Abstract
Background and aims
Differences among plant genotypes can influence ecosystem functioning such as the rate of litter decomposition. Little is known, however, of the strength of genotypic links between litter quality, microbial abundance and litter decomposition within plant populations, or the likelihood that these processes are driven by natural selection.
Methods
We used 19 Betula pendula genotypes randomly selected from a local population in south-eastern Finland to establish a long-term, 35-month litter decomposition trial on forest ground. We analysed the effect of litter quality (N, phenolics and triterpenoids) of senescent leaves and decomposed litter on microbial abundance and litter mass loss.
Results
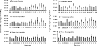
We found that while litter quality and mass loss both had significant genotypic variation, the genotypic variation among silver birch trees in the quantity of bacterial and fungal DNA was marginal. In addition, although the quantity of bacterial DNA at individual tree level was negatively associated with most secondary metabolites of litter and positively with litter N, litter chemistry was not genotypically linked to litter mass loss.
Conclusions
Contrary to our expectations, these results suggest that natural selection may have limited influence on overall microbial DNA and litter decomposition rate in B. pendula populations by reworking the genetically controlled foliage chemistry of these populations.



Similar content being viewed by others
Explore related subjects
Discover the latest articles and news from researchers in related subjects, suggested using machine learning.References
Atkinson MD (1992) Betula pendula Roth (B. Verrucosa Ehrh.) and B. pubescens Ehrh. J Ecol 80:837–870
Barbour R, O'Reilly-Wapstra J, De Little D, Jordan G, Steane D, Humphreys J, Bailey JK, Whitham TG, Potts BM (2009) A geographic mosaic of genetic variation within a foundation tree species and its community-level consequences. Ecology 90:1762–1772
Bardgett RD, Wardle DA (2010) Aboveground-belowground linkages. Biotic interactions, ecosystem processes, and global change. Oxford University Press Inc., New York
Bowman WD, Steltzer H, Rosenstiel TN, Cleveland CC, Meier CL (2004) Litter effects of two co-occurring alpine species on plant growth, microbial activity and immobilization of nitrogen. Oikos 104:336–344
Brinkmann K, Blaschke L, Polle A (2002) Comparison of different methods for lignin determination as a basis for calibration of near-infrared reflectance spectroscopy and implications of lignoproteins. J Chem Ecol 28:2483–2501
Bryant JP, Clausen TP, Swihart RK, Landhäusser SM, Stevens MT, Hawkins CDB, Carrière S, Kirilenko AP, Veitch AM, Popko RA, Cleland DT, Williams JH, Jakubas WJ, Carlson MR, Lehmkuhl Bodony K, Cebrian M, Paragi TF, Picone PM, Moore JF, Packee EC, Malone T (2009) Fire drives transcontinental variation in tree birch defense against browsing by snowshoe hares. Am Nat 174:13–23
Busby PE, Peay KG, Newcombe G (2016) Common foliar fungi of Populus trichocarpa modify Melampsora rust disease severity. New Phytol 209:1681–1692
Chapin FSI, Matson PA, Vitousek PM (2011) Principles of terrestrial ecosystem ecology. Springer-Verlag, New York
Cornelissen JHC (1996) An experimental comparison of leaf decomposition rates in a wide range of temperate plant species and types. J Ecol 84:573–582
Cornwell WK, Cornelissen JHC, Amatangelo K, Dorrepaal E, Eviner VT, Godoy O, Hobbie SE, Hoorens B, Kurokawa H, Pérez-Harguindeguy N, Quested HM, Santiago LS, Wardle DA, Wright IJ, Aerts R, Allison SD, Van Bodegom P, Brovkin V, Chatain A, Callaghan TV, Díaz S, Garnier E, Gurvich DE, Kazakou E, Klein JA, Read J, Reich PB, Soudzilovskaia NA, Vaieretti MV, Westoby M (2008) Plant species traits are the predominant control on litter decomposition rates within biomes worldwide. Ecol Lett 11:1065–1071
Crutsinger GM, Sanders NJ, Classen AT (2009) Comparing intra- and inter-specific effects on litter decomposition in an old-field ecosystem. Basic Appl Ecol 10:535–543
Edwards U, Rogall T, Blockerl H, Emde M, Bottger EC (1989) Isolation and direct complete nucleotide determination of entire genes. Characterization of a gene coding for 16S ribosomal RNA. Nucleic Acids Res 17:7843–7853
Falconer DS, Mackay TFC (1996) Introduction to quantitative genetics. Longman, Harlow, Essex, UK
Grayston SJ, Prescott CE (2005) Microbial communities in forest floors under four tree species in coastal British Columbia. Soil Biol Biochem 37:1157–1167
