Abstract
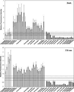
In aerobic anoxygenic phototrophs, oxygen is required for both the formation of the photosynthetic apparatus and an efficient cyclic electron transfer. Mutants of Bradyrhizobium sp. ORS278 affected in photosystem synthesis were selected by a bacteriochlorophyll fluorescence-based screening. Out of the 9,600 mutants of a random Tn5 insertion library, 50 clones, corresponding to insertions in 28 different genes, present a difference in fluorescence intensity compared to the WT. Besides enzymes and regulators known to be involved in photosystem synthesis, 14 novel components of the photosynthesis control are identified. Among them, two genes, hsIU and hsIV, encode components of a protein degradation complex, probably linked to the renewal of photosystem, an important issue in Bradyrhizobia which have to deal with harmful reactive oxygen species. The presence of homologs in non-photosynthetic bacteria for most of the regulatory genes identified during study suggests that they could be global regulators, as the RegA–RegB system.
This is a preview of subscription content, access via your institution.



Abbreviations
- AAP:
-
Aerobic anoxygenic phototroph
- Bchl:
-
Bacteriochlorophyll
- CDS:
-
Coding sequense
- LH:
-
Light-harvesting
- PHA:
-
Polyhydroxyalkanoates
- RC:
-
Photochemical reaction center
- Rb. :
-
Rhodobacter
- Rps. :
-
Rhodopseudomonas
- RR:
-
Response regulator
- SD:
-
Standard deviation
References
Aravind L, Ponting CP (1997) The GAF domain: an evolutionary link between diverse phototransducing proteins. Trends Biochem Sci 22:458–459. doi:10.1016/S0968-0004(97)01148-1
Aravind L, Ponting CP (1999) The cytoplasmic helical linker domain of receptor histidine kinase and methyl-accepting proteins is common to many prokaryotic signalling proteins. FEMS Microbiol Lett 176:111–116. doi:10.1111/j.1574-6968.1999.tb13650.x
Braatsch S, Gomelsky M, Kuphal S, Klug G (2002) A single flavoprotein, AppA, integrates both redox and light signals in Rhodobacter sphaeroides. Mol Microbiol 45:827–836. doi:10.1046/j.1365-2958.2002.03058.x
Braatsch S, Johnson JA, Noll K, Beatty JT (2007) The O2-responsive repressor PpsR2 but not PpsR1 transduces a light signal sensed by the BphP1 phytochrome in Rhodopseudomonas palustris CGA009. FEMS Microbiol Lett 272:60–64. doi:10.1111/j.1574-6968.2007.00734.x
Bruscella P, Eraso JM, Roh JH, Kaplan S (2008) The use of chromatin immunoprecipitation to define PpsR binding activity in Rhodobacter sphaeroides 2.4.1. J Bacteriol 190:6817–6828. doi:10.1128/JB.00719-08
Cevallos MA, Encarnación S, Leija A, Mora Y, Mora J (1996) Genetic and physiological characterization of a Rhizobium etli mutant strain unable to synthesize poly-beta-hydroxybutyrate. J Bacteriol 178:1646–1654
Cox RL, Patterson C, Donohue TJ (2001) Roles for the Rhodobacter sphaeroides CcmA and CcmG proteins. J Bacteriol 183:4643–4647. doi:10.1128/JB.183.15.4643-4647.2001
Deshmukh M, Brasseur G, Daldal F (2000) Novel Rhodobacter capsulatus genes required for the biogenesis of various c-type cytochromes. Mol Microbiol 35:123–138. doi:10.1046/j.1365-2958.2000.01683.x
Elsen S, Swem LR, Swem DL, Bauer CE (2004) RegB/RegA, a highly conserved redox-responding global two-component regulatory system. Microbiol Mol Biol Rev 68:263–279. doi:10.1128/MMBR.68.2.263-279.2004
Elsen S, Jaubert M, Pignol D, Giraud E (2005) PpsR: a multifaceted regulator of photosynthesis gene expression in purple bacteria. Mol Microbiol 57:17–26. doi:10.1111/j.1365-2958.2005.04655.x
