Abstract
Although only 2–4% of absorbed light is emitted as chlorophyll (Chl) a fluorescence, its measurement provides valuable information on photosynthesis of the plant, particularly of Photosystem II (PSII) and Photosystem I (PSI). In this paper, we have examined photosynthetic parameters of Suaeda fruticosa L. (family: Amaranthaceae), surviving under extreme xerohalophytic conditions, as influenced by diurnal rhythm or continuous dark condition. We report here CO2 gas exchange and the kinetics of Chl a fluorescence of S. fruticosa, made every 3 hours (hrs) for 3 days, using a portable infra-red gas analyzer and a Handy PEA fluorimeter. Our measurements on CO2 gas exchange show the maximum rate of photosynthesis to be at 08:00 hrs under diurnal condition and at 05:00 hrs under continuous dark. From the OJIP phase of Chl a fluorescence transient, we have inferred that the maximum quantum yield of PSII photochemistry must have increased during the night under diurnal rhythm, and between 11:00 and 17:00 hrs under constant dark. Overall, our study has revealed novel insights into how photosynthetic reactions are affected by the photoperiodic cycles in S. fruticosa under high salinity. This study has further revealed a unique strategy operating in this xero-halophyte where the repair mechanism for damaged PSII operates during the dark, which, we suggest, contributes to its ecological adaptation and ability to survive and reproduce under extreme saline, high light, and drought conditions. We expect these investigations to help in identifying key genes and pathways for raising crops for saline and dry areas.





Similar content being viewed by others
Explore related subjects
Discover the latest articles and news from researchers in related subjects, suggested using machine learning.Abbreviations
- Chl:
-
Chlorophyll
- C i :
-
Internal CO2 concentration
- EC:
-
Electrical conductivity
- ETR:
-
Electron transport rate
- F v/F m :
-
Maximum quantum yield of Photosystem II (PSII)
- G s :
-
Stomatal conductance
- hrs:
-
hours
- NPQ:
-
Non-photochemical quenching of the excited state of Chl, usually by heat loss
- NPR:
-
Net photosynthesis rate
- q N :
-
A coefficient for non-photochemical quenching of the excited state of Chl
- q P :
-
A coefficient for photochemical quenching of the excited state of Chl
- ROS:
-
Reactive oxygen species
- T r :
-
Transpiration rate
References
Allakhverdiev SI, Sakamoto A, Nishiyama Y, Inaba M, Murata N (2000) Ionic and osmotic effects of NaCl-induced inactivation of photosystems I and II in Synechococcus sp. Plant Physiol 123(3):1047–1056
Allakhverdiev SI, Nishiyama Y, Miyairi S, Yamamoto H, Inagaki N, Kanesaki Y, Murata N (2002) Salt stress inhibits the repair of photodamaged photosystem II by suppressing the transcription and translation of psbA genes in Synechocystis. Plant Physiol 130(3):1443–1453
Allakhverdiev SI, Kreslavski VD, Klimov VV, Los DA, Carpentier R, Mohanty P (2008) Heat stress: an overview of molecular responses in photosynthesis. Photosynth Res 98(1–3):541
Bacarin MA, Martinazzo EG, Cassol D, Falqueto AR, Silva DM (2016) Daytime variations of chlorophyll a fluorescence in Pau D’alho seedlings. Rev Árvore 40(6):1023–1030
Bahn M, Schmitt M, Siegwolf R, Richter A, Bruggemann N (2009) Does photosynthesis affect grassland soil-respired CO2 and its carbon isotope composition on a diurnal time scale? N Phytol 182(2):451–460
Bastías E, González-Moro MB, González-Murua C (2015) Interactive effects of excess boron and salinity on response curves of gas exchange to increase in the intensity of light of Zea mays amylacea from the Lluta Valley (Arica-Chile). IDESIA (Chile) 33:33–38
Bendix C, Marshall CM, Harmon FG (2015) Circadian clock genes universally control key agricultural traits. Mol Plant 8(8):1135–1152
