4), 556–563 (1992). doi:10.2514/3.55641
S.G. Kanekal et al., Magnetospheric response to magnetic cloud (coronal mass ejection) events: relativistic electron observations from SAMPEX and polar. J. Geophys. Res. 104, A11 (1999). doi:10.1029/1999JA900239
C.A. Kletzing et al., The electric and magnetic field instrument suite and integrated science (EMFISIS) on RBSP. Space. Sci. Rev. (2012, this issue)
L.J. Lanzerotti et al., Radiation belt storm probes ion composition experiment (RBSPICE). Space Sci. Rev. (2012, this issue)
C. Leroy et al., Study of charge transport in non-irradiated and irradiated silicon detectors. Nucl. Instrum. Methods Phys. Res. A426.1, 99–108 (1999)
X. Li et al., Simulation of dispersionless injections and drift echoes of energetic electrons associated with substorms. Geophys. Res. Lett. 25, 3763 (1998)
X. Li et al., Quantitative prediction of radiation belt electrons at geostationary orbit based on solar wind measurements. Geophys. Res. Lett. 28(9), 1887–1890 (2001a). doi:10.1029/2000GL012681
X. Li et al., Long term measurements of radiation belts by SAMPEX and their variations. Geophys. Res. Lett. 28(20), 3827–3830 (2001b). doi:10.1029/2001GL013586
B.W. Loo, F.S. Goulding, D. Gao, Ballistic deficits in pulse shaping amplifiers. IEEE Trans. Nucl. Sci. 35.1, 114–118 (1988)
K.R. Lorentzen et al., Multisatellite observations of MeV ion injections during storms. J. Geophys. Res. 107(A9), 1231 (2002). doi:10.1029/2001JA000276
J.G. Lyon, J.A. Fedder, C.M. Mobarry, The Lyon-Fedder-Mobarry global MHD magnetospheric simulation code. J. Atmos. Sol.-Terr. Phys. 66(15), 1333 (2004)
J.P. McCollough et al., Physical mechanisms of compressional EMIC wave growth. J. Geophys. Res. 115, A10214 (2010)
B.H. Mauk et al., Science objectives and rational for the Radiation Belt Storm Probes Mission. Space Sci. Rev. (2012). doi:10.1007/s11214-012-9908-y
J.E. Mazur et al., The Relativistic-Proton Spectrometer (RPS) for the Radiation Belt Storm Probes Mission. Space Sci. Rev. (2012). doi:10.1007/s11214-012-9926-9
R.A. Mewaldt, Solar energetic particle composition, energy spectra, and space weather. Space Sci. Rev. 124, 303–316 (2006). doi:10.1007/s11214-006-909-0
N.P. Meredith et al., Evidence for chorus-driven electron acceleration to relativistic energies from a survey of geomagnetically disturbed periods. J. Geophys. Res. 108(A6), 1248 (2003). doi:10.1029/2002JA009764
C.H. Mosher, Pseudo-Gaussian transfer functions with superlative baseline recovery. IEEE Trans. Nucl. Sci. 23(1), 226–228 (1976)
G.A. Paulikas, J.B. Blake, Effects of the solar wind on magnetospheric dynamics: energetic electrons at the synchronous orbit, in Quantitative Modeling of Magnetospheric Processes, ed. by W.P. Olson. Geophys. Monogr. Ser., vol. 21 (AGU, Washington, 1979), pp. 180–202
J. Raeder, Global magnetohydrodynamics, a tutorial, in Space Plasma Simulation, ed. by C.T. Dum, M. Scholer, J. Buchner. Lecture Notes in Physics, vol. 615 (Springer, New York, 2003), p. 212
J.G. Roederer, Dynamics of Geomagnetically Trapped Radiation (Springer, New York, 1970)
I. Roth, M. Temerin, M.K. Hudson, Resonant enhancement of relativistic electron fluxes during geomagnetically active periods. Ann. Geophys. 17, 631 (1999)
T.E. Sarris, X. Li, N. Tsaggas, N. Paschalidis, Modeling energetic particle injections in dynamic pulse fields with varying propagation speeds. J. Geophys. Res. 107(A3), 1033 (2002)
Y.Y. Shprits et al., Outward radial diffusion driven by losses at the magnetopause. J. Geophys. Res. 111, A11214 (2006)
H.E. Spence et al., The ECT investigation on the RBSP mission. Space Sci. Rev. (2012, this issue)
P.A. Sturrock, Plasma Physics (Cambridge University Press, Cambridge, 1994)
M.G.G.T. Taylor, R.H.W. Friedel, G.D. Reeves, M.W. Dunlop, T.A. Fritz, P.W. Daly, A. Balogh, Multisatellite measurements of electron phase space density gradients in Earth’s inner and outer magnetosphere. J. Geophys. Res. 109, A05220 (2004)
A.L. Vampola, Measuring energetic electrons—what works and what doesn’t, in Measurement Techniques in Space Plasmas: Particles, ed. by F. Pfaff, E. Borovsky, T. Young. Geophys. Monogr. Ser., vol. 102 (AGU, Washington, 1998), pp. 339–355. doi:10.1029/GM102p0339
J.A. Van Allen et al., Energetic electrons in the magnetosphere of Jupiter. Science 183, 309 (1974)
J. Vette, The NASA/National Space Science Data Center trapped radiation environment model program (1964–1991). NSSDC Report 91-29, Greenbelt, MD, 1991
J. Wygant et al., The EFW investigation and instruments on the RBSP mission. Space. Sci. Rev. (2012, this issue)
Acknowledgements
We want to express our sincere appreciation to all of our colleagues at the Laboratory for Atmospheric and Space Physics for their support in the successful completion of the REPT instrument. We thank our RBSP and ECT teammates for their assistance, especially J. Bernard Blake, Joseph F. Fennell, Bill Crain, Joseph E. Mazur, John Goldsten, Brian Klatt, and Jim Cravens. We also want to thank the APL payload, spacecraft and mission teams, specifically Lori Suther, Al Reiter, Elliot Rodberg, and Annette Dolbow.
Special thanks to all of the reviewers who contributed their expertise to the improvement of our instrument. In particular we are grateful to Berndt Klecker, Richard Mewaldt, Edward S. Stone, Tycho Von Rosenvinge, Frank B. McDonald, Gary Mullen, Bronislaw Dichter, Gary Galica, Gregory Ginet, and Steve Battel.
This work has been supported by NASA prime contract NAS5-01072 to Johns Hopkins University Applied Physics Laboratory (JHU/APL).
Author information
Authors and Affiliations
Corresponding author
Rights and permissions
About this article
Cite this article
Baker, D.N., Kanekal, S.G., Hoxie, V.C. et al. The Relativistic Electron-Proton Telescope (REPT) Instrument on Board the Radiation Belt Storm Probes (RBSP) Spacecraft: Characterization of Earth’s Radiation Belt High-Energy Particle Populations. Space Sci Rev 179, 337–381 (2013). https://doi.org/10.1007/s11214-012-9950-9
Received:
Accepted:
Published:
Issue Date:
DOI: https://doi.org/10.1007/s11214-012-9950-9