Abstract
Background and aims
Aluminum (Al) stress is a global problem that inhibits root growth and crop production in acidic soils. The inhibitive effect is greatly attributed to the reduction of cell wall elasticity. The present study aimed to investigate the function of a polygalacturonase gene MsPG4 in regulating cell wall extensibility and alfalfa resistance to Al stress.
Methods
The transgenic alfalfa plants of overexpression (MsPG4-OE) and knockdown (MsPG4-RNAi) of MsPG4 were treated with or without 100 µM AlCl3. The methods of field emission scanning electron microscope, transmission electron microscope and atomic force microscopy were used in physiological and histological analysis.
Results
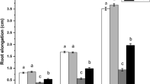
The relative root elongation was higher in MsPG4-OE lines and lower in MsPG4-RNAi lines than wild type (WT) plants under Al stress. Al contents in root tips and cell wall decreased in MsPG4-OE lines but increased in MsPG4-RNAi lines, which positively related to their pectin contents. The contents of water soluble pectin (WSP) and chelator soluble pectin (CSP) decreased in MsPG4-OE lines and increased in MsPG4-RNAi lines in the absence or presence of Al compared to WT plants. Consequently, the dimensions of the two pectin’s molecules reduced, the porosity and extensibility of cell wall increased in MsPG4-OE lines comparted to WT plants under Al stress.
Conclusions
MsPG4 effectively increases the cell wall extensibility and Al resistance of alfalfa via hydrolysis of pectins in the cell wall.









Similar content being viewed by others
Explore related subjects
Discover the latest articles and news from researchers in related subjects, suggested using machine learning.Data availability
Not applicable.
References
BeMiller JN (2010) Carbohydrate analysis. Food analysis. Springer, Boston, pp 147–177
Cardenas-Perez S, Chanona-Perez JJ, Guemes-Vera N, Cybulska J, Szymanska-Chargot M, Chylinska M, Koziol A, Gawkowska D, Pieczywek PM, Zdunek A (2018) Structural, mechanical and enzymatic study of pectin and cellulose during mango ripening. Carbohydr Polym 196:313–321. https://doi.org/10.1016/j.carbpol.2018.05.044
Cosgrove DJ (1997) Assembly and enlargement of the primary cell wall in plants. Annu Rev Cell Dev Biol 13:171–201. https://doi.org/10.1146/annurev.cellbio.13.1.171
Eticha D, Stass A, Horst WJ (2005) Cell-wall pectin and its degree of methylation in the maize root-apex: significance for genotypic differences in aluminium resistance. Plant Cell Environ 28:1410–1420. https://doi.org/10.1111/j.1365-3040.2005.01375.x
Fu CX, Hernandez T, Zhou CE, Wang ZY (2015) Alfalfa (Medicago sativa L.). In: Wang K (ed) Agrobacterium Protocols: Volume 1. Springer New York, New York, NY, pp 213–221
Fu DT, Oneill RA (1995) Monosaccharide composition analysis of oligosaccharides and glycoproteins by high-performance liquid chromatography. Anal Biochem 227:377–384. https://doi.org/10.1006/abio.1995.1294
Harholt J, Suttangkakul A, Vibe Scheller H (2010) Biosynthesis of pectin. Plant Physiol 153:384–395. https://doi.org/10.1104/pp.110.156588
Horst WJ, Wang YX, Eticha D (2010) The role of the root apoplast in aluminium-induced inhibition of root elongation and in aluminium resistance of plants: a. Rev Ann Bot 106:185–197. https://doi.org/10.1093/aob/mcq053
Jiang FL, Lopez A, Jeon S, de Freitas ST, Yu QH, Wu Z, Labavitch JM, Tian S, Powell ALT, Mitcham E (2019) Disassembly of the fruit cell wall by the ripening-associated polygalacturonase and expansin influences tomato cracking. Hortic Res 6:17. https://doi.org/10.1038/s41438-018-0105-3
Kochian LV, PinEros MA, Liu JP, Magalhaes JV (2015) Plant adaptation to acid soils: the molecular basis for crop aluminum resistance. Annu Rev Plant Biol 66:571–598. https://doi.org/10.1146/annurev-arplant-043014-114822
