Abstract
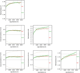
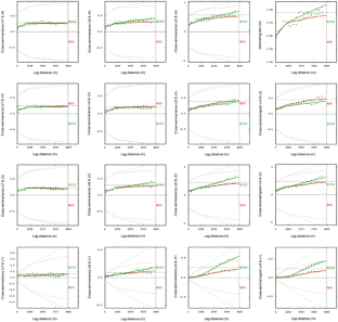
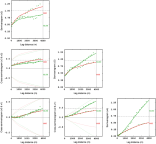
Area-wide integrated pest management requires an understanding of insect population dynamics and definition of suitable techniques to quantify spatio-temporal variability to make better pest management decisions. However, the viability of area-wide integrated pest management has often been questioned because of the high monitoring costs. The present study aimed to: (i) analyse the spatial and temporal dynamics of the olive fruit fly over a large olive growing area (Ormylia, Greece), and (ii) define a methodology to determine monitoring zones to optimize the monitoring effort over space and time in area-wide integrated pest management programmes. Data from an olive fruit fly monitoring network based on McPhail traps were utilized. The multi-variate spatial (elevation) and temporal (6 periods) data of olive fruit fly population density were analysed by principal component analysis, co-kriging and factor kriging to produce thematic maps and to delineate monitoring zones. Olive fruit fly density was spatially correlated from 200 to 4 000 m. The spatial pattern changed over the monitoring season. Areas with high density of olive fruit flies shifted from high altitudes in summer to lower altitudes towards autumn. Three recommended levels of monitoring intensity were defined, thus delineating homogeneous monitoring zones for summer (July to September) and October. It was concluded that delineating monitoring zones through multi-variate geostatistics is a suitable approach for optimising the monitoring effort, because population density distribution is spatially structured over large areas and changes over time.
This is a preview of subscription content, access via your institution.








References
Beckler, A. A., French, B. W., & Chandler, L. D. (2005). Using GIS in areawide pest management: A case study in south Dakota. Transactions in GIS, 9, 109–127.
Bishop, Y., Fienberg, S. E., & Holland, P. W. (1975). Discrete multivariate analysis: Theory and practice. Cambridge, MA: MIT Press.
Broumas, T., Haniotakis, G., Liaropoulos, C., Tomazou, T., & Ragoussis, N. (2002). The efficacy of an improved form of the mass-trapping method, for the control of the olive fruit fly, Bactrocera oleae (Gmelin) (Dipt., Tephritidae): pilot-scale feasibility studies. Journal of Applied Entomology, 126, 217–223.
Campbell, J. (2002). Introduction to remote sensing (3rd ed.). New York: The Guilford Press.
Carriere, Y., Ellsworth, P. C., Dutilleul, P., Ellers-Kirk, C., Barkley, V., & Antilla, L. (2006). A GIS-based approach for areawide pest management: The scales of Lygus hesperus movements to cotton from alfalfa, weeds, and cotton. Entomologia Experimentalis et Applicata, 118, 203–210.
Castrignanò, A., Giugliarini, L., Risaliti, R., & Martinelli, N. (2000). Study of spatial relationships among some soil physico-chemical properties of a field in central Italy using multivariate geostatistics. Geoderma, 97, 39–60.
Chilès, J. P., & Delfiner, P. (1999). Geostatistics: Modelling spatial uncertainty. New York: Wiley.
Cox, J. St. H. (2007). The role of geographic information systems and spatial analysis in area-wide vector control programmes. In M. J. B. Vreysen, A. S. Robinson, & J. Hendricjs (Eds.), Area-wide control of insect pests 199–209. IAEA. Amsterdam: Springer.
Cox, J. St. H., & Vreysen, M. J. B. (2005). Use of geographic information systems and spatial analysis in area-wide integrated pest management programmes that integrate the sterile insect technique. In V. A. Dyck, J. Hendrichs, & A. S. Robinson (Eds.), Sterile insect technique, principles and practice in area-wide integrated pest management, 453–477. IAEA. Amsterdam: Springer.
Cullen, E. M., Zalom, F. G., Flint, M. L., & Zilbert, E. E. (2000). Quantifying trade-offs between pest sampling time and precision in commercial IPM sampling programs. Agricultural Systems, 66, 99–113.
