Abstract
Does immigration reduce natives’ support for the welfare state? Evidence from the European Social Survey (2002/2003) suggests a more qualified relation. For Europe as a whole, there is only weak evidence of a negative association between the perceived presence of immigrants and natives’ support for the welfare state. However, this weak average relationship masks considerable heterogeneity across countries. We distinguish two channels through which immigration could affect natives’ support for the welfare state: a pure dislike of immigrants and concerns about the economic consequences of immigration. We find that natives who hold both negative views react much more negatively to a given perceived share of immigrants than natives who hold neither view. However, there is no clear pattern concerning the relative importance of the two channels. Finally, we find that natives who hold either of these negative views of immigrants tend to be less supportive of the welfare state independently of the perceived presence of immigrants.
This is a preview of subscription content, access via your institution.









Notes
In the experimental studies on the effects of ethnic diversity on trust and trustworthiness, these two channels are referred to as preference-based and statistical discrimination; see Glaeser et al. (2000), Fershtman and Gneezy (2001), Bouckaert and Dhaene (2004), Habyarimana et al. (2006), Haile et al. (2006), Bornhorst et al. (2006), Falk and Zehnder (2007).
The countries are Austria, Belgium, Switzerland, Czech Republic, Germany, Denmark, Spain, Finland, France, U.K., Greece, Hungary, Ireland, Israel, Italy, Luxembourg, the Netherlands, Norway, Poland, Portugal, Sweden, and Slovenia. See the appendix for a more detailed description of the dataset.
In Sect. 6.3, we check that our results are robust to the choice of variables for the two channels.
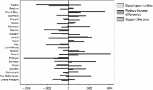
We use Wald tests to test for the equality of these two parameters. The values of the test statistic are 52.4 for “equal opportunities,” 2.2 for “reduce income differences,” and 32.6 for “help the poor.” The test statistic follows a χ2(1) distribution. For “equal opportunities” and “help the poor” the null hypothesis of parameter equality is rejected at conventional levels, and for “reduce income differences” at the level of 13.8%.
References
Alesina, A., & Glaeser, E. (2004). Fighting poverty in the U. S. and in Europe: A world of difference. New York: Oxford University Press.
Alesina, A., Glaeser, E., & Sacerdote, B. (2001). Why doesn’t the U.S. have a European-style welfare system? Brookings Papers on Economic Activity, pp. 187–278.
Alesina, A., & La Ferrara, E. (2005). Ethnic diversity and economic performance. Journal of Economic Literature, 43, 762–800.
Bornhorst, F., Ichino, A., Schlag, K., & Winter, E. (2006). Trust and trustworthiness among Europeans: South-North comparison. Unpublished, European University Institute.
Bouckaert, J., & Dhaene, G. (2004). Inter-ethnic trust and reciprocity: results of an experiment with small businessmen. European Journal of Political Economy, 20, 869–886.
Card, D., Dustmann, C., & Preston, I. (2003). Understanding attitudes to immigration: The migration and minority module of the first European Social Survey. Technical report, University College London, Centre for Research and Analysis of Migration.
Falk, A., & Zehnder, C. (2007). Discrimination and in-group favoritism in a citywide trust experiment. Discussion paper 2765, IZA.
Fershtman, C., & Gneezy, U. (2001). Discrimination in a segmented society: An experimental approach. Quarterly Journal of Economics, 116, 351–377.
Fong, C., Bowles, S., & Gintis, H. (2006). Strong reciprocity and the welfare state. In S. Kolm, & J. Mercier-Ythier (Eds.), Handbook on the economics of giving, altruism, and reciprocity, Vol. 2 (pp. 1439–1464). Amsterdam: Elsevier.
Gilens, M. (1995). Racial attitudes and opposition to welfare. Journal of Politics, 57(4), 994–1014.
Gilens, M. (1996). Race coding and white opposition to welfare. American Political Science Review, 90(3), 593–604.
Gilens, M. (1999). Why Americans hate welfare: Race, media, and the politics of anti-poverty policy. Chicago: University of Chicago Press.
Glaeser, E. L., Laibson, D. I., Scheinkman, J. A., & Soutter, C. L. (2000). Measuring trust. Quarterly Journal of Economics, 115, 811–846.
