Skip to main content

Health-related quality of life in hepatitis C patients who achieve sustained virological response to direct-acting antivirals: a comparison with the general population

Abstract

Purpose

To compare health-related quality of life (HRQoL) between hepatitis C patients who achieve sustained virological response (SVR) to direct-acting antivirals and a sex- and age-paired sample of the general population.

Methods

HRQoL was evaluated in patients recruited in Navarre, Spain, from May 2016 to April 2017 at baseline and after SVR, using the EQ-5D-5L questionnaire. Both results were compared to those of general population of the same sex and age obtained from the 2011/12 National Health Survey in Spain. Observed/expected (O/E) ratios for health dimensions and differences between O-E in EQ-5D utility and visual analogical scale (VAS) scores were calculated.

Results

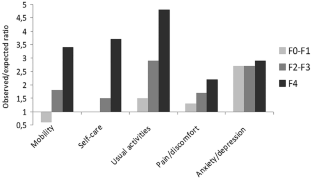
206 patients were studied. Before treatment, patients had more problems than the general population in every domain of EQ-5D-5L, except in self-care dimension (O/E = 1.1). After SVR, patients continued having more limitation, especially for usual activities (O/E = 3.1), anxiety/depression (O/E = 2.8) and EQ-5D utility (− 0.086, p < 0.001); however, differences in VAS score between patients and general population disappeared (74.8 vs 76.5, p = 0.210). F0–F1 patients with SVR had minor differences with the general population in EQ-5D-5L dimensions, utility and VAS score. Although cirrhotic patients also reduced that difference, they still had worse HRQoL, especially in usual activities, self-care, EQ-5D utility (− 0.152, p < 0.001) and VAS score (− 8.5, p = 0.005).

Conclusions

HRQoL of chronic hepatitis C patients remains lower than that of the general population despite viral clearance, with primary problems in usual activities and anxiety/depression. Knowledge of these on-going problems despite cure serves to guide healthcare interventions and patient’s follow-up.

This is a preview of subscription content, access via your institution.

Fig. 1

References

  1. Lingala, S., & Ghany, M. G. (2015). Natural history of hepatitis C. Gastroenterology clinics of North America, 44(4), 717–734.

    Article  PubMed  PubMed Central  Google Scholar 

  2. Degasperi, E., Aghemo, A., & Colombo, M. (2017). Treatment of extrahepatic manifestations of hepatitis C virus. Clinics in Liver Disease, 21(3), 631–643.

    Article  PubMed  Google Scholar 

  3. Juanbeltz, R., Zozaya, J. M., Reparaz, J., Castilla, J., Sarobe, M. T., Uriz Otano, J. I., et al. (2017). Effectiveness of second-generation direct-acting antivirals in chronic hepatitis C. Anales del Sistema Sanitario de Navarra, 40(1), 57–66.

    CAS  PubMed  Google Scholar 

  4. Juanbeltz, R., Goñi Esarte, S., Uriz-Otano, J. I., Martinez Echeverria, A., Elizalde, I., Zozaya, J. M., et al. (2017). Safety of oral direct acting antiviral regimens for chronic hepatitis C in real life conditions. Postgraduate Medicine, 129(4), 476–483.

    Article  PubMed  Google Scholar 

  5. Kouris, G., Hydery, T., Greenwood, B. C., Lavitas, P., Price, M., Clements, K., et al. (2018). Effectiveness of Ledipasvir/Sofosbuvir and predictors of treatment failure in members with hepatitis C genotype 1 infection: A retrospective cohort study in a medicaid population. Journal of Managed Care and Specialty Pharmacy, 24(7), 591–597.

    Article  PubMed  Google Scholar 

  6. Honer Zu Siederdissen, C., Buggisch, P., Boker, K., Schott, E., Klinker, H., Pathil, A., et al. (2018). Treatment of hepatitis C genotype 1 infection in Germany: Effectiveness and safety of antiviral treatment in a real-world setting. United European Gastroenterology Journal, 6(2), 213–224.