Daane, K. M., & Johnson, M. W. (2010). Olive fruit fly: Managing an ancient pest in modern times. Annual Review of Entomology, 55, 151–169.
Dimou, I., Koutsikopoulos, C., Economopoulos, A., & Lykakis, J. (2003). The distribution of olive fly captures with McPhail traps within an olive orchard. Phytoparasitica, 31, 1–8.
Fievet, V., Dedryver, C.-A., Plantegenest, M., Simon, J.-C., & Outreman, Y. (2007). Aphid colony turn-over influences the spatial distribution of the grain aphid Sitobion avenae over the wheat growing season. Agricultural and Forest Entomology, 9, 125–134.
Garcia, F. J. M. (2006). Analysis of the spatio-temporal distribution of Helicoverpa armigera Hb in a tomato field using a stochastic approach. Biosystems Engineering, 93, 253–259.
Geovariances. (2010). Isatis Technical References, version 9.04. Avon Cedex: Géovariances.
Getis, A., & Ord, J. (1996). Local spatial statistics: An overview. In P. Longley & M. Batty (Eds.), Spatial analysis: Modeling in a GIS environment (pp. 269–294). Cambridge: GeoInformation International.
Guidotti, D., Ragaglini, G., & Petacchi, R. (2005). Analysis of spatio-temporal Bactrocera oleae (Diptera, Tephritidae) infestation distributions obtained from a large-scale monitoring network and its importance to IPM. IOBC wprs Bulletin, 28, 13–18.
Gutierrez, A., Ponti, L., & Cossu, Q. A. (2009). Effects of climate warming on olive and olive fly Bactrocera oleae (Gmelin) in California and Italy. Climatic Change, 95, 195–217.
Irvin, B. J., Ventura, S. J., & Slater, B. K. (1997). Fuzzy and isodata classification of landform elements from digital terrain data in Pleasant Valley, Wisconsin. Geoderma, 77, 137–154.
Jensen, J. R. (1996). Introductory digital image processing. A remote sensing perspective (pp. 197–256). New Jersey: Prentice Hall, Inc.
Journel, A. G., & Huijbregts, C. J. (1978). Mining geostatistics. San Diego, CA: Academic Press.
Kogan, M. (1998). Integrated pest management: Historical perspectives and contemporary developments. Annual Review of Entomology, 43, 243–270.
Kounatidis, I., Papadopoulos, Ν. T., Mavragani-Tsipidou, P., Cohen, Y., Terivanidis, K., Nomikou, M., et al. (2008). Effect of elevation on olive fly (Bactrocera oleae) spatio-temporal patterns in northern Greece. Journal of Applied Entomology, 132, 722–733.
Krell, R. K., Pedigo, L. P., & Babcock, B. A. (2003). Comparison of estimated costs and benefits of site-specific versus uniform management for the bean leaf beetle in soybean. Precision Agriculture, 4, 401–411.
Liebhold, A. M., Rossi, R. E., & Kemp, W. P. (1993). Geostatistics and geographic information systems in applied insect ecology. Annual Review of Entomology, 38, 303–327.
Matheron, G. (1982). Pour une analyse krigeante des données régionalisées. Rapport N-732 (p. 22). Fontainebleau: Centro de Géostatistiques, École des Mines de Paris.
Michalaki, M. (2006). Area-wide management of the olive fruit fly in Greece. TEAM (Working Group on Tephritidae from Europe, Africa and the Middle East). Newsletter, 2, 6.
Midgarden, D., Fleischer, S. J., Weisz, R., & Smilowitz, Z. (1997). Site-specific integrated pest management impact on development of esfenvalerate resistance in Colorado potato beetle (Coleoptera: Chrysomelidae) and on densities of natural enemies. Journal of Economic Entomology, 90, 855–867.
Morari, F., Castrignanò, A., & Pagliarin, C. (2009). Application of multivariate geostatistics in delineating management zones within a gravelly vineyard using geo-electrical sensors. Computers and Electronics in Agriculture, 69, 97–107.
Nestel, D., Carvalho, J., & Nemny-Lavy, E. (2004). The spatial dimension in the ecology of insect pests and its relevance to pest management. In A. R. Horowitz & I. Ishaaya (Eds.), Insect pest management (pp. 45–63). Berlin: Springer.