Gao R, Mack TR, Stock AM (2007) Bacterial response regulators: versatile regulatory strategies from common domains. Trends Biochem Sci 32:225–234. doi:10.1016/j.tibs.2007.03.002
Giraud E, Fleischman D (2004) Nitrogen-fixing symbiosis between photosynthetic bacteria and legumes. Photosynth Res 82:115–130. doi:10.1007/s11120-004-1768-1
Giraud E, Hannibal L, Fardoux J, Verméglio A, Dreyfus B B (2000) Effect of Bradyrhizobium photosynthesis on stem nodulation of Aeschynomene sensitiva. Proc Natl Acad Sci USA 97:14795–14800. doi:10.1073/pnas.250484097
Giraud E, Fardoux J, Fourrier N, Hannibal L, Genty B, Bouyer P, Dreyfus B, Verméglio A (2002) Bacteriophytochrome controls photosystem synthesis in anoxygenic bacteria. Nature 417:202–205. doi:10.1038/417202a
Giraud E, Hannibal L, Fardoux J, Jaubert M, Jourand P, Dreyfus B, Sturgis JN, Verméglio A (2004a) Two distinct crt gene clusters for two different functional classes of carotenoid in Bradyrhizobium. J Biol Chem 279:15076–15083. doi:10.1074/jbc.M312113200
Giraud E, Zappa S, Jaubert M, Hannibal L, Fardoux J, Adriano JM, Bouyer P, Genty B, Pignol D, Verméglio A (2004b) Bacteriophytochrome and regulation of the synthesis of the photosynthetic apparatus in Rhodopseudomonas palustris: pitfalls of using laboratory strains. Photochem Photobiol Sci 3:587–591. doi:10.1039/b315770a
Giraud E, Moulin L, Vallenet D et al (2007) Legumes symbioses: absence of Nod genes in photosynthetic bradyrhizobia. Science 316:1307–1312. doi:10.1126/science.1139548
Gomelsky M, Kaplan S (1998) AppA, a redox regulator of photosystem formation in Rhodobacter sphaeroides 2.4.1, is a flavoprotein. Identification of a novel fad binding domain. J Biol Chem 273:35319–35325. doi:10.1074/jbc.273.52.35319
Hahn M, Meyer L, Studer D, Regensburger B, Hennecke H (1984) Insertion and deletion mutations within the nif region of Rhizobium japonicum. Plant Mol Biol 3:159–168. doi:10.1007/BF00016063
Hustede E, Steinbuechel A, Schlegel HG (1993) Relationship between the photoproduction of hydrogen and the accumulation of PHB in non-sulfur purple bacteria. Appl Microbiol Biotechnol 39:87–93
Inobe T, Matouschek A (2008) Protein targeting to ATP-dependent proteases. Curr Opin Struct Biol 18:43–51. doi:10.1016/j.sbi.2007.12.014
Jacobs MA, Alwood A, Thaipisuttikul I et al (2003) Comprehensive transposon mutant library of Pseudomonas aeruginosa. Proc Natl Acad Sci USA 100:14339–14344. doi:10.1073/pnas.2036282100
Jaubert M, Zappa S, Fardoux J, Adriano JM, Hannibal L, Elsen S, Lavergne J, Verméglio A, Giraud E, Pignol D (2004) Light and redox control of photosynthesis gene expression in Bradyrhizobium: dual roles of two PpsR. J Biol Chem 279:44407–44416. doi:10.1074/jbc.M408039200
Kramer DM, Kanazawa A, Fleischman D (1997) Oxygen dependence of photosynthetic electron transport in a bacteriochlorophyll-containing rhizobium. FEBS Lett 417:275–278. doi:10.1016/S0014-5793(97)01300-8
Madison LL, Huisman GW (1999) Metabolic engineering of poly(3-hydroxyalkanoates): from DNA to plastic. Microbiol Mol Biol Rev 63:21–53
Mann NH, Novac N, Mullineaux CW, Newman J, Bailey S, Robinson C (2000) Involvement of an FtsH homologue in the assembly of functional photosystem I in the cyanobacterium Synechocystis sp. PCC 6803. FEBS Lett 479:72–77. doi:10.1016/S0014-5793(00)01871-8
Mascher T, Helmann JD, Unden G (2006) Stimulus perception in bacterial signal-transducing histidine kinases. Microbiol Mol Biol Rev 70:910–938. doi:10.1128/MMBR.00020-06
Masuda S, Bauer CE (2002) AppA is a blue light photoreceptor that antirepresses photosynthesis gene expression in Rhodobacter sphaeroides. Cell 110:613–623. doi:10.1016/S0092-8674(02)00876-0