    Article  CAS  PubMed  PubMed Central  Google Scholar 

  7. Hezode, C. (2018). Treatment of hepatitis C: Results in real life. Liver International, 38(Suppl 1), 21–27.

    Article  PubMed  Google Scholar 

  8. San Miguel, R., Gimeno-Ballester, V., Blazquez, A., & Mar, J. (2015). Cost-effectiveness analysis of sofosbuvir-based regimens for chronic hepatitis C. Gut, 64(8), 1277–1288.

    Article  PubMed  Google Scholar 

  9. Jakobsen, J. C., Nielsen, E. E., Koretz, R. L., & Gluud, C. (2018). Do direct acting antivirals cure chronic hepatitis C? British Medical Journal, 361, k1382.

    Article  PubMed  Google Scholar 

  10. Foster, G. R., Goldin, R. D., & Thomas, H. C. (1998). Chronic hepatitis C virus infection causes a significant reduction in quality of life in the absence of cirrhosis. Hepatology, 27(1), 209–212.

    Article  CAS  PubMed  Google Scholar 

  11. Bjornsson, E., Verbaan, H., Oksanen, A., Fryden, A., Johansson, J., Friberg, S., et al. (2009). Health-related quality of life in patients with different stages of liver disease induced by hepatitis C. Scandinavian Journal of Gastroenterology, 44(7), 878–887.

    Article  PubMed  Google Scholar 

  12. Cordoba, J., Flavia, M., Jacas, C., Sauleda, S., Esteban, J. I., Vargas, V., et al. (2003). Quality of life and cognitive function in hepatitis C at different stages of liver disease. Journal of Hepatology, 39(2), 231–238.

    Article  PubMed  Google Scholar 

  13. Dusheiko, G. (2017). The impact of antiviral therapy for hepatitis C on the quality of life: A perspective. Liver International, 37(1), 7–12.

    Article  CAS  PubMed  Google Scholar 

  14. Juanbeltz, R., Martínez-Baz, I., San Miguel, R., Goñi-Esarte, S., Cabasés, J. M., & Castilla, J. (2018). Impact of successful treatment with direct-acting antiviral agents on health-related quality of life in chronic hepatitis C patients. PLoS ONE, 13(10), e0205277.

    Article  CAS  PubMed  PubMed Central  Google Scholar 

  15. San Miguel, R., del Villar, V., Perez, C., de Frutos, M., Mar, J., & Coma, M. J. (2010). Role of health-related quality of life measurements in the design of drug clinical trials. Farmacia Hospitalaria, 34(1), 16–22.

    Article  CAS  PubMed  Google Scholar 

  16. Miguel, R. S., Lopez-Gonzalez, A. M., Sanchez-Iriso, E., Mar, J., & Cabases, J. M. (2008). Measuring health-related quality of life in drug clinical trials: Is it given due importance? Pharmacy World and Science, 30(2), 154–160.

    Article  PubMed  Google Scholar 

  17. European Association for the Study of the Liver. (2018). EASL Recommendations on treatment of hepatitis C 2018. J Hepatol, 69(2), 461–511.

    Article  Google Scholar 

  18. de Sanidad, M., Servicios Sociales e Igualdad. Encuesta Nacional de Salud de España. (2016). Retrieved May 22, 2018, from https://www.mscbs.gob.es/estadEstudios/estadisticas/encuestaNacional/home.htm.

  19. Janssen, M. F., Pickard, A. S., Golicki, D., Gudex, C., Niewada, M., Scalone, L., et al. (2013). Measurement properties of the EQ-5D-5L compared to the EQ-5D-3L across eight patient groups: A multi-country study. Quality of Life Research, 22(7), 1717–1727.

    Article  CAS  PubMed  Google Scholar 

  20. Devlin, N. J., Parkin, D., & Browne, J. (2010). Patient-reported outcome measures in the NHS: New methods for analysing and reporting EQ-5D data. Health Economics, 19(8), 886–905.

    Article  PubMed  Google Scholar 

  21. EuroQol Group. Retrieved September 3, 2018, from https://euroqol.org/eq-5d-instruments/eq-5d-5l-about/valuation-standard-value-sets/crosswalk-index-value-calculator/.

  22. Bedossa, P., & Poynard, T. (1996). An algorithm for the grading of activity in chronic hepatitis C. The METAVIR Cooperative Study Group. Hepatology, 24(2), 289–293.

