Abstract
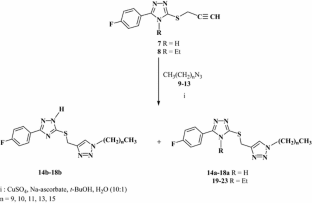
Base-catalyzed alkylation of 5-(4-fluorophenyl)-2,4-dihydro-1,2,4-triazole-3-thione (3) with one or two equivalents of propargyl bromide in presence of triethylamine as catalyst selectively produced the thiopropargylated 1,2,4-triazole 7 in 90 % yield. Under the same reaction conditions, 4-ethyl-5-(4-fluorophenyl)-3-(prop-2-yn-1-ylthio)-1,2,4-triazole (8) was produced. Conversely, when the propargylation was carried out in presence of sodium bicarbonate, a mixture of S,N 4- (24) and S,N 2-bis(propargylated) triazoles (25) was obtained in 85 % overall yield. The click 1,3-dipolar cycloaddition reaction of the mono- (7, 8) and/or bis(propargylated)-1,2,4-triazoles (24) with a variety of long-chain alkyl azides, conducted in t-BuOH:H2O (10:1) in presence of sodium ascorbate and copper(II) sulfate at room temperature, afforded the regioselective 1,4-disubstituted mono- (14–18) and bis(1,2,3-triazole) derivatives (26–30) containing a fluorinated 1,2,4-triazole moiety and a lipophilic side chain. The structures of the new products were elucidated by infrared (IR), 1H and 13C nuclear magnetic resonance (NMR), and mass spectrometry. They were also assessed in vitro for their antimicrobial potency against six bacteria (Bacillus subtilis, Streptococcus pneumonia, Staphylococcus aureus, Escherichia coli, Pseudomonas aeruginosa, and Klebsiella pneumonia) and two fungi (Aspergillus fumigatus and Candida albicans). The bioassay results revealed that some of the tested compounds displayed promising antimicrobial activity.





References
R.K. Mahajan, R. Sharma, J. Colloid Interface Sci. 363, 275–283 (2001)
B.S. Sekhan, JPTRM 1, 11–36 (2013)
H. Li, C. Yu, R. Chen, J. Li, Colloids Surf. A 395, 116–123 (2012)
Y. Song, Q. Li, Y. Li, L. Zhi, Colloids Surf. A 417, 236–242 (2013)
R. Kumar, M.S. Yar, B. Srivastava, A.K. Ria, Der Pharma Chem. 6, 137–143 (2014)
Z. Li, Y. Cao, P. Zhan, C. Pannecouque, J. Balzarini, E. De Clercq, X. Liu, Lett. Drug Des. Discov. 10, 27–34 (2013)
R. Kaur, A.R. Dwivedi, B. Kumar, V. Kumar, Anticancer Agents Med. Chem. 16, 465–489 (2016)
A. Srinivas, M. Sunitha, Indian J. Chem. 55B, 231–239 (2016)
M.R. Aouad, Nucleosides Nucleotides Nucleic Acids 35, 1–15 (2016)
M.W. Pertino, C. Theoduloz, E. Butassi, S. Zacchino, G. Schmeda-Hirschmann, Molecules 20, 8666–8686 (2015)
A. Ouahrouch, M. Taourirte, D. Schols, R. Snoeck, G. Andrei, J.W. Engels, H.B. Lazrek, Arch. Pharm. Chem. Life Sci. 349, 30–41 (2016)
Y. Parthasaradhi, S. Suresh, B.R. Kumar, T.S. Jyostna, Orbital Electron. J. Chem. 7, 264–269 (2015)
W. Xu, G. Osei-Prempeh, C. Lema, E.D. Oldham, R.J. Aguilera, S. Parkin, S.E. Rankin, B.L. Knutson, H.L. LehmLer, Carbohydr. Res. 349, 12–23 (2012)
