Abstract
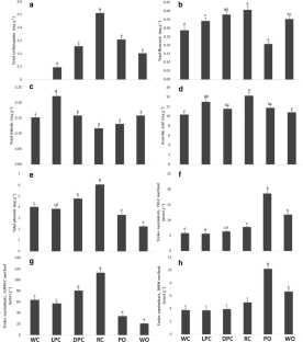
Chaura (Gaultheria poeppigii) is a plant species native from Southern Chile, which produces a berry fruit with potential beneficial health effects due to its content of phenolic compounds. The qualitative and quantitative determination of the phenolic compounds from fruits of different colored genotypes (white-, pink- and red-colored) collected from the Osorno volcano and the Conguillío National Park (CNP) in southern Chile were analyzed by mass spectrometry (HPLC-DAD-ESI-MS/MS) and HPLC-DAD, respectively. The total content of phenolic compounds was evaluated by the Folin-Ciocalteu method, and its antioxidant activity by the CUPRAC, TEAC and DPPH methods. Four anthocyanins were detected, with glycosylated derivatives of delphinidin and cyanidin being the most abundant. Fruits with more coloration had higher anthocyanin concentrations. Six flavonols were detected, with quercetin derivatives being the most abundant. The highest concentration of total flavonols reached 0.41 mg g−1 in red colored fruits. The profiles of phenolic compounds showed differences between fruits depending on both the color and the area of collection. Finally, it would be interesting to evaluate the genetic profiles of chaura to determine whether this variation in phenolics and colorations is dependent on the geographical location or dependent on the genotype of the plant.


Similar content being viewed by others
References
Ruiz A, Mardones C, Vergara C, Hermosín-Gutiérrez I, von Baer D, Hinrichsen P, Rodriguez R, Arribillaga D, Dominguez E (2013) Analysis of hydroxycinnamic acids derivatives in calafate (Berberis microphylla G. Forst) berries by liquid chromatography with photodiode array and mass spectrometry detection. J Chromatogr A 1281:38–45. https://doi.org/10.1016/j.chroma.2013.01.059
Ruiz A, Hermosín-Gutiérrez I, Vergara C, von Baer D, Zapata M, Hitschfeld A, Obando L, Mardones C (2013) Anthocyanin profiles in south Patagonian wild berries by HPLC-DAD-ESI-MS/MS. Food Res Int 51:703–713. https://doi.org/10.1016/j.foodres.2013.01.043
Ruiz A, Bustamante L, Vergara C, von Baer D, Hermosín-Gutiérrez I, Obando L, Mardones C (2015) Hydroxycinnamic acids and flavonols in native edible berries of South Patagonia. Food Chem 167:84–90. https://doi.org/10.1016/j.foodchem.2014.06.052
Wang YR, Lu YF, Hao SX, Zhang ML, Zhang J, Tian J, Yao YC (2015) Different coloration patterns between the red- and white-fleshed fruits of Malus crabapples. Sci Hortic 194:26–33. https://doi.org/10.1016/j.scienta.2015.07.041
Zhang C, Fu J, Wang Y, Gao S, Du D, Wu F, Guo J, Dong L (2015) Glucose supply improves petal coloration and anthocyanin biosynthesis in Paeonia suffruticosa ‘Luoyang Hong’ cut flowers. Postharvest Biol Tec 101:73–81. https://doi.org/10.1016/j.postharvbio.2014.11.009
Lee SG, Vance TM, Nam TG, Kim DO, Koo SI, Chun OK (2015) Contribution of anthocyanin composition to total antioxidant capacity of berries. Plant Foods Hum Nutr 70:427–432. https://doi.org/10.1007/s11130-015-0514-5
Morita M, Naito Y, Yoshikawa T, Niki E (2017) Antioxidant capacity of blueberry extracts: peroxyl radical scavenging and inhibition of plasma lipid oxidation induced by multiple oxidants. J Berry Res 7:1–9. https://doi.org/10.3233/JBR-170152
Nowak D, Goslinsky M, Przygonsky K, Wojtowicz E (2018) The antioxidant properties of exotic fruit juices from acai, maqui berry and noni berries. Eur Food Res Technol 244:1897–1905. https://doi.org/10.1007/s00217-018-3102-8
Piljac-Žegarac J, Valek L, Martinez S, Belščak A (2009) Fluctuations in the phenolic content and antioxidant capacity of dark fruit juices in refrigerated storage. Food Chem 13:394–400. https://doi.org/10.1016/j.foodchem.2008.07.048