Bussotti F, Desotgiu R, Pollastrini M, Cascio C (2010) The JIP test: a tool to screen the capacity of plant adaptation to climate change. Scand J For Res 25(S8):43–50
Cano-Ramirez DL, Dodd AN (2018) New connections between circadian rhythms, photosynthesis, and environmental adaptation. Plant Cell Environ 41(11):2515–2517
Chen TW, Stützel H, Kahlen K (2017) High light aggravates functional limitations of cucumber canopy photosynthesis under salinity. Ann Bot 121(5):797–807
Cheng T, Zhang G, Zhang S, Al Z, Zhang Y (2016) Photosynthesis diurnal variation of Xanthoceras sorbifolia Bunge under different soil water conditions. Acta Bot Sin 9:16
De Caluwé J, de Melo JRF, Tosenberger A, Hermans C, Verbruggen N, Leloup JC, Gonze D (2017) Modeling the photoperiodic entrainment of the plant circadian clock. J Theor Biol 420:220–231
de Dios VR (2017) Circadian regulation and diurnal variation in gas exchange. Plant Physiol 175(1):3–4
de Dios VR, Gessler A, Ferrio JP, Alday JG, Bahn M, del Castillo J, Devidal S, García-Muñoz S, Kayler Z, Landais D, Martín-Gómez P, Milcu A, Piel C, Pirhofer-Walzl K, Ravel O, Salekin S, Tissue DT, Tjoelker MG, Voltas J, Roy J (2016) Circadian rhythms have significant effects on leaf-to-canopy scale gas exchange under field conditions. GigaScience 5:43
Dodd AN, Kusakina J, Hall A, Gould PD, Hanaoka M (2014) The circadian regulation of photosynthesis. Photosynth Res 119(1–2):181–190
Downton WJS, Grant WJR, Loveys BR (1987) Diurnal changes in the photosynthesis of field-grown grape vines. N Phytol 105(1):71–80
Duarte B, Cabrita MT, Gameiro C, Matos AR, Godinho R, Marques JC, Cacador I (2017) Disentangling the photochemical salinity tolerance in Aster tripolium L.: connecting biophysical traits with changes in fatty acid composition. Plant Biol 19(2):239–248
Epron D, Dreyer E, Breda N (1992) Photosynthesis of oak trees [Quercus petraea (Matt.) Liebl.] during drought under field conditions: diurnal course of net CO2 assimilation and photochemical efficiency of photosystem II. Plant Cell Environ 15(7):809–820
Feng D, Wang Y, Lu T, Zhang Z, Han X (2017) Proteomics analysis reveals a dynamic diurnal pattern of photosynthesis-related pathways in maize leaves. PLoS ONE 12(7):e0180670
Fisher RA (ed) (2006) Statistical methods for research workers. Genesis Publishing Pvt. Ltd., New Delhi
Flowers TJ, Colmer TD (2015) Plant salt tolerance: adaptations in halophytes. Ann Bot 115(3):327–331
García-Plazaola JI, Fernández-Marín B, Ferrio JP, Alday JG, Hoch G, Landais D, Milcu A, Tissue DT, Voltas J, Gessler A, Roy J, de Dios VR (2017) Endogenous circadian rhythms in pigment composition induce changes in photochemical efficiency in plant canopies. Plant Cell Environ 40(7):1153–1162
Gautam A, Agrawal D, SaiPrasad SV, Jajoo A (2014) A quick method to screen high and low yielding wheat cultivars exposed to high temperature. Physiol Mol Biol Plant 20(4):533–537
Goldstein A, Annor G, Vamadevan V, Tetlow I, Kirkensgaard JJ, Mortensen K, Blennow A, Hebelstrup KH, Bertoft E (2017) Influence of diurnal photosynthetic activity on the morphology, structure, and thermal properties of normal and waxy barley starch. Int J Biol Macromol 98:188–200
Goussi R, Manaa A, Derbali W, Cantamessa S, Abdelly C, Barbato R (2018) Comparative analysis of salt stress, duration and intensity, on the chloroplast ultrastructure and photosynthetic apparatus in Thellungiella salsuginea. J Photochem Photobiol B 183:275–287
Govindjee, Wong D, Prézelin BB, Sweeney BM (1979) Chlorophyll a fluorescence of Gonyaulax polyedra grown on a light–dark cycle and after transfer to constant light. Photochem Photobiol 30(3):405–411
Greenham K, McClung CR (2015) Integrating circadian dynamics with physiological processes in plants. Nat Rev Genet 16(10):598
