Abstract
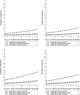
This study investigates how the expectations of different types of financial aid affect the student college choice process from application through enrollment. We find that students from different race and income groups respond differentially to aid packages in their application and enrollment decisions depending on their levels of aid expectations. In application behavior, Asians at all income levels increase their likelihood of application at a greater rate in response to an increase in their aid expectations than other racial groups. Simulations indicate that enrollment probabilities decline more for African American and Hispanic students than whites and Asians when they expect to receive financial aid but do not. The findings suggest the particular importance of financial aid packages in the college choice process for underrepresented minority students.






Similar content being viewed by others
Notes
For explanations about each variable, see Table 1.
The estimation of expectations about each type of financial aid is discussed in the Model Specification section.
The list of regressors in the application model is presented in the next section.
Expectations about each type of financial aid can be obtained by taking the products of: Grant = (1)*(5), Loan = (2)*(6), Work-study = (3)*(7), and Outside Aid = (4)*(8).
Admissions Index Score (AIS) is defined as a weighted average of the ACT Composite and high school rank percentile: [(2*ACT) + High School Rank Percentile].
Estimating the expected amount of each aid type is discussed above.
For the variables not shown in Table 3, see the application model indicated in the Model Specification section.
p-values are based on Chi-square tests using the variance––covariance matrix derived from the bootstrap replications.
For the specific amount of aid expectations by type, see Table 4 (in Appendix).
References
Abraham, K. G., & Clark, M. A. (2006). Financial aid and students’ college decisions: Evidence from the District of Columbia tuition assistance grant program. The Journal of Human Resources, 41(3), 578–610.
Arbona, C., & Nora, A. (2007). The influence of academic and environmental factors on Hispanic college degree attainment. The Review of Higher Education, 30(3), 247–269.
Avery, C., & Hoxby, C. M. (2004). Do and should financial aid packages affect students’ college choices? In C. M. Hoxby (Ed.), College choices: The economics of where to go, when to go, and how to pay for it. Chicago: University of Chicago Press.
Braunstein, A., McGrath, M., & Pescatrice, D. (1999). Measuring the impact of income and financial aid offers on college enrollment decisions. Research in Higher Education, 40(3), 247–259.
Cabrera, A. F., & La Nasa, S. M. (2000). Understanding the college-choice process. New Directions for Institutional Research, 107, 5–21.
Cabrera, A. F., & La Nasa, S. M. (2001). On the path to college: Three critical tasks facing America’s disadvantaged. Research in Higher Education, 42(2), 119–149.
Curs, B., & Singell, L. D. (2002). An analysis of the application and enrollment processes for in-state and out-of-state students at a large public university. Economics of Education Review, 21(2), 111–124.
DesJardins, S. L., Ahlburg, D. A., & McCall, B. P. (2006). An integrated model of application, admission, enrollment, and financial aid. Journal of Higher Education, 77(3), 381–429.
Dynarski, S. M. (2003). Does aid matter? Measuring the effect of student aid on college attendance and completion. American Economic Review, 93(1), 279–288.
Efron, B., & Tibshirani, R. J. (1993). An introduction to the bootstrap. In monographs on statistics and applied probability (Vol. 57). New York: Chapman & Hall.
Ellwood, D., & Kane, T. J. (2000). Who is getting a college education: Family background and the growing gaps in enrollment. In S. Danziger & J. Waldfogel (Eds.), Securing the future: Investing in children from birth to college. New York: Russell Sage Foundation.
Flint, T. (1993). Early awareness of college financial aid: Does it expand choice? The Review of Higher Education, 16(3), 309–327.
Griffith, A., & Rask, K. (2007). The influence of the US News and World Report collegiate rankings on the matriculation decision of high-ability students: 1995–2004. Economics of Education Review, 26(2), 244–255.
Hearn, J. C. (1984). The relative roles of academic, ascribed, and socioeconomic characteristics in college destinations. Sociology of Education, 57(1), 22–30.
Hearn, J. C. (1988). Attendance at higher-cost colleges: Ascribed, socioeconomic, and academic influences on student enrollment patterns. Economics of Education Review, 7(1), 65–76.
Heller, D. E. (1997). Student price response in higher education: An update to Leslie and Brinkman. Journal of Higher Education, 68(6), 624–657.
Heller, D. E. (1999). The effects of tuition and state financial aid on public college enrollment. Review of Higher Education, 23(1), 65–89.
Hossler, D., Braxton, J., & Coopersmith, G. (1989). Understanding college choice higher education: Handbook of theory and research (Vol. 5, pp. 231–288) (Vol. 5, pp. 231–288). New York: Agathon.
Hossler, D., & Gallagher, K. (1987). Studying student college choice: A three-phase model and the implications for policymakers. College and University, 62(3), 207–221.
Hossler, D., Schmit, J., & Vesper, N. (1999). Going to college: How social, economic, and educational factors influence the decisions students make. Baltimore: Johns Hopkins University Press.
Hossler, D., & Stage, F. K. (1992). Family and high school experience influences on the postsecondary educational plans of ninth-grade students. American Educational Research Journal, 29(2), 425–451.
Hu, S., & Hossler, D. (2000). Willingness to pay and preference for private institutions. Research in Higher Education, 41(6), 685–701.
Jackson, G. A. (1982). Public efficiency and private choice in higher education. Educational Evaluation and Policy Analysis, 4(2), 237–247.