    Article  CAS  PubMed  Google Scholar 

  23. Rothman, K., & Boice, J. D. (1979). Epidemiologic analysis with a programmable calculator. Washington, DC: U.S. Dept. of Health, Education, and Welfare, Public Health Service, National Institutes of Health.

    Google Scholar 

  24. Dean, A. G., Sullivan, K. M., Soe, M. M.. OpenEpi: Open source epidemiologic statistics for public health. (2013). Retrieved December 31, 2018, from https://www.OpenEpi.com.

  25. Manuel, D. G., Schultz, S. E., & Kopec, J. A. (2002). Measuring the health burden of chronic disease and injury using health adjusted life expectancy and the health utilities index. J Epidemiol Community Health, 56(11), 843–850.

    Article  CAS  PubMed  PubMed Central  Google Scholar 

  26. Fotos, N. V., Elefsiniotis, I., Patelarou, A., Giakoumidakis, K., Patelarou, E., Kouros, A., et al. (2018). Psychological disorders and quality of life among patients with chronic viral hepatitis: A single-center cross-sectional study with pair-matched healthy controls. Gastroenterology Nursing, 41(3), 206–218.

    Article  PubMed  Google Scholar 

  27. Hussain, K. B., Fontana, R. J., Moyer, C. A., Su, G. L., Sneed-Pee, N., & Lok, A. S. (2001). Comorbid illness is an important determinant of health-related quality of life in patients with chronic hepatitis C. American Journal of Gastroenterology, 96(9), 2737–2744.

    Article  CAS  PubMed  Google Scholar 

  28. Younossi, Z., Kallman, J., & Kincaid, J. (2007). The effects of HCV infection and management on health-related quality of life. Hepatology, 45(3), 806–816.

    Article  CAS  PubMed  Google Scholar 

  29. de Sanidad, M. Servicios Sociales e Igualdad. (2017). Plan estratégico para el abordaje de la hepatitis C en el Sistema Nacional de Salud. Madrid: Ministerio de Sanidad, Servicios Sociales e Igualdad. Retrieved June 25, 2018, from https://www.msssi.gob.es/ciudadanos/enfLesiones/enfTransmisibles/hepatitisC/PlanEstrategicoHEPATITISC/home.htm.

  30. Younossi, Z. M., Stepanova, M., Feld, J., Zeuzem, S., Sulkowski, M., Foster, G. R., et al. (2017). Sofosbuvir and velpatasvir combination improves patient-reported outcomes for patients with HCV infection, without or with compensated or decompensated cirrhosis. Clinical Gastroenterology and Hepatology, 15(3), 421–430.e6.

    Article  CAS  PubMed  Google Scholar 

  31. Marcellin, F., Roux, P., Protopopescu, C., Duracinsky, M., Spire, B., & Carrieri, M. P. (2017). Patient-reported outcomes with direct-acting antivirals for the treatment of chronic hepatitis C: current knowledge and outstanding issues. Expert Review of Gastroenterol and Hepatology, 11(3), 259–268.

    CAS  Google Scholar 

  32. Younossi, Z. M., Stepanova, M., Henry, L., Nader, F., & Hunt, S. (2016). An in-depth analysis of patient-reported outcomes in patients with chronic hepatitis C treated with different anti-viral regimens. The American Journal of Gastroenterology, 111(6), 808–816.

    Article  CAS  PubMed  Google Scholar 

  33. Ragusa, R., Bertino, G., Bruno, A., Frazzetto, E., Cicciu, F., Giorgianni, G., et al. (2018). Evaluation of health status in patients with hepatitis c treated with and without interferon. Health and Quality of Life Outcomes, 16(1), 17.

    Article  CAS  PubMed  PubMed Central  Google Scholar 

  34. Thein, H. H., Krahn, M., Kaldor, J. M., & Dore, G. J. (2005). Estimation of utilities for chronic hepatitis C from SF-36 scores. The American Journal of Gastroenterology, 100(3), 643–651.

    Article  PubMed  Google Scholar 

  35. Chong, C. A., Gulamhussein, A., Heathcote, E. J., Lilly, L., Sherman, M., Naglie, G., et al. (2003). Health-state utilities and quality of life in hepatitis C patients. The American Journal of Gastroenterology, 98(3), 630–638.