Guo R, Shi L, Yan C, Zhong X, Gu F, Liu Q, Xia X, Li H (2017) Ionomic and metabolic responses to neutral salt or alkaline salt stresses in maize (Zea mays L.) seedlings. BMC Plant Biol 17(1):41
Gururani MA, Venkatesh J, Ganesan M, Strasser RJ, Han Y, Kim JI, Lee HY, Song PS (2015) In vivo assessment of cold tolerance through chlorophyll-a fluorescence in transgenic Zoysiagrass expressing mutant phytochrome A. PLoS ONE 10(5):e0127200
Hajiboland R (2014) Reactive oxygen species and photosynthesis. In: Ahmad P (ed) Oxidative damage to plants: antioxidant networks and signaling. Academic, Cambridge, pp 1–63
Hamdani S, Khan N, Perveen S, Qu M, Jiang J, Zhu XG (2019) Changes in the photosynthesis properties and photoprotection capacity in rice (Oryza sativa) grown under red, blue, or white light. Photosynth Res 139(1–3):107–121
Hills A, Chen ZH, Amtmann A, Blatt MR, Lew VL (2012) On Guard, a computational platform for quantitative kinetic modeling of guard cell physiology. Plant Physiol 159:1026–1042
Huang W, Yang YJ, Hu H, Cao KF, Zhang SB (2016) Sustained diurnal stimulation of cyclic electron flow in two tropical tree species Erythrophleum guineense and Khaya ivorensis. Front Plant Sci 7:1068
Hwang JS, Choo YS (2016) Solute patterns and diurnal variation of photosynthesis and chlorophyll fluorescence in Korean coastal sand dune plants. Photosynthetica 55(1):107–120
Ikkonen EN, Shibaeva TG, Rosenqvist E, Ottosen CO (2015) Daily temperature drop prevents inhibition of photosynthesis in tomato plants under continuous light. Photosynthetica 53(3):389–394
Järvi S, Suorsa M, Aro EM (2015) Photosystem II repair in plant chloroplasts—regulation, assisting proteins and shared components with photosystem II biogenesis. BBA Bioenerg 1847(9):900–909
Joët T, Genty B, Josse EM, Kuntz M, Cournac L, Peltier G (2002) Involvement of a plastid terminal oxidase in plastoquinone oxidation as evidenced by expression of the Arabidopsis thaliana enzyme in tobacco. J Biol Chem 277(35):31623–31630
Joshi R, Karan R, Singla-Pareek SL, Pareek A (2016) Ectopic expression of Pokkali phosphoglycerate kinase-2 (OsPGK2-P) improves yield in tobacco plants under salinity stress. Plant Cell Rep 35(1):27–41
Kan X, Ren J, Chen T, Cui M, Li C, Zhou R, Zhang Y, Liu H, Deng D, Yin Z (2017) Effects of salinity on photosynthesis in maize probed by prompt fluorescence, delayed fluorescence and P700 signals. Environ Exp Bot 140:56–64
Kim SW, Lee SK, Jeong HJ, An G, Jeon JS, Jung KH (2017) Crosstalk between diurnal rhythm and water stress reveals an altered primary carbon flux into soluble sugars in drought-treated rice leaves. Sci Rep 7(1):8214
Kolosova N, Gorenstein N, Kish CM, Dudareva N (2001) Regulation of circadian methyl benzoate emission in diurnally and nocturnally emitting plants. Plant Cell 13(10):2333–2347
Krishna PH, Reddy CS, Meena SL, Katewa SS (2014) Pattern of plant species diversity in grasslands of Rajasthan, India. Taiwania 59(2):111–118
Kumar G, Kushwaha HR, Panjabi-Sabharwal V, Kumari S, Joshi R, Karan R, Mittal S, Pareek SLS, Pareek A (2012) Clustered metallothionein genes are co-regulated in rice and ectopic expression of OsMT1e-P confers multiple abiotic stress tolerance in tobacco via ROS scavenging. BMC Plant Biol 12(1):107
Lazár D (2015) Parameters of photosynthetic energy partitioning. J Plant Physiol 175:131–147
Leakey ADB, Bernacchi CJ, Dohleman FG, Ort DR, Long SP (2004) Will photosynthesis of maize (Zea mays) in the US corn belt increase in future [CO2] rich atmospheres? An analysis of diurnal courses of CO2 uptake under free-air concentration enrichment (FACE). Glob Change Biol 10(6):951–962
Lee G, Carrow RN, Duncan RR (2004) Photosynthetic responses to salinity stress of halophytic seashore paspalum ecotypes. Plant Sci 166(6):1417–1425