Guerra FP, Richards JH, Fiehn O, Famula R, Stanton BJ, Shuren R, Sykes R, Davis MF, Neale DB (2016) Analysis of the genetic variation in growth, ecophysiology, and chemical and metabolomic composition of wood of Populus trichocarpa provenances. Tree Genet Genomes 12:6. https://doi.org/10.1007/s11295-015-0965-8
Hagerman A (2002) The Tannin Handbook. Miami University, Oxford OH 45056. Available at: http://www.users.miamioh.edu/hagermae. Accessed 3 Oct 2016
Hättenschwiler S, Vitousek PM (2000) The role of polyphenols in terrestrial ecosystem nutrient cycling. Trends Ecol Evol 15:238–243
Heal OW, Anderson JM, Swift MJ (1997) Plant litter quality and decomposition: an historical overview. In: Cadish G, Giller KE (eds) Driven by nature: plant litter quality and decomposition. CAB International, Wallingford, pp 3–32
Hobbie SE, Reich PB, Oleksyn J, Ogdahl M, Zytkowiak R, Hale C, Karolewski P (2006) Tree species effects on decomposition and forest floor dynamics in a common garden. Ecology 87:2288–2297
Hynynen J, Niemistö P, Viherä-Aarnio A, Brunner A, Hein S, Velling P (2010) Silviculture of birch (Betula pendula Roth and Betula pubescens Ehrh.) in northern Europe. Forestry 83:103–119
Kang S, Mills AL (2004) Soil bacterial community structure changes following disturbance of the overlying plant community. Soil Sci 169:55–65
Kasurinen A, Keinänen MM, Kaipainen S, Nilsson L, Vapaavuori E, Kontro MH, Holopainen T (2005) Below-ground responses of silver birch trees exposed to elevated CO2 and O3 levels during three growing seasons. Glob Chang Biol 11:1167–1179
Korkama-Rajala T, Muller MM, Pennanen T (2008) Decomposition and fungi of needle litter from slow- and fast-growing Norway spruce (Picea abies) clones. Microb Ecol 56:76–89
Kraus T, Dahlgren R, Zasoski R (2003) Tannins in nutrient dynamics of forest ecosystems - a review. Plant Soil 256:41–66
Laitinen M, Julkunen-Tiitto R, Rousi M (2000) Variation in phenolic compounds within a birch (Betula pendula) population. J Chem Ecol 26:1609–1622
Laitinen M, Julkunen-Tiitto R, Tahvanainen J, Heinonen J, Rousi M (2005) Variation in birch (Betula pendula) shoot secondary chemistry due to genotype, environment, and ontogeny. J Chem Ecol 31:697–717
Lavelle P (2002) Functional domains in soils. Ecol Res 17:441–450
Lavelle P, Spain AV (2001) Soil ecology. Kluwer Academic Publishers, The Netherlands
LeRoy CJ, Whitham TG, Wooley SC, Marks JC (2007) Within-species variation in foliar chemistry influences leaf-litter decomposition in a Utah river. J N Am Benthol Soc 26:426–438
LeRoy CJ, Wooley SC, Lindroth RL (2012) Genotype and soil nutrient environment influence aspen litter chemistry and in-stream decomposition. Freshwat Sci 31:1244–1253
Li AOY, Ng LCY, Dudgeon D (2009) Effects of leaf toughness and nitrogen content on litter breakdown and macroinvertebrates in a tropical stream. Aquat Sci 71:80–93
Li Y, Xue J, Clinton PW, Dungey HS (2015) Genetic parameters and clone by environment interactions for growth and foliar nutrient concentrations in radiata pine on 14 widely diverse New Zealand sites. Tree Genet Genomes 11:10. https://doi.org/10.1007/s11295-014-0830-1
Madritch MD, Hunter MD (2002) Phenotypic diversity influences ecosystem functioning in an oak sandhills community. Ecology 83:2084–2090
Madritch MD, Hunter MD (2003) Intraspecific litter diversity and nitrogen deposition affect nutrient dynamics and soil respiration. Oecologia 136:124–128
Madritch MD, Hunter MD (2005) Phenotypic variation in oak litter influences short- and long-term nutrient cycling through litter chemistry. Soil Biol Biochem 37:319–327
Madritch MD, Lindroth RL (2011) Soil microbial communities adapt to genetic variation in leaf litter inputs. Oikos 120:1696–1704
Madritch M, Donaldson J, Lindroth R (2006) Genetic identity of Populus tremuloides litter influences decomposition and nutrient release in a mixed forest stand. Ecosystems 9:528–537
Madritch M, Greene S, Lindroth R (2009) Genetic mosaics of ecosystem functioning across aspen-dominated landscapes. Oecologia 160:119–127
Makkonen M, Berg MP, Handa IT, Haettenschwiler S, van Ruijven J, van Bodegom PM, Aerts R (2012) Highly consistent effects of plant litter identity and functional traits on decomposition across a latitudinal gradient. Ecol Lett 15:1033–1041
Manerkar MA, Seena S, Bärlocher F (2008) Q-RT-PCR for assessing archaea, bacteria, and fungi during leaf decomposition in a stream. Microb Ecol 56:467–473
Marks JC, Haden GA, Harrop BL, Reese EG, Keams JL, Watwood ME, Whitham TG (2009) Genetic and environmental controls of microbial communities on leaf litter in streams. Freshwat Biol 54:2616–2627
Melillo JM, Aber JD, Muratore JF (1982) Nitrogen and lignin control of hardwood leaf