    Article  PubMed  Google Scholar 

  36. Van Rooijen, E. M., Hotho, D., Agthoven, M., Van Der Kolk, A., Hansen, B. E., Knegt, R., & Uyl-De Groot, C. A. (2011). The cost and quality of life of hepatitis C in the Netherlands. Value in Health, 14, A394. [Conference abstract].

    Article  Google Scholar 

  37. Buchanan-Hughes, A. M., Buti, M., Hanman, K., Langford, B., Wright, M., & Eddowes, L. A. (2018). Health state utility values measured using the EuroQol 5-dimensions questionnaire in adults with chronic hepatitis C: A systematic literature review and meta-analysis. Quality of Life Research. https://doi.org/10.1007/s11136-018-1992-3.

    Article  PubMed  Google Scholar 

  38. Lens, S., Alvarado-Tapias, E., Mariño, Z., Londoño, M. C., Llop, E., Martinez, J., et al. (2017). Effects of all-oral anti-viral therapy on HVPG and systemic hemodynamics in patients with hepatitis C virus-associated cirrhosis. Gastroenterology, 153(5), 1273–1283.e1.

    Article  CAS  PubMed  Google Scholar 

  39. D’Ambrosio, R., Aghemo, A., Rumi, M. G., Ronchi, G., Donato, M. F., Paradis, V., et al. (2012). A morphometric and immunohistochemical study to assess the benefit of a sustained virological response in hepatitis C virus patients with cirrhosis. Hepatology, 56(2), 532–543.

    Article  PubMed  Google Scholar 

  40. Badia, X., Monserrat, S., Roset, M., & Herdman, M. (1999). Feasibility, validity and test-retest reliability of scaling methods for health states: the visual analogue scale and the time trade-off. Quality of Life Research, 8(4), 303–310.

    Article  CAS  PubMed  Google Scholar 

Download references

Acknowledgements

This work is part of the EIPT-VHC project, which was supported by the Spanish Ministry of Health and by the Carlos III Health Institute in the context of the “Strategic Plan for Tackling Hepatitis C in the Spanish National Health System”. Regina Juanbeltz and Jesús Castilla have received funding from the Carlos III Institute of Health with the European Regional Development Fund (CM17/00095, INT17/00066). These institutions did not have any role in the research and writing of this manuscript.

Funding

This work is part of the EIPT-VHC project, which was supported by the Spanish Ministry of Health and by the Carlos III Health Institute in the context of the “Strategic Plan for Tackling Hepatitis C in the Spanish National Health System”. These institutions did not have any role in the research and writing of this manuscript.

Author information

Affiliations

Authors

Corresponding author

Correspondence to Regina Juanbeltz.

Ethics declarations

Conflict of interest

RJ and JC have received research grants from Carlos III Institute of Health with the European Regional Development Fund, during the conduct of the study (CM17/00095, INT17/00066). IMB, AO, MS and RSM declare that they have no conflict of interest.

Ethical approval

All procedures performed in studies involving human participants were in accordance with the ethical standards of the institutional research committee and with the 1964 Helsinki declaration and its later amendments or comparable ethical standards.

Informed consent

Informed consent was obtained from all individual participants included in the study.

Additional information

Publisher’s Note

Springer Nature remains neutral with regard to jurisdictional claims in published maps and institutional affiliations.

Electronic supplementary material

Below is the link to the electronic supplementary material.

Supplementary material 1 (XLS 3424 KB)

Rights and permissions

Reprints and Permissions

About this article

Verify currency and authenticity via CrossMark

Cite this article

Juanbeltz, R., Castilla, J., Martínez-Baz, I. et al. Health-related quality of life in hepatitis C patients who achieve sustained virological response to direct-acting antivirals: a comparison with the general population. Qual Life Res 28, 1477–1484 (2019). https://doi.org/10.1007/s11136-019-02111-1

Download citation

  • Accepted:

  • Published:

  • Issue Date:

  • DOI: https://doi.org/10.1007/s11136-019-02111-1

Keywords

  • Health-related quality of life
  • Quality of life
  • Hepatitis C
  • Direct-acting antiviral
  • EQ-5D
  • Population norms