Li G, Woroch AD, Donaher NA, Cockshutt AM, Campbell DA (2016) A hard day’s night: diatoms continue recycling photosystem II in the dark. Front Mar Sci 3:218
Locke AM, Slattery RA, Ort DR (2018) Field-grown soybean transcriptome shows diurnal patterns in photosynthesis-related processes. Plant Direct 2:1–14
Lu A, Jiang G, Wang B, Kuang T (2003) Photosystem II photochemistry and photosynthetic pigment composition in salt-adapted halophyte Artemisia anethifolia grown under outdoor conditions. J Plant Physiol 160:403–4008
Luo HH, Merope TM, Zhang YL, Zhang WF (2016) Combining gas exchange and chlorophyll a fluorescence measurements to analyze the photosynthetic activity of drip-irrigated cotton under different soil water deficits. J Integr Agric 15(6):1256–1266
Marcińska I, Czyczyło-Mysza I, Skrzypek E, Grzesiak MT, Popielarska-Konieczna M, Warchoł M, Grzesiak S (2017) Application of photochemical parameters and several indices based on phenotypical traits to assess intraspecific variation of oat (Avena sativa L.) tolerance to drought. Acta Physiol Plant 39(7):153
Mathur S, Jajoo A, Mehta P, Bharti S (2011) Analysis of elevated temperature-induced inhibition of photosystem II using chlorophyll a fluorescence induction kinetics in wheat leaves (Triticum aestivum). Plant Biol 13(1):1–6
Matthews JS, Vialet-Chabrand SR, Lawson T (2017) Diurnal variation in gas exchange: the balance between carbon fixation and water loss. Plant Physiol 174(2):614–623
McClung CR (2006) Plant circadian rhythms. Plant Cell 18(4):792–803
Megdiche W, Hessini K, Gharbi F, Jaleel CA, Ksouri R, Abdelly C (2008) Photosynthesis and photosystem 2 efficiency of two salt-adapted halophytic seashore Cakile maritima ecotypes. Photosynthetica 46(3):410–419
Meng F, Luo Q, Wang Q, Zhang X, Qi Z, Xu F, Lei X, Cao Y, Chow WS, Sun G (2016) Physiological and proteomic responses to salt stress in chloroplasts of diploid and tetraploid black locust (Robinia pseudoacacia L.). Sci Rep 6:23098
Mishra KB, Mishra A, Klem K, Govindjee (2016) Plant phenotyping: a perspective. Indian J Plant Physiol 21(4):514–527
Moraes TA, Mengin V, Annunziata MG, Encke B, Krohn N, Hoehne M, Stitt M (2019) Response of the circadian clock and diel starch turnover to one day of low light or low CO2. Plant Physiol 179(4):1457–1478
Mora-García S, de Leone MJ, Yanovsky M (2017) Time to grow: circadian regulation of growth and metabolism in photosynthetic organisms. Curr Opin Plant Biol 35:84–90
Naidoo G, Somaru R, Achar P (2008) Morphological and physiological responses of the halophyte, Odyssea paucinervis (Staph) (Poaceae), to salinity. Flora 203(5):437–447
Nash D, Miyao M, Murata N (1985) Heat inactivation of oxygen evolution in Photosystem II particles and its acceleration by chloride depletion and exogenous manganese. Biochim Biophys Acta 807:127–133
Nitschke S, Cortleven A, Iven T, Feussner I, Havaux M, Riefler M, Schmülling T (2016) Circadian stress regimes affect the circadian clock and cause jasmonic acid-dependent cell death in cytokinin-deficient Arabidopsis plants. Plant Cell 28(7):1616–1639
Nongpiur RC, Singla-Pareek SL, Pareek A (2019) The quest for ‘osmosensors’ in plants. J Exp Bot. https://doi.org/10.1093/jxb/erz263
Pan WJ, Wang X, Deng YR, Li JH, Chen W, Chiang JY, Yang JB, Zheng L (2015) Nondestructive and intuitive determination of circadian chlorophyll rhythms in soybean leaves using multispectral imaging. Sci Rep 5:11108
Papageorgiou GC, Govindjee (eds) (2004) Chlorophyll a fluorescence: a signature of photosynthesis. Springer, Dordrecht
Pareek A, Sopory SK, Bohnert HJ, Govindjee (2010) Abiotic stress adaptation in plants: physiological, molecular and genomic foundation. Springer, Dordrecht
Roach T, Miller R, Aigner S, Kranner I (2015) Diurnal changes in the xanthophyll cycle pigments of freshwater algae correlate with the environmental hydrogen peroxide concentration rather than non-photochemical quenching. Ann Bot 116(4):519–527