S. Maracic, T.G. Kraljevic, H.C. Paljetak, M. Peric, M. Matijasic, D. Verbanac, M. Cetina, S. Raic-Malic, Bioorg. Med. Chem. 23, 7448–7463 (2015)
N. Shankaraiah, C. Jadala, S. Nekkanti, K.R. Senwar, N. Nagesh, S. Shrivastava, V.G.M. Naidu, M. Sathish, A. Kamal, Bioorg. Chem. 64, 42–50 (2016)
H.A. Stefani, N.C.S. Silva, F. Manarin, D.S. Ludtke, J.Z.L. Schpector, L. Maduriera, S.E.R. Tiekink, Tetrahedron Lett. 53, 1742–1747 (2012)
M. Majid, M.M. Heravi, H. Hamidi, V. Zadsirjan, Curr. Org. Synth. 11, 647–675 (2016)
V.V. Rostavtsev, L.G. Green, V.V. Fokin, K.B. Sharpless, Angew. Chem. Int. Ed. 41, 2596–2599 (2002)
M. Meldal, C.W. Tornøe, Chem. Rev. 108, 2952–3015 (2008)
G.D. Prestwich, Pestic. Sci. 37, 430–440 (1986)
E.R. Chamorro, A.F. Sequeira, M.F. Zalazar, N.M. Peruchena, Bioorg. Med. Chem. 16, 8535–8545 (2008)
K.L. Kirk, J. Fluor. Chem. 127, 1013–1029 (2006)
K.L. Kirk, Curr. Top. Med. Chem. 6, 1447–1456 (2006)
P. Shah, A.D. Westwell, J. Enzyme Inhib. Med. Chem. 22, 527–540 (2007)
M.J. Genin, D.A. Allwine, D.J. Anderson, M.R. Barbachyn, D.E. Emmert, S.A. Garmon, D.R. Graber, K.C. Grega, J.B. Hester, D.K. Hutchinson, J. Morris, R.J. Reischer, C.W. Ford, G.E. Zurenco, J.C. Hamel, R.D. Schaadt, D. Stapertand, B.H. Yagi, J. Med. Chem. 43, 953–970 (2000)
N. Gulerman, N. Rollas, M. Kiraz, A. Ekinci, A. Vidin, Farmaco 52, 691–695 (1997)
M.Y. Mhasalkar, M.H. Shah, S.T. Nikam, K.G. Anantanarayanan, C.V. Deliwala, J. Med. Chem. 13, 672–674 (1970)
M.R. Aouad, N. Rezki, E.S.H. El Ashry, J. Het. Chem. 45, 1–7 (2008)
E.S.H. El Ashry, A.A. Kassem, H.M. Abdel-Hamid, F. Louis, S.A.N. Khattab, M.R. Aouad, Carbohydr. Res. 344, 725–733 (2009)
M.R. Aouad, N. Rezki, M. Messali, E.S.H. El Ashry, Nucleosides Nucleotides Nucleic Acids 32, 28–41 (2013)
V.R. Kamalraj, S. Senthil, P. Kannan, J. Mol. Struct. 892, 210–215 (2008)
European Committee for Antimicrobial Susceptibility Testing (EUCAST) of the European Society of Clinical Microbiology and Infectious Diseases (ESCMID, Clin. Microbiol. Infect. 6, 509–515 (2000)
National Committee for Clinical Laboratory Standards, Methods for Dilution Antimicrobial Susceptibility Tests for Bacteria That Grow Aerobically, 5th edn. (NCCLS, Wayne, 2000)
Author information
Authors and Affiliations
Corresponding author
Electronic supplementary material
Below is the link to the electronic supplementary material.
Rights and permissions
About this article
Cite this article
Rezki, N., Mayaba, M.M., Al-blewi, F.F. et al. Click 1,4-regioselective synthesis, characterization, and antimicrobial screening of novel 1,2,3-triazoles tethering fluorinated 1,2,4-triazole and lipophilic side chain. Res Chem Intermed 43, 995–1011 (2017). https://doi.org/10.1007/s11164-016-2679-4
Received:
Accepted:
Published:
Issue Date:
DOI: https://doi.org/10.1007/s11164-016-2679-4