Moskvin OV, Gomelsky L, Gomelsky M (2005) Transcriptome analysis of the Rhodobacter sphaeroides PpsR regulon: PpsR as a master regulator of photosystem development. J Bacteriol 187:2148–2156. doi:10.1128/JB.187.6.2148-2156.2005
Ostersetzer O, Adam Z (1997) Light-stimulated degradation of an unassembled Rieske FeS protein by a thylakoid-bound protease: the possible role of the FtsH protease. Plant Cell 9:957–965. doi:10.1105/tpc.9.6.957
Penfold RJ, Pemberton JM (1994) Sequencing, chromosomal inactivation, and functional expression in Escherichia coli of ppsR, a gene which represses carotenoid and bacteriochlorophyll synthesis in Rhodobacter sphaeroides. J Bacteriol 176:2869–2876
Reeve WG, Tiwari RP, Worsley PS, Dilworth MJ, Glenn AR, Howieson JG (1999) Constructs for insertional mutagenesis, transcriptional signal localization and gene regulation studies in root nodule and other bacteria. Microbiology 145:1307–1316
Reissner KJ, Aswad DW (2003) Deamidation and isoaspartate formation in proteins: unwanted alterations or surreptitious signals? Cell Mol Life Sci 60:1281–1295. doi:10.1007/s00018-003-2287-5
Sambrook J, Fritsch EF, Maniatis T, Irwin N (1989) Molecular cloning: a laboratory manual, 2nd edn. Cold Spring Harbor Lab. Press, Plainview, NY
Spetea C, Hundal T, Lohmann F, Andersson B (1999) GTP bound to chloroplast thylakoid membranes is required for light-induced, multienzyme degradation of the photosystem II D1 protein. Proc Natl Acad Sci USA 96:6547–6552. doi:10.1073/pnas.96.11.6547
Taylor BL, Zhulin IB (1999) PAS domains: internal sensors of oxygen, redox potential, and light. Microbiol Mol Biol Rev 63:479–506
Vuillet L, Kojadinovic M, Zappa S, Jaubert M, Adriano JM, Fardoux J, Hannibal L, Pignol D, Verméglio A, Giraud E (2007) Evolution of a bacteriophytochrome from light to redox sensor. EMBO J 26:3322–3331. doi:10.1038/sj.emboj.7601770
Walshaw DL, Wilkinson A, Mundy M, Smith L, Poole PS (1997) Regulation of the TCA cycle and the general amino acid permease by overflow metabolism in Rhizobium leguminosarum. Microbiology 143:2209–2221
Youvan DC, Hearst JE, Marrs BL (1983) Isolation and characterization of enhanced fluorescence mutants of Rhodopseudomonas capsulata. J Bacteriol 154:748–755
Yurkov V, Beatty JT (1998) Aerobic anoxygenic phototrophic bacteria. Microbiol Mol Biol Rev 62:695–724
Yurkov V, Schoepp B, Vermeglio A (1998) Photoinduced electron transfer and cytochrome content in obligate aerobic phototrophic bacteria from genera Erythromicrobium, Sandaracinobacter, Erythromonas, Roseococcus and Erythrobacter. Photosynth Res 57:117–128. doi:10.1023/A:1006097120530
Zeilstra-Ryalls JH, Kaplan S (1998) Role of the fnrL gene in photosystem gene expression and photosynthetic growth of Rhodobacter sphaeroides 2.4.1. J Bacteriol 180:1496–1503
Acknowledgments
M. J. is indebted to the “Ministère de l’Education Nationale, de l’Enseignement Supérieur et de la Recherche” for a doctoral grant.
Author information
Authors and Affiliations
Corresponding author
Additional information
Eric Giraud and André Verméglio should be considered co-senior authors.
Rights and permissions
About this article
Cite this article
Jaubert, M., Hannibal, L., Fardoux, J. et al. Identification of novel genes putatively involved in the photosystem synthesis of Bradyrhizobium sp. ORS 278. Photosynth Res 100, 97–105 (2009). https://doi.org/10.1007/s11120-009-9433-3
Received:
Accepted:
Published:
Issue Date:
DOI: https://doi.org/10.1007/s11120-009-9433-3
Keywords
- Photosystem regulation
- Aerobic photosynthetic bacteria
- Bradyrhizobium