Roy PD, Singhvi AK (2016) Climate variation in the Thar Desert since the last glacial maximum and evaluation of the Indian monsoon. TIP Rev Espec Cienc Quím-Biol 19(1):32–44
Saeed AI, Bhagabati NK, Braisted JC, Liang W, Sharov V, Howe EA, Li J, Thiagarajan M, White JA, Quackenbush J (2006) [9] TM4 microarray software suite. Method Enzymol 411:134–193
Schaffer R, Landgraf J, Accerbi M, Simon V, Larson M, Wisman E (2001) Microarray analysis of diurnal and circadian-regulated genes in Arabidopsis. Plant Cell 13:113–123
Schreiber U, Schliwa U, Bilger W (1986) Continuous recording of photochemical and non-photochemical chlorophyll fluorescence quenching with a new type of modulation fluorometer. Photosynth Res 10(1–2):51–62
Schuback N, Flecken M, Maldonado MT, Tortell PD (2016) Diurnal variation in the coupling of photosynthetic electron transport and carbon fixation in iron-limited phytoplankton in the NE Subarctic Pacific. Biogeosciences 13(4):1019–1035
Sengupta S, Majumder AL (2009) Insight into the salt tolerance factors of a wild halophytic rice, Porteresia coarctata: a physiological and proteomic approach. Planta 229(4):911–929
Sengupta S, Mangu V, Sanchez L, Bedre R, Joshi R, Rajasekaran K, Baisakh N (2018) An actin depolymerizing factor from the halophyte smooth cordgrass, Spartina alterniflora (SaADF2) is superior to its rice homolog (OsADF2) in conferring drought and salt tolerance when constitutively overexpressed in rice. Plant Biotechnol J 503(3):1516–1523
Sharan A, Soni P, Nongpiur RC, Singla-Pareek SL, Pareek A (2017) Mapping the ‘Two-component system’ network in rice. Sci Rep 7(1):9287
Sharma PK, Hall DO (1991) Interaction of salt stress and photoinhibition on photosynthesis in Barley and Sorghum. J Plant Physiol 138(5):614–619
Shor E, Green RM (2016) The impact of domestication on the circadian clock. Trends Plant Sci 21(4):281–283
Singh A, Kushwaha HR, Soni P, Gupta H, Singla-Pareek SL, Pareek A (2015) Tissue specific and abiotic stress regulated transcription of histidine kinases in plants is also influenced by diurnal rhythm. Front Plant Sci 6:711
Sinha R, Raymahashay BC (2004) Evaporite mineralogy and geochemical evolution of the Sambhar Salt Lake, Rajasthan, India. Sediment Geol 166(1–2):59–71
Soda N, Gupta BK, Anwar K, Sharan A, Govindjee, Singla-Pareek SL, Pareek A (2018) Rice intermediate filament, OsIF, stabilizes photosynthetic machinery and yield under salinity and heat stress. Sci Rep 8(1):4072
Soni P, Kumar G, Soda N, Singla-Pareek SL, Pareek A (2013) Salt overly sensitive pathway members are influenced by diurnal rhythm in rice. Plant Signal Behav 8(7):e24738
Stepien P, Johnson GN (2009) Contrasting responses of photosynthesis to salt stress in the glycophyte Arabidopsis and the halophyte Thellungiella: role of the plastid terminal oxidase as an alternative electron sink. Plant Physiol 149(2):1154–1165
Stirbet A, Govindjee (2011) On the relation between the Kautsky effect (chlorophyll a fluorescence induction) and Photosystem II: basics and applications of the OJIP fluorescence transient. J Photochem Photobiol B 104(1–2):236–257
Stirbet A, Govindjee (2012) Chlorophyll a fluorescence induction: a personal perspective of the thermal phase, the J–I–P rise. Photosynth Res 113(1–2):15–61
Stirbet A, Riznichenko GY, Rubin AB (2014) Modeling chlorophyll a fluorescence transient: relation to photosynthesis. Biochemistry (Mosc) 79(4):291–323
Stirbet A, Lazár D, Kromdijk J, Govindjee (2018) Chlorophyll a fluorescence induction: can just a one-second measurement be used to quantify abiotic stress responses? Photosynthetica 56(1):86–104
