Abstract
Interest in modal preferences remains a topic of high interest as governments make infrastructure decisions that often favour one mode over the other. An informative input into the infrastructure selection process should be the preferences of residents, since they can guide buy into support political and bureaucratic choice making. Cost–benefit analysis (CBA) uses the self-interest preferences of individuals as the relevant interpretation of ‘individual preferences count’, which in aggregate represent the benefit to society of candidate investments. However, the CBA benefit calculations can be rather restrictive with other preference metrics often being identified and used in various ways to inform the debate on infrastructure support. In this paper we assess how the preferences for bus rapid transit (BRT) and light rail transit (LRT) change with different roles the residents may play: a citizen or altruistic resident, a self-interested resident, a tax-payer, and as a voter. We use data collected in five countries to investigate preference differences and also to establish whether there is replicability of the findings across geographical jurisdictions. The findings suggest that there are, in general, noticeable differences in preference revelation across the metrics; however there are also both similarities and differences in the role of specific attribute drivers (as represented by willingness to pay, and magnitude of support for a specific mode) within and between preference metrics across countries.



Similar content being viewed by others
Notes
Full details of the Ngene syntax, and efficiency outputs for this application, is given in Hensher, Rose, and Greene (2015, Chapter 6.6.3 Design 3: D-Efficient Choice Design).
A within-subject design was used to obtain as much information as possible from each respondent as data were collected in 18 different cities.
65% of the sample use public transport. 30% have BRT and LRT available. And 58% of the people that have BRT and LRT available, use public transport.
All the model were estimated using PythonBiogeme (Bierlaire 2016).
As described in the ‘Choice Experiment’ section, questions on attribute non-attendance (ANA) were asked at the end of the experiment, where respondents indicated which attributes they did not consider (i.e., those they did not attend to). For more information on ANA refer to Hensher et al. (2015c).
It is also different for the investment than for the system attributes, but this is not relevant for the WTP.
As the models are non-linear in terms of experience and construction cost, individual WTP estimates are highly dependent on the cost attribute levels and individual experience. Therefore, the results presented are equivalent to a WTP that is calculated using the average of the cost attribute level and of the experience levels.
References
Ajzen, I., Brown, T.C., Rosenthal, L.H.: Information bias in contingent valuation: effects of personal relevance, quality of information, and motivational orientation. J. Environ. Econ. Manag. 30, 43–57 (1996). https://doi.org/10.1006/jeem.1996.0004
Akaike, H.: A new look at the statistical model identification. IEEE Trans. Autom. Control 19, 716–723 (1974). https://doi.org/10.1109/TAC.1974.1100705
Bergstrom, T.C.: When is a man’s life worth more than his human capital? In: Jones-lee, M.W. (ed.) The Value of Life and Safety, pp. 3–26. North-Holland, Amsterdam (1982)
Bierlaire, M. PythonBiogeme: a short introduction, Report TRANSP-OR 160706, Series on Biogeme. Transport and Mobility Laboratory, School of Architecture, Civil and Environmental Engineering, Ecole Polytechnique Fédérale de Lausanne, Switzerland, 2016