Habyarimana, J., Humphreys, M., Posner, D. N., & Weinstein, J. (2006). Why does ethnic diversity undermine public goods provision?. An experimental approach. Discussion paper 2272, IZA.
Haile, D., Sadrieh, A., & Verbon, H. A. A. (2006). Cross-racial envy and underinvestment in South Africa. Working paper 1657, CESifo.
Keely, L. C., & Tan, C. M. (2008). Understanding preferences for income redistribution. Journal of Public Economics, 92, 944–961.
Lind, J. T. (2007). Fractionalization and the size of government. Journal of Public Economics, 91, 51–76.
Luttmer, E. F. P. (2001). Group loyalty and the taste for redistribution. Journal of Political Economy, 109(3), 500–28.
Soroka, S. N., Johnston, R., & Banting, K. (2004). Ethnicity, trust, and the welfare state. In P. Van Parijs (Ed.), Cultural diversity versus economic solidarity. Brussels. De Boeck.
Stichnoth, H., & Van der Straeten K. (2008). Immigration and natives’ attitudes towards redistribution: A review of the literature. Forthcoming in Revue Economique.
Acknowledgments
We thank participants at the Annual Conference of the American Economic Association (Chicago, January 2007) and an anonymous referee for useful comments, and gratefully acknowledge financial support from CEPREMAP, the German Academic Exchange Service (DAAD), and MIRE-DREES. All errors are ours.
Author information
Authors and Affiliations
Corresponding author
Appendix A
Appendix A
1.1 A.1 Summary Statistics
1.2 A.2 Correlates of the Perceived Share of Immigrants
1.3 A.3 Country-specific Coefficients on the Variable “Perceived Share”
1.4 A.4 Robustness Check: Different Ways of Measuring Attitudes Towards Immigration
In one of the robustness checks we explore whether our results are sensitive to how we measure the personal dislike of immigrants and economic concerns about immigration. In the following we give the wording of questions that we use; the original variable names from the European Social Survey are given in parentheses.
1.4.1 A.4.1 Personal Dislike of Immigrants
Mind imm relative (ImDetMr) “And now thinking of people who have come to live in [country] from another country who are of a different race or ethnic group from most [country] people. How much would you mind or not mind if someone like this married a close relative of yours?”
Undermine culture (ImUEClt) “Would you say that [country]’s cultural life is generally undermined or enriched by people coming to live here from other countries?”
No imm friends (ImgFrnd) “Do you have any friends who have come to live in [country] from another country?”
No imm neighbours (IdEtAlv) “Suppose you were choosing where to live. Which of the three types of area on this card would you ideally wish to live in?” “An area where almost nobody was of a different race or ethnic group from most [country] people”
1.4.2 A.4.2 Economic Concerns
Take out more (ImBleCo) “Most people who come to live here work and pay taxes. They also use health and welfare services. On balance, do you think people who come here take out more than they put in or put in more than they take out?”
Bad for economy (ImBGEco) “Would you say it is generally bad or good for [country]’s economy that people come to live here from other countries?”
Make unemployed leave (ImUnpLv) “If people who have come to live and work here are unemployed for a long period, they should be made to leave.”
1.4.3 A.4.3 Estimated Marginal Effects and Their Standard Errors
To explore the robustness of our results, we try all 12 combinations of the four variables for personal dislike and the three variables for economic concerns. For each combination we estimate a probit model with support for the welfare state as the dependent variable and the perceived share of immigrants as regressor of interest. As in column 2 of table, this perceived share is interacted with the four types, abbreviated here as “neither,” “preference,” “economic,” and “both.”
Since we measure our dependent variable, support for the welfare state, in three different ways, we have a total of 12 × 3 = 36 models. The main results of these 36 models are presented graphically in Figs. 7–9. Table 7 explains to which combination of variables each number in the figure corresponds.
Rights and permissions
About this article
Cite this article
Senik, C., Stichnoth, H. & Van der Straeten, K. Immigration and Natives’ Attitudes towards the Welfare State: Evidence from the European Social Survey. Soc Indic Res 91, 345–370 (2009). https://doi.org/10.1007/s11205-008-9342-4
Accepted:
Published:
Issue Date:
DOI: https://doi.org/10.1007/s11205-008-9342-4
Keywords
- Welfare state
- Immigration
- Income redistribution
- Reciprocity
- European Social Survey