Strasser RJ (1978) The grouping model of plant photosynthesis. In: Akoyunoglou G, Argyroudi-Akoyunoglou JH (eds) Chloroplast development. Elsevier Biomedical, Amsterdam, pp 513–538
Strasser RJ, Srivastava A, Tsimilli-Michael M (2000) The fluorescence transient as a tool to characterize and screen photosynthetic samples. In: Strasser RJ, Srivastava A, Tsimilli-Michael M (eds) Probing photosynthesis: mechanisms, regulation and adaptation. Taylor and Francis, London, pp 445–483
Strasser RJ, Srivastava A, Tsimilli-Michael M (2004) Analysis of the chlorophyll a fluorescence transient. In: Papageorgiou GC, Govindjee (eds) Advances in photosynthesis and respiration chlorophyll fluorescence a signature of photosynthesis. Springer, Dordrecht, pp 321–362
Suorsa M, Rantala M, Danielsson R, Järvi S, Paakkarinen V, Schröder WP, Styring S, Mamedov F, Aro EM (2014) Dark-adapted spinach thylakoid protein heterogeneity offers insights into the photosystem II repair cycle. BBA Bioenerg 1837(9):1463–1471
Tang J, Baldocchi DD, Xu L (2005) Tree photosynthesis modulates soil respiration on a diurnal time scale. Glob Change Biol 11(8):1298–1304
Taylor AO, Rowley JA (1971) Plants under climatic stress: I. Low temperature, high light effects on photosynthesis. Plant Physiol 47(5):713–718
Ullah S, Bano A (2015) Physiological mechanism of salt tolerance in Suaeda fruticosa collected from high saline fields of Khyber Pukhtoon-Khwa, Pakistan. Commun Soil Sci Plant 46(10):1212–1228
Vialet-Chabrand S, Matthews JS, Simkin AJ, Raines CA, Lawson T (2017) Importance of fluctuations in light on plant photosynthetic acclimation. Plant Physiol 173(4):2163–2179
Wang B, Luttge U, Ratajczak R (2004) Specific regulation of SOD isoforms by NaCl and osmotic stress in leaves of the C3 halophytes Suaeda salsa L. J Plant Physiol 161:285–293
Webb AA (2003) The physiology of circadian rhythms in plants. N Phytol 160(2):281–303
Wen X, Qiu N, Lu Q, Lu C (2005) Enhanced thermotolerance of photosystem II in salt-adapted plants of the halophyte Artemisia anethifolia. Planta 220(3):486–497
Wungrampha S, Joshi R, Singla-Pareek SL, Pareek A (2018) Photosynthesis and salinity: are these mutually exclusive? Photosynthetica 56(1):366–381
Yang XS, Chen GX (2015) Diurnal changes in gas exchange and chlorophyll fluorescence in Ginkgo leaves under field conditions. J Anim Plant Sci 25:309–313
Zhang RP, Yang DZ, Fu LS, Lu TG, Li DP, Xie FT (2007) Research of photosynthesis diurnal variation and its affecting factors for different source soybeans. Soybean Sci 26(4):490
Zhu XG, Long SP, Ort DR (2008) What is the maximum efficiency with which photosynthesis can convert solar energy into biomass? Curr Opin Biotechnol 19(2):153–159
Acknowledgements
SW, RJ, and RSR acknowledge Senior Research Fellowship from UGC (University Grants Commission, Government of India), Dr. D. S. Kothari Postdoctoral Fellowship from UGC, and DST-Inspire Doctoral Fellowship from DST (Department of Science and Technology), Government of India. Research in the Lab of AP is supported by funding from the Indo-US Science and Technology Forum (IUSSTF) for Indo-US Advanced Bioenergy Consortium (IUABC), International Atomic Energy Agency (Vienna), and UPE-II (India). Govindjee thanks the Departments of Plant Biology and Biochemistry of the University of Illinois at Urbana-Champaign for the use of computer facilities and office space. We thank Alexendrina Stirbet for reading this manuscript, especially Table 1.
Author information
Authors and Affiliations
Contributions
SW, RJ, and RSR carried out the experiments. SW and RJ drafted the manuscript. AP conceived and designed the study. AP, SLS-P, and G finalized the manuscript. All the authors have read and approved the final manuscript.
Corresponding author
Ethics declarations
Conflict of interest
The authors declare that they have no conflict of interest.