Blamey, R.K., Common, M.S., Quiggin, J.C.: Respondents to contingent valuation surveys: consumers or citizens? Aust. J. Agric. Econ. 39, 263–288 (1995). https://doi.org/10.1111/j.1467-8489.1995.tb00554.x
Cantillo, V., Ortuzar, J.D., Williams, H.: Modeling discrete choices in the presence of inertia and serial correlation. Trans. Sci. 41, 195–205 (2007). https://doi.org/10.1287/trsc.1060.0178
Carson, R.T., Groves, T.: Incentive and informational properties of preference questions. Environ. Resour. Econ. 37, 181–210 (2007). https://doi.org/10.1007/s10640-007-9124-5
Curtis, J.A., McConnell, K.E.: The citizen versus consumer hypothesis: evidence from a contingent valuation survey. Aust. J. Agric. Resour. Econ. 46, 69–83 (2002). https://doi.org/10.1111/1467-8489.00167
Daniels, R.F., Hensher, D.A.: Valuation of environmental impacts of transport projects: the challenge of self-interest proximity. J Transp Econ Policy (2000). https://doi.org/10.2307/20053839
Diamond, P.A., Hausman, J.A.: Contingent valuation: Is some number better than no number? J. Econ. Perspect. 8, 45–64 (1994). https://doi.org/10.1257/jep.8.4.45
Farquharson, R.: Theory of voting. Blackwell, Oxford (1969)
Goodwin, P.B.: Habit and hysteresis in mode choice. Urban Stud. 14, 95–98 (1977). https://doi.org/10.1080/00420987720080101
Hensher, D.A.: Sustainable public transport systems: moving towards a value for money and network-based approach and away from blind commitment. Trans. Policy 14, 98–102 (2007). https://doi.org/10.1016/j.tranpol.2006.10.004
Hensher, D.A.: Valuation of commuter travel time savings: an alternative procedure. In: Heggie, I.G. (ed.) Modal Choice and Value of Travel Time, pp. 108–131. Clarendon Press, Oxford (1976)
Hensher, D.A., Balbontin, C., Ho, C.Q., Mulley, C. Cross-cultural contrasts of preferences for Bus Rapid Transit and Light Rail Transit. J. Transp. Econ. Policy (under Revis) 2018
Hensher, D.A., Ho, C., Mulley, C.: Identifying preferences for public transport investments under a constrained budget. Trans. Res. A Policy Pract. 72, 27–46 (2015a). https://doi.org/10.1016/j.tra.2014.12.002
Hensher, D.A., Ho, C., Mulley, C.: Identifying resident preferences for bus-based and rail-based investments as a complementary buy in perspective to inform project planning prioritisation. J. Transp. Geogr. 46, 1–9 (2015b). https://doi.org/10.1016/j.jtrangeo.2015.05.004
Hensher, D.A., Ho, C.Q.: Experience conditioning in commuter modal choice modelling—Does it make a difference? Trans. Res. E Logist. Transp. Rev. 95, 164–176 (2016). https://doi.org/10.1016/j.tre.2016.09.010
Hensher, D.A., Rose, J.M.: The influence of alternative acceptability, attribute thresholds and choice response certainty on automobile purchase preferences. J. Trans. Econ. Policy 46, 451–468 (2012)
Hensher, D.A., Rose, J.M., Greene, W.H.: Applied Choice Analysis, 2nd edn. Cambridge University Press, Cambridge (2015c). https://doi.org/10.1017/CBO9780511610356
Johannesson, M., Johansson, P.-O., O’Connor, R.M.: The value of private safety versus the value of public safety. J. Risk Uncertain. 275, 263–275 (1996). https://doi.org/10.1007/BF00056156
Kain, J.F.: Choosing the wrong technology: or how to spend billions and reduce transit use. J. Adv. Trans. 21, 197–213 (1988). https://doi.org/10.1002/atr.5670210303
Milgrom, P.: Is sympathy an economic value? Philosophy, economics and the contingent valuation method. Conting. Valuat. Crit. Assess 220, 417–441 (1993)
Mouter, N., Chorus, C.: Value of time—a citizen perspective. Trans. Res. A Policy Pract. 91, 317–329 (2016). https://doi.org/10.1016/j.tra.2016.02.014