Feng C, Su S, Wang L, Wu J, Tang Z, Xu Y, Shu Q, Wang L (2016) Antioxidant capacities and anthocyanin characteristics of the black–red wild berries obtained in Northeast China. Food Chem 204:150–158. https://doi.org/10.1016/j.foodchem.2016.02.122
Rojo L, Ribnicky D, Logendra S et al (2012) In vitro and in vivo anti-diabetic effects of anthocyanins from Maqui berry (Aristotelia chilensis). Food Chem 131:387–396. https://doi.org/10.1016/j.foodchem.2011.08.066
Schulz M, Chim JF (2019) Nutritional and bioactive value of Rubus berries. Food Biosci 31:11438. https://doi.org/10.1016/j.fbio.2019.100438
Nowak D, Grąbczewska Z, Gośliński M, Obońska K, Dąbrowska D, Kubica J (2016) Effect of chokeberry juice consumption on antioxidant capacity, lipids profile and endothelial function in healthy people: a pilot study. Czech J Food Sci 34:39–46. https://doi.org/10.17221/258/2015-CJFS
Skoczyńska A, Jedrychowska I, Poręba R, Affelska-Jercha A, Turczyn B, Wojakovsza A, Andrzejak R (2007) Influence of chokeberry juice on arterial blood pressure and lipid parameters in men with mild hypercholesterolemia. Pharmacol Rep 59:177–182
Banjari I, Misir A, Šavikin K, Jokić S, Molnar M, De Zoysa HKS, Waisundara VY (2017) Antidiabetic effects of Aronia melanocarpa and its other therapeutic properties. Front Nutr 4:53. https://doi.org/10.3389/fnut.2017.00053
Shinomiya R, Fujishima H, Muramoto K, Shiraishi M (2015) Impact of temperature and sunlight on the skin coloration of the ‘Kyoho’ table grape. Sci Hortic 193:77–83. https://doi.org/10.1016/j.scienta.2015.06.042
Ruiz A, Sanhueza M, Gómez F, Tereucán G, Valenzuela T, García S, Cornejo P, Hermosín-Gutiérrez I (2019) Changes on the content of anthocyanins, flavonols and antioxidant activity in Fragaria ananassa var. Camarosa fruits under traditional and organic fertilization. J Sci Food Agric 99:2404–2410. https://doi.org/10.1002/jsfa.9447
Ruiz A, Hermosín-Gutiérrez I, Mardones C et al (2010) Polyphenols and antioxidant activity of calafate (Berberis microphylla) fruits and other native berries from southern Chile. J Agric Food Chem 58:6081–6089. https://doi.org/10.1021/jf100173x
Mieres-Castro D, Schmeda-Hirschmann G, Theodoluz C et al (2019) Antioxidant activity and the isolation of polyphenols and new iridoids from Chilean Gaultheria phillyreifolia and G. poeppigii berries. Food Chem 291:167–179. https://doi.org/10.1016/j.foodchem.2019.04.019
Teillier S, Escobar F (2013) Revision of the genus of Gaultheria L. (Ericaceae) in Chile. Gayana Bot 70:136–153. https://doi.org/10.4067/S0717-664320130001000014
Parada J, Valenzuela T, Gómez F, Tereucán G, García S, Cornejo P, Winterhalter P, Ruiz A (2019) Effect of fertilization and arbuscular mycorrhizal fungal inoculation on antioxidant profiles and activities in Fragaria ananassa fruit. J Sci Food Agric 99:1397–1404. https://doi.org/10.1002/jsfa.9316
Whyte J (1987) Biochemical composition and energy content of six species of phytoplankton used in maniculture of bivalves. Aquaculture 60:231–241. https://doi.org/10.1016/0044-8486(87)90290-0
Pérez-Magariño S, González-San José ML (2002) Prediction of red and rose wine CIELab parameters from simple absorbance measurements. J Sci Food Agric 82:1319–1324. https://doi.org/10.1002/jsfa.1191
Veberic R, Slatnar A, Bizjak J, Stampar F, Mikulic-Petkovzek M (2015) Anthocyanin composition of different wild and cultivated berry species. LWT–Food Sci Technol 60:509–517. https://doi.org/10.1016/j.lwt.2014.08.033
Castrejon ADR, Eichholz I, Rohn S, Krow LW, Huyskens-Keil S (2008) Phenolic profile and antioxidant activity of highbush blueberry (Vaccinium corymbosum L.) during fruit maturation and ripening. Food Chem 109:564–572. https://doi.org/10.1016/j.foodchem.2008.01.007
Sytarova I, Orsavova J, Snopek L, Mlcek J, Byczynski L, Misurkova L (2020) Impact of phenolic compounds and vitamins C and E on antioxidant activity of sea buckthorn (Hippophaë rhamnoides L.) berries and leaves of diverse ripening times. Food Chem 310:125784. https://doi.org/10.1016/j.foodchem.2019.125784