Additional information
Publisher's Note
Springer Nature remains neutral with regard to jurisdictional claims in published maps and institutional affiliations.
Electronic supplementary material
Below is the link to the electronic supplementary material.
11120_2019_659_MOESM1_ESM.tif
Supplementary material 1 (TIFF 576 kb) Supplementary Fig. 1 Light intensity at Sambhar Lake from dawn to dusk as on February of 2018 during the experimental period
11120_2019_659_MOESM2_ESM.tif
Supplementary material 2 (TIFF 344 kb) Supplementary Fig. 2 Percentage transmission from the double-layered black cloth that was used for covering plants to maintain continuous dark. Transmission from the dark cloth for the wavelength range of 300–900 nm was only ~ 1%
11120_2019_659_MOESM3_ESM.tif
Supplementary material 3 (TIFF 3033 kb) Supplementary Fig. 3 Polyphasic Chl a fluorescence transient of dark-adapted Suaeda fruticosa leaves at different intensities (2500–3400 μmol photons m−2 s−1) of 650 nm light a chlorophyll a fluorescence transient of the leaves of Suaeda fruticosa plotted on a logarithmic time scale. The O, J, I and P steps are marked in the figure, where, O is for origin (the minimum fluorescence Fo), J and I are for the intermediary fluorescence levels at 2 ms and 30 ms (Fj and Fi), and P is for the peak (Fp). b Fluorescence transients measured at different light intensities; the O–J–I–P transients shown here were normalized at Fo. c Variable fluorescence measured from the leaves of Suaeda fruticosa at different light intensities; the O–J–I–P fluorescence shown here were double normalized at Fo and Fm phase; V(t) = (F(t) − Fo)/(Fm − Fo)
11120_2019_659_MOESM4_ESM.tif
Supplementary material 4 (TIFF 3032 kb) Supplementary Fig. 4 Several photosynthetic parameters of photosynthesis of Suaeda fruticosa, as calculated from the data in Supplementary Fig. S3. a Quantum yield of the Photosystem II as inferred from the Chl a fluorescence (Fv/Fm), b ABS/RC, absorbed photon flux per an active PSII reaction center, c DIo/CSm, phenomenological energy flux dissipated per PSII cross section, d TRo/CSm, maximal trapped phenomenological energy flux per PSII cross section, e ETo/RC, the electron transport flux per active PSII reaction center and f performance index [PItotal = PIABS∙(1 − Vi)/(Vi − Vj)] for energy conservation from photons absorbed by PSII antenna, until the reduction of PSI acceptors
11120_2019_659_MOESM5_ESM.tif
Supplementary material 5 (TIFF 4963 kb) Supplementary Fig. 5 Photosynthetic parameters of Suaeda fruticosa under diurnal condition for the first 24 hrs followed by continuous dark for the following 48 hrs. Using IRGA, photosynthetic parameters at the different time point of the day were measured from the leaves of S. fruticosa for 72 hrs (3 days). The shaded portion of the graph represents night. To maintain continuous dark, the plant was completely covered with a dark cloth. A clear rhythmic activity that repeats every 24 hrs was seen in all the parameters. a Stomatal conductivity, b net photosynthesis rate, c a quotient for photochemical quenching of the excited state of Chl, d a quotient for non-photochemical quenching of the excited state of Chl, e internal carbon dioxide concentration, f non-photochemical quenching of the excited state of Chl, usually by heat loss, g electron transport rate, h transpiration rate and i quantum yield of Photosystem II as inferred from Chl a fluorescence
11120_2019_659_MOESM6_ESM.tif
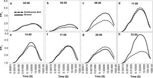
Supplementary material 6 (TIFF 1825 kb) Supplementary Fig. 6 Comparison of the OJIP transient curve between Suaeda fruticosa leaves under diurnal (full line) and continuous dark (broken line) at different time points. At all the time points, the observed parameters showed that the continuous dark and the diurnal clock of Suaeda differ from each other
Rights and permissions
About this article
Cite this article
Wungrampha, S., Joshi, R., Rathore, R.S. et al. CO2 uptake and chlorophyll a fluorescence of Suaeda fruticosa grown under diurnal rhythm and after transfer to continuous dark. Photosynth Res 142, 211–227 (2019). https://doi.org/10.1007/s11120-019-00659-0
Received:
Accepted:
Published:
Issue Date:
DOI: https://doi.org/10.1007/s11120-019-00659-0

