Abstract
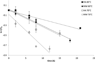
Carotenoids are natural compounds whose nutritional importance comes from the provitamin A activity of some of them and their protection against several serious human disorders. The degradation of carotenoids was investigated during apricot drying by microwave and convective hot-air at 60 and 70 °C. Seven carotenoids were identified: antheraxanthin, lutein, zeaxanthin, β-cryptoxanthin, 13-cis-β-carotene, all-trans-β-carotene and 9-cis-β-carotene; among these, all-trans-β-carotene was found to be about 50 % of total carotenoids. First-order kinetic models were found to better describe all-trans-β-carotene reduction during drying, with a degradation rate constant (k1) that increased two folds when temperatures increased by 10 °C, in both methods. No differences were found in k1 between apricots dried by hot air at 70 °C (k1 = 0.0340 h−1) and by microwave at 60 °C. The evolution of total carotenoids (117.1 mg/kg on dry basis) during drying highlighted a wider decrease (about 50 %) when microwave heating was employed, for both set temperatures. Antheraxantin was found to be the carotenoid most susceptible to heat, disappearing at 6 h during both trials with microwave as well as during convective hot-air at 70 °C. For this reason, antheraxanthin could be a useful marker for the evaluation of thermal damage due to the drying process. Also the degree of isomerization of all-trans-β-carotene could be a useful marker for the evaluation of the drying process.



Similar content being viewed by others
Abbreviations
- C- C0 :
-
Concentration (%) at time t and at time zero
- HA:
-
Hot air
- HPLC:
-
High performance liquid chromatography
- k0− k1 :
-
Zero order-first-order rate constant
- MTBE:
-
Tert-methyl-butyl-ether
- MW:
-
Microwave
- t:
-
Drying time
- t½ :
-
Time required to halve C0 during the drying
References
Rodriguez-Amaya DB (2010) Quantitative analysis, in vitro assessment of bioavailability and antioxidant activity of food carotenoids - A review. J Food Comp Anal 23:726–740
Piga A, Poiana M, Pinna I, Agabbio M, Mincione A (2004) Drying performance of five Italian apricot cultivars. Sci Aliments 24:247–259
Karabulut I, Topcu A, Durana A, Turanb S, Ozturk B (2007) Effect of hot air drying and sun drying on color values and β-carotene content of apricot (Prunus armenica L.). Lebensm Wiss Technol 40:753–758
Madrau MA, Piscopo A, Sanguinetti AM, Del Caro A, Poiana M, Romeo FV, Piga A (2009) Effect of drying temperature on polyphenolic content and antioxidant activity of apricots. Eur Food Res Tech 228:441–448
Schieber A, Carle R (2005) Occurrence of carotenoid cis-isomers in food: technological, analytical, and nutritional implications. Trends Food Sci Tech 16:416–422
Krinsky NL (2001) Carotenoids as antioxidants. Nutrition 17:815–817
Beatty S, Boulton M, Henson D, Koh HH, Murray IJ (1999) Macular pigment and age related macular degeneration. British J Opht 83:867–877
Sass-Kiss A, Kiss J, Milotay P, Kerek MM, Toth-Markus M (2005) Differences in anthocyanin and carotenoid content of fruits and vegetables. Food Res Int 38:1023–1029
Kurz C, Carle R, Schieber A (2008) HPLC-DAD-MS characterisation of carotenoids from apricots and pumpkins for the evaluation of fruit product authenticity. Food Chem 110:522–530
Faulks RM, Southon S (2005) Challenges to understanding and measuring carotenoid bioavailability. Biochim Biophys Acta 1740:95–100
Di Scala KC, Crapiste GH (2008) Drying kinetics and quality changes during drying of red pepper. Lebensm Wiss Technol 41:789–795
Ferreira JEM, Rodriguez-Amaya DB (2008) Degradation of lycopene and β-carotene in model systems and in lyophilized guava during ambient storage: kinetics, structure, and matrix effects. J Food Sci 73:C589–C594
Demiray E, Tulek Y, Yilmaz Y (2013) Degradation kinetics of lycopene, β-carotene and ascorbic acid in tomatoes during hot air drying. Lebensm Wiss Technol 50:172–176
Cuccurullo G, Giordano L, Albanese D, Cinquanta L, Di Matteo M (2012) Infrared thermography assisted control for apples microwave drying. J Food Eng 112:319–325
Albanese D, Cinquanta L, Cuccurullo G, Di Matteo M (2013) Effects of microwave and hot air and drying methods on colour, β-carotene and radical scavenging activity of apricots. Int J Food Sci 48:1327–1333
Leccese A, Bureau S, Reich M, Renard M-G-C, Audergon J-M, Mennone C, Bartolini S, Viti R (2010) Pomological and nutraceutical properties in apricot fruit: cultivation systems and cold storage fruit management. Plant Foods Hum Nutr 65:112–120
Panfili G, Fratianni A, Irano M (2004) Improved normal-phase high performance liquid chromatography procedure for determination of carotenoids in cereals. J Agric Food Chem 51:3940–3944
Mouly PP, Gaydou EM, Corsetti J (1999) Determination of the geographical origin of Valencia orange juice using carotenoid liquid chromatographic profiles. J Chromatogr A 844:149–159
Meléndez-Martínez AJ, Britton G, Vicario IM, Heredía FJ (2005) Color and carotenoid profile of Spanish Valencia late ultrafrozen orange juices. Food Res Int 38:931–936
Ruiz D, Egea J, Gil MI, Tomás-Barberán FA (2005) Carotenoids from new apricot (Prunus armeniaca L.) varieties and their relationship with flesh and skin color. J Agric Food Chem 53:6368–6374
Fraser PD, Bramley PM (2004) The biosynthesis and nutritional uses of carotenoids. Lipid Res 43:228–265
Dragovic-Uzelac V, Levaj B, Mrkic V, Bursac D, Boras M (2007) The content of polyphenols and carotenoids in three apricot cultivars depending on stage of maturity and geographical region. Food Chem 102:966–975
Fratianni A, Cinquanta L, Panfili G (2010) Degradation of carotenoids in orange juice during microwave heating. Lebensm Wiss Technol 45:867–871
Meléndez-Martínez AJ, Britton G, Vicario IM, Heredia FJ (2008) The complex carotenoid pattern of orange juices from concentrate. Food Chem 109:546–553
Penicaud C, Achir N, Dhuique-Mayer C, Dornier M, Bohuon P (2011) Degradation of β-carotene during fruit and vegetable processing or storage: reaction mechanisms and kinetic aspects: a review. Fruits 66:417–440
Donado-Pestana CM, Salgado JM, de Oliveira Rios A, dos Santos PR, Jablonski A (2012) Stability of carotenoids, total phenolics and in vitro antioxidant capacity in the thermal processing of orange-fleshed sweet potato (Ipomoea batatas Lam.) cultivars grown in Brazil. Plant Foods Hum Nutr 67:262–270
Panfili G, Fratianni A, Di Criscio T, Gammariello D, Sorrentino E (2008) Influence of microorganisms on retinol isomerization in milk. J Dairy Res 75:37–43
Fratianni A, Di Criscio T, Mignogna R, Panfili G (2012) Carotenoids, tocols and retinols evolution during egg pasta – making processes. Food Chem 131:590–595
Lavelli V, Zanoni B, Zaniboni A (2007) Effect of water activity on carotenoid degradation in dehydrated carrots. Food Chem 104:1705–1711
Conflict of Interest
The authors declare that they have no conflict of interest.
Author information
Authors and Affiliations
Corresponding author
Rights and permissions
About this article
Cite this article
Fratianni, A., Albanese, D., Mignogna, R. et al. Degradation of Carotenoids in Apricot (Prunus armeniaca L.) During Drying Process. Plant Foods Hum Nutr 68, 241–246 (2013). https://doi.org/10.1007/s11130-013-0369-6
Published:
Issue Date:
DOI: https://doi.org/10.1007/s11130-013-0369-6