Mouter, N., van Cranenburgh, S., van Wee, B.: Do individuals have different preferences as consumer and citizen? The trade-off between travel time and safety. Trans. Res. A Policy Pract. 106, 333–349 (2017). https://doi.org/10.1016/j.tra.2017.10.003
Nyborg, K.: Homo economicus and homo politicus: interpretation and aggregation of environmental values. J. Econ. Behav. Organ. 42, 305–322 (2000). https://doi.org/10.1016/S0167-2681(00)00091-3
Ovaskainen, V., Kniivilä, M.: Consumer versus citizen preferences in contingent valuation: evidence on the role of question framing. Aust. J. Agric. Resour. Econ. 49, 379–394 (2005). https://doi.org/10.1111/j.1467-8489.2005.00309.x
Russell, C.S., Bjørner, T.B., Clark, C.D.: Searching for evidence of alternative preferences, public as opposed to private. J. Econ. Behav. Organ. 51, 1–27 (2003). https://doi.org/10.1016/S0167-2681(02)00141-5
Sagoff, M.: The Economy of the Earth Philosophy, Law, and the Envoironment, 2nd edn. Cambridge University Press, Cambridge (1988)
Svensson, M., Vredin Johansson, M.: Willingness to pay for private and public road safety in stated preference studies: Why the difference? Accid. Anal. Prev. 42, 1205–1212 (2010). https://doi.org/10.1016/j.aap.2010.01.012
Swait, J., Adamowicz, W.: The influence of task complexity on consumer choice: a latent class model of decision strategy switching. J. Consum. Res. 28, 135–148 (2001). https://doi.org/10.1086/321952
Tienhaara, A., Ahtiainen, H., Pouta, E.: Consumer and citizen roles and motives in the valuation of agricultural genetic resources in Finland. Ecol. Econ. 114, 1–10 (2015). https://doi.org/10.1016/j.ecolecon.2015.03.005
Vuong, Q.: Likelihood ratio tests for model selection and non nested hypotheses. Econ. J. Econ. Soc. 57, 307–333 (1989)
Acknowledgements
This paper contributes to the research program of the Volvo Research and Education Foundation Bus Rapid Transit Centre of Excellence (BRT +). We acknowledge the Foundation for funding support. The authors acknowledge the facilities, and the scientific and technical assistance of the Sydney Informatics Hub at the University of Sydney and, in particular, access to the high performance computing facility Artemis. The support of Theo Yeche and Patricia Aranda in translating the survey instrument into French is greatly appreciated. We also thank Rosario Macario (IST, Portugal), Anson Stewart and Chris Zegras (Transportation and Urban Planning, MIT) for their contributions in facilitating access to survey participants. The comments of two referees have materially improved the paper.
Author information
Authors and Affiliations
Contributions
C. Balbontin: Model estimation, interpretation and writing, D. A. Hensher: Mock up of choice experiment and overall survey instrument, model interpretation and writing, C. Ho: Design of choice experiment and input to overall survey design, C. Mulley: Influence on survey design, review of paper and editing
Corresponding author
Ethics declarations
Conflict of interest
On behalf of all authors, the corresponding author states that there is no conflict of interest.
Additional information
Publisher's Note
Springer Nature remains neutral with regard to jurisdictional claims in published maps and institutional affiliations.
Appendices
Appendix A
Appendix B
Appendix C
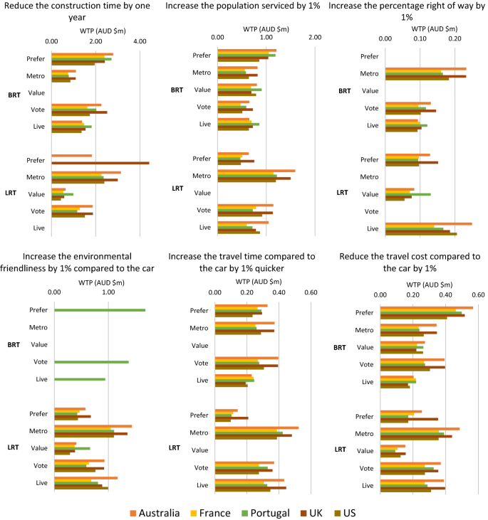
See Fig. 4.
Appendix D
See Table 17.
Rights and permissions
About this article
Cite this article
Balbontin, C., Hensher, D.A., Ho, C. et al. Do preferences for BRT and LRT change as a voter, citizen, tax payer, or self-interested resident?. Transportation 47, 2981–3030 (2020). https://doi.org/10.1007/s11116-019-09998-2
Published:
Issue Date:
DOI: https://doi.org/10.1007/s11116-019-09998-2