Burdejova L, Tobolkova B, Polovka M (2020) Effects of different factors on concentration of functional components of Aronia and Saskatoon berries. Plant Foods Hum Nutr 75:83–88. https://doi.org/10.1007/s11130-019-00780-4
Prior RL, Wu X, Schaich K (2005) Standardized methods for the determination of antioxidant capacity and phenolics in foods and dietary supplements. J Agric Food Chem 53:4290–4302. https://doi.org/10.1021/jf0502698
Fredes C, Montenegro G, Zoffoli JP, Santander F, Robert P (2014) Comparison of the total phenolic content, total anthocyanin content and antioxidant activity of polyphenol-rich fruits grown in Chile. Cienc Investig Agrar 41:9–10. https://doi.org/10.4067/s0718-16202014000100005
Lou X, Xu H, Hanna M, Yuan L (2020) Identification and quantification of free, esterified, glycosylated and insoluble-bound phenolic compounds in hawthorn berry fruit (Crataegus pinnatifida) and antioxidant activity evaluation. LWT–Food Sci Technol 130:109643. https://doi.org/10.1016/j.lwt.2020.109643
Nowicka A, Kucharska A, SokoI-Letowska A, Fecka I (2019) Comparison of polyphenol content and antioxidant capacity of strawberry fruit from 90 cultivars of Fragaria x ananassa Duch. Food Chem 270:32–46. https://doi.org/10.1016/j.foodchem.2018.07.015
Gündüz K, Özdemir E (2014) The effects of genotype and growing conditions on antioxidant capacity, phenolic compounds, organic acid and individual sugars of strawberry. Food Chem 155:298–303. https://doi.org/10.1016/j.foodchem.2014.01.064
Michel P, Owczarek A, Kosno M, Gontarek D, Matczak M, Olszewska A (2017) Variation in polyphenolic profile and in vitro antioxidant activity of eastern teaberry (Gaultheria procumbens L.) leaves following foliar development. Phytochem Lett 20:356–364. https://doi.org/10.1016/j.phytol.2016.12.007
Camelo-Mendez GA, Vanegas-Espinoza PE, Escudero-Gilete ML, Heredia FL, Paredes-Lopez O, Del Villar-Martinez AA (2018) Colorimetric analysis of Hibiscus beverages and their potential antioxidant properties. Plant Foods Hum Nutr 73:247–252. https://doi.org/10.1007/s11130-018-0672-3
Dragovic-Uzelac V, Savic Z, Brala A, Levaj B, Kovacevic DB, Bisko A (2010) Evaluation of phenolic content and antioxidant capacity of blueberry cultivars (Vaccinium corymbosum L.) grown in the Northwest Croatia. Food Technol Biotechnol 48:214–221
Availability of Data and Material (Data Transparency)
Not applicable.
Code Availability
Not applicable.
Funding
The authors would like to thank ANID/FONDECYT Grants 11150375 and 1190585 for financial support.
Author information
Authors and Affiliations
Contributions
Paulina Oyarzún: Validation, Investigation, Writing original draft; Pablo Cornejo: Formal analysis, Data curation; Sergio Gómez-Alonso: Resources, Review & editing; Antonieta Ruiz: Conceptualization, supervision, Writing - review & editing, Project administration, Funding acquisition.
Corresponding author
Ethics declarations
Conflict of Interest
The authors declare that they have no conflicts of interest.
Ettics Aproval
Not applicable.
Consent to Participate
Not applicable.
Consent for Publication
Not applicable.
Additional information
Publisher’s Note
Springer Nature remains neutral with regard to jurisdictional claims in published maps and institutional affiliations.
Electronic supplementary material
ESM 1
(DOCX 382 kb)
Rights and permissions
About this article
Cite this article
Oyarzún, P., Cornejo, P., Gómez-Alonso, S. et al. Influence of Profiles and Concentrations of Phenolic Compounds in the Coloration and Antioxidant Properties of Gaultheria poeppigii Fruits from Southern Chile. Plant Foods Hum Nutr 75, 532–539 (2020). https://doi.org/10.1007/s11130-020-00843-x
Published:
Issue Date:
DOI: https://doi.org/10.1007/s11130-020-00843-x