Li JJ, Su LT, Lv AM, Li YB, An Y (2020) MsPG1 alleviated aluminum-induced inhibition of root growth by decreasing aluminum accumulation and increasing porosity and extensibility of cell walls in alfalfa (Medicago sativa). Environ Exp Bot 175:104045. https://doi.org/10.1016/j.envexpbot.2020.104045
Li XW, Li YL, Qu M, Xiao HD, Feng YM, Liu JY, Wu LS, Yu M (2016) Cell wall pectin and its methyl-esterification in transition zone determine Al resistance in cultivars of Pea (Pisum sativum). Front Plant Sci 7:39. https://doi.org/10.3389/fpls.2016.00039
Liu HW, Ma Y, Chen N, Guo SY, Liu HL, Guo XY, Chong K, Xu YY (2014) Overexpression of stress-inducible OsBURP16, the β subunit of polygalacturonase 1, decreases pectin content and cell adhesion and increases abiotic stress sensitivity in rice. Plant Cell Environ 37:1144–1158. https://doi.org/10.1111/pce.12223
Mohnen D (2008) Pectin structure and biosynthesis. Curr Opin Plant Biol 11(3):266–277. https://doi.org/10.1016/j.pbi.2008.03.006
Ma JF, Ryoichi Y, Nevins DJ, Hideaki M, Brown PH (1999) Al binding in the epidermis cell wall inhibits cell elongation of okra hypocotyl. Plant Cell Physiol 5:549–556. https://doi.org/10.1093/oxfordjournals.pcp.a029576
Ma JF, Shen R, Nagao S, Tanimoto E (2004) Aluminum targets elongating cells by reducing cell wall extensibility in wheat roots. Plant Cell Physiol 45:583–589. https://doi.org/10.1093/pcp/pch060
Mierczyńska J, Cybulska J, Pieczywek PM, Zdunek A (2014) Effect of storage on rheology of water-soluble, chelate-soluble and diluted alkali-soluble pectin in carrot cell walls. Food Bioprocess Tech 8:171–180. https://doi.org/10.1007/s11947-014-1392-9
Peaucelle A, Braybrook SA, Le Guillou L, Bron E, Kuhlemeier C, Hofte H (2011) Pectin-induced changes in cell wall mechanics underlie organ initiation in Arabidopsis. Curr Biol 21:1720–1726. https://doi.org/10.1016/j.cub.2011.08.057
Senechal F, Wattier C, Rusterucci C, Pelloux J (2014) Homogalacturonan-modifying enzymes: structure, expression, and roles in plants. J Exp Bot 65:5125–5160. https://doi.org/10.1093/jxb/eru272
Sun CL, Lu LL, Yu Y, Liu LJ, Hu Y, Ye YQ, Jin CW, Lin XY (2016) Decreasing methylation of pectin caused by nitric oxide leads to higher aluminium binding in cell walls and greater aluminium sensitivity of wheat roots. J Exp Bot 3:979–989. https://doi.org/10.1093/jxb/erv514
Su L, Lv A, Wen W, Zhou P, An Y (2020) Auxin is involved in magnesium-mediated photoprotection in photosystems of alfalfa seedlings under aluminum stress. Front Plant Sci 11:746. https://doi.org/10.3389/fpls.2020.00746
Wang W, Zhao X, Chen RF, Dong XY, Lan P, Ma JF, Shen RF (2015) Altered cell wall properties are responsible for ammonium-reduced aluminium accumulation in rice roots. Plant Cell Environ 38:1382–1390. https://doi.org/10.1111/pce.12490
Wang SY, Ren XY, Huang BR, Wang G, Zhou P, An Y (2016) Aluminium-induced reduction of plant growth in alfalfa (Medicago sativa) is mediated by interrupting auxin transport and accumulation in roots. Sci Rep 6:30079. https://doi.org/10.1038/srep30079
Wang SY, Yuan SL, Su LT, Lv AM, Zhou P, An Y (2017) Aluminum toxicity in alfalfa (Medicago sativa) is alleviated by exogenous foliar IAA inducing reduction of Al accumulation in cell wall. Environ Exp Bot 139:1–13. https://doi.org/10.1016/j.enve-xpbot.2017.03.018
Wu QQ, Li Y, Lyu M, Luo YW, Shi H, Zhong SW (2020) Touch-induced seedling morphological changes are determined by ethylene-regulated pectin degradation. Sci Adv 6:48. https://doi.org/10.1126/sciadv.abc9294
Xu KD, Huang XH, Wu MM, Wang Y, Chang YX, Liu K, Zhang J, Zhang Y, Zhang FL, Yi LM, Li TT, Wang RY, Tan GX, Li CW (2014) A rapid, highly efficient and economical method of Agrobacterium-mediated in planta transient transformation in living onion epidermis. PLoS ONE 9:e83556. https://doi.org/10.1371/journal.pone.0083556
Yan L, Riaz M, Liu JY, Liu YL, Zeng Y, Jiang CC (2021) Boron reduces aluminum deposition in alkali-soluble pectin and cytoplasm to release aluminum toxicity. J Hazard Mater 401:123388. https://doi.org/10.1016/j.jhazmat.2020.123388