Kane, T. J. (2003). A quasi-experimental estimate of the impact of financial aid on college-going. NBER Working Paper No. 9703.
Kane, T. J. (2007). Evaluating the impact of the D.C. tuition assistance grant program. Journal of Human Resources, 42(3), 555–582.
Kim, D. (2004). The effect of financial aid on students’ college choice: Differences by racial groups. Research in Higher Education, 45(1), 43–70.
Kotler, P., & Fox, K. (1985). Strategic marketing for educational institutions. Englewood Cliffs, NJ: Prentice-Hall.
Leslie, L. L., & Brinkman, P. T. (1987). Student price response in higher education: The student demand studies. Journal of Higher Education, 58(2), 181–204.
Linsenmeier, D. M., Rosen, H. S., & Rouse, C. E. (2006). Financial aid packages and college enrollment decisions: An econometric case study. Review of Economics and Statistics, 88(1), 126–145.
Litten, L. H. (1982). Different strokes in the applicant pool: Some refinements in a model of student college choice. The Journal of Higher Education, 53(4), 383–402.
Long, J. S. (1997). Regression models for categorical and limited dependent variables. Thousand Oaks, CA: Sage Publications.
Manski, C. F. (1977). The structure of random utility models. Theory and Decision, 8(3), 229–254.
Manski, C. F., & Wise, D. A. (1983). College choice in America. Cambridge, Mass: Harvard University Press.
McDonough, P. M. (1994). Buying and selling higher education: The social construction of the college applicant. Journal of Higher Education, 65(4), 427–446.
McDonough, P. M. (1997). Choosing colleges: How social class and schools structure opportunity. Albany: State University of New York Press.
McDonough, P. M., & Calderone, S. (2006). The meaning of money: Perceptual differences between college counselors and low-income families about college costs and financial aid. American Behavioral Scientist, 49(12), 1703–1718.
McFadden, D. (1976). Aggregate travel demand forecasting from disaggregated behavioral models. Transportation Research Record, 534, 24–37.
McPherson, M. S., & Shapiro, M. O. (1998). The student aid game. Princeton, N. J.: Princeton University Press.
Moore, R. L., Studenmund, A. H., & Slobko, T. (1991). The effect of the financial aid package on the choice of a selective college. Economics of Education Review, 10(4), 311–321.
Nora, A., Barlow, L., & Crisp, G. (2006). Examining the tangible and psychosocial benefits of financial aid with student access, engagement, and degree attainment. American Behavioral Scientist, 49(12), 1636–1651.
Olivas, M. A. (1985). Financial aid packaging policies. Access and ideology. The Journal of Higher Education, 56, 462–475.
Parsons, G. R. (2000). Narrow choice sets in a random utility model of recreation demand fishing in maine. Land Economics, 76(1), 86–99.
Paulsen, M. B. (1998). Recent research on the economics of attending college: Returns on investment and responsiveness to price. Research in Higher Education, 39(4), 471–487.
Paulsen, M. B., & St. John, E. P. (2002). Social class and college costs: Examining the financial nexus between college choice and persistence. Journal of Higher Education, 73(2), 189–236.
Perna, L. W. (2000). Differences in the decision to attend college among African Americans, Hispanics, and Whites. The Journal of Higher Education, 71(2), 117–141.
Perna, L. W., & Titus, M. A. (2004). Understanding differences in the choice of college attended: The role of state public policies. The Review of Higher Education, 27(4), 501–526.
Perna, L. W., & Titus, M. A. (2005). The Relationship between parental involvement as a social capital and college enrollment: An examination of racial/ethnic group differences. The Journal of Higher Education, 76(5), 485–518.
Savoca, E. (1991). The effect of changes in the composition of financial aid on college enrollments. Eastern Economic Journal, 17(1), 109–121.
Shadish, W. R., Cook, T. D., & Campbell, D. T. (2002). Experimental and quasi-experimental designs for generalized causal inference. Boston, MA: Houghton-Mifflin.
St. John, E. P., Cabrera, A. F., Nora, A., & Asker, E. H. (2000). How can finance research inform the reconceptualization of persistence models? In J. M. Braxton (Ed.), Reworking the student departure puzzle. Nashville: Vanderbilt University Press.
St. John, E. P., Paulsen, M. B., & Starkey, J. B. (1996). The nexus between college choice and persistence. Research in Higher Education, 37(2), 175–220.
Stage, F. K., & Hossler, D. (1989). Differences in family influences on college attendance plans for male and female ninth graders. Research in Higher Education, 30(3), 301–315.
Stampen, J. O., & Cabrera, A. F. (1988). The targeting and packaging of student aid and its effect on attrition. Economics of Education Review, 7(1), 29–46.
Van der Klaauw, W. (2002). Estimating the effect of financial aid offers on college enrollment: A regression-discontinuity approach. International Economic Review, 43(4), 1249–1287.
Author information
Authors and Affiliations
Corresponding author
Appendix
Appendix
Rights and permissions
About this article
Cite this article
Kim, J., DesJardins, S.L. & McCall, B.P. Exploring the Effects of Student Expectations about Financial Aid on Postsecondary Choice: A Focus on Income and Racial/Ethnic Differences. Res High Educ 50, 741–774 (2009). https://doi.org/10.1007/s11162-009-9143-x
Received:
Accepted:
Published:
Issue Date:
DOI: https://doi.org/10.1007/s11162-009-9143-x