Papadopoulos, N. T., Katsoyannos, B. I., & Nestel, D. (2003). Spatial autocorrelation analysis of Ceratitis capitata (Diptera: Tephritidae) adult populations in a mixed deciduous orchard in northern Greece. Environmental Entomology, 32, 319–326.
Park, Y. I., & Tollefson, J. J. (2005). Spatial prediction of corn rootworm (Coleoptera: Chrysomelidae) adult emergence in Iowa cornfields. Journal of Economic Entomology, 98, 121–128.
Perry, J. N., Winder, L., Holland, J. M., & Alston, R. D. (1999). Red-blue plots for detecting clusters in count data. Ecology Letters, 2, 106–113.
Petacchi, R., Rizzi, I., & Guidotti, D. (2003). The “lure and kill” technique in Bactrocera oleae (Gmel.) control: Effectiveness indices and suitability of the technique in area-wide experimental trials. International Journal of Pest Management, 49, 305–311.
Ponti, L., Cossu, Q. A., & Gutierrez, A. P. (2009). Climate warming effects on the Olea europea–Bactrocera oleae system in the Mediterranean islands: Sardinia as an example. Global Change Biology, 15, 2874–2884.
Stafford, J. V., Lark, R. M., & Bolam, H. C. (1998). Using yield maps to regionalize fields into potential management units. In P. C. Robert, R. H. Rust, & W. E. Larson (Eds.), Proceedings of the 4th international conference on precision agriculture (pp. 225–237). Madison, WI: ASA/CSSA/SSSA.
Steyskal, G. C. (1977). History and use of the McPhail trap. The Florida Entomologist, 60, 11–16.
Wackernagel, H. (2003). Multivariate geostatistics: An introduction with applications. Berlin: Springer.
Wang, X.-G., Johnson, M. W., Daane, K. M., & Nadel, H. (2009). High summer temperatures affect the survival and reproduction of olive fruit fly (Diptera: Tephritidae). Environmental Entomology, 38, 1496–1504.
Warner, D. J., Allen-Williams, L. J., Warrington, S., Ferguson, A. W., & Williams, I. H. (2003). Mapping, characterisation, and comparison of the spatio-temporal distributions of cabbage stem flea beetle (Psylliodes chrysocephala), carabids, and Collembola in a crop of winter oilseed rape (Brassica napus). Entomologia Experimentalis et Applicata, 109, 225–234.
Winder, L., Alexander, C. J., Holland, J. M., Woolley, C., & Perry, J. N. (2001). Modelling the dynamic spatio-temporal response of predators to transient prey patches in the field. Ecology Letters, 4, 568–576.
Woldewahid, G., Van Der Werf, W., Van Huis, A., & Stein, A. (2004). Spatial distribution of populations of solitarious adult desert locust (Schistocerca gregaria Forsk.) on the coastal plain of Sudan. Agricultural and Forest Entomology, 6, 181–191.
Yanai, J., Lee, C. K., Kaho, T., Iida, M., Matsui, T., Umeda, M., et al. (2001). Geostatistical analysis of soil chemical properties and rice yield in a paddy field and application to the analysis of yield-determining factors. Soil Science and Plant Nutrition, 47, 291–301.
Acknowledgments
The monitoring network is part of the “Greek National Project Against the Olive Fruit Fly” operated by the Ministry of Rural Development and Food. Monitoring and data collection were co-ordinated by K. Tertivanidis and M. Nomikou from the Prefectural Administration of Chalkidiki.
Author information
Authors and Affiliations
Corresponding author
Rights and permissions
About this article
Cite this article
Castrignanò, A., Boccaccio, L., Cohen, Y. et al. Spatio-temporal population dynamics and area-wide delineation of Bactrocera oleae monitoring zones using multi-variate geostatistics. Precision Agric 13, 421–441 (2012). https://doi.org/10.1007/s11119-012-9259-4
Published:
Issue Date:
DOI: https://doi.org/10.1007/s11119-012-9259-4
Keywords
- Area-wide pest management
- Integrated pest management
- Olive fruit fly
- Pest monitoring
- Principal component analysis