Yang JL, Zhu XF, Zheng C, Zhang YJ, Zheng SJ (2011) Genotypic differences in Al resistance and the role of cell-wall pectin in Al exclusion from the root apex in Fagopyrum tataricum. Ann Bot 107:371–378. https://doi.org/10.1093/aob/mcq254
Yang J, Qu M, Fang J, Shen RF, Feng YM, Liu JY, Bian JF, Wu LS, He YM, Yu M (2016) Alkali-soluble pectin is the primary target of aluminum immobilization in root border cells of pea (Pisum sativum). Front Plant Sci 7:1297. https://doi.org/10.3389/fpls.2016.01297
Yang ZB, Eticha D, Rao IM, Horst WJ (2010) Alteration of cell-wall porosity is involved in osmotic stress-induced enhancement of aluminium resistance in common bean (Phaseolus vulgaris L.). J Exp Bot 61:3245–3258. https://doi.org/10.1093/jxb/erq146
Ye Y, Dai C, Guo L, Qu Y, Yang X, Liu D, Wang C, Cui X (2018) Salicylic acid reduces the accumulation of aluminum in panax notoginsen root cell wall pectin via the no signaling pathway. Plant Soil 430:171–184. https://doi.org/10.1007/s11104-018-3722-6
Zhang H, Guo ZL, Zhuang Y, Suo YZ, Du JM, Gao ZX, Pan JW, Li L, Wang TX, Xiao L, Qin GJ, Jiao YL, Cai HQ, Li L (2021) MicroRNA775 regulates intrinsic leaf size and reduces cell wall pectin levels by targeting a galactosyltransferase gene in Arabidopsis. Plant Cell 33:581–602. https://doi.org/10.1093/plcell/koaa049
Zhou M, Bi JF, Chen JX, Wang RX, Richel A (2021a) Impact of pectin characteristics on lipid digestion under simulated gastrointestinal conditions: Comparison of water-soluble pectins extracted from different sources. Food Hydrocolloids 112:106350. https://doi.org/10.1016/j.foodhyd.2020.106350
Zhou M, Bi JF, Lyu J, Chen JX, Wang RX, Liu X, Richel A (2021b) Structural conversion of pectin fractions during heat processing in relation to the ability of inhibiting lipid digestion: A case study of hawthorn pectin. Food Hydrocolloids 117:106721. https://doi.org/10.1016/j.foodhyd.2021.106721
Zhou P, Su LT, Lv AM, Wang SY, Huang BR, An Y (2016) Gene expression analysis of alfalfa seedlings response to acid-aluminum. Int J Genomics 2095195. https://doi.org/10.1155/2016/2095195
Zhu XF, Shi YZ, Lei GJ, Fry SC, Zhang BC, Zhou YH, Braam J, Jiang T, Xu XY, Mao CZ, Pan YJ, Yang JL, Wu P, Zheng SJ (2012) XTH31, encoding an in vitro XEH/XETactive enzyme, regulates aluminum sensitivity by modulating in vivo XET action, cell wall xyloglucan content, and aluminum binding capacity in Arabidopsis. Plant Cell 24:4731–4747. https://doi.org/10.1104/pp.114.243790
Acknowledgements
This study was supported by the National Natural Science Foundation projects of China (Nos. 31872408, 32071863 and 32101417).
Author information
Authors and Affiliations
Contributions
NF and YA designed the investigation. WW, LG, AL and LS contributed to the physiological and biochemical analyses. NF and YA wrote the manuscript. PZ and YA supervised the process of this research. YA provided financial support for the study. All authors read and approved the manuscript.
Corresponding author
Ethics declarations
Competing interest
The authors declare that they have no known competing financial interests or personal relationships that could have appeared to influence the work reported in this paper.
Additional information
Responsible Editor: Jian Feng Ma.
Publisher’s note
Springer Nature remains neutral with regard to jurisdictional claims in published maps and institutional affiliations.
Supplementary Information
Below is the link to the electronic supplementary material.
ESM 1
(DOCX 104 MB)
Rights and permissions
About this article
Cite this article
Fan, N., Wen, W., Gao, L. et al. MsPG4-mediated hydrolysis of pectins increases the cell wall extensibility and aluminum resistance of alfalfa. Plant Soil 477, 357–371 (2022). https://doi.org/10.1007/s11104-022-05431-3
Received:
Accepted:
Published:
Issue Date:
DOI: https://doi.org/10.1007/s11104-022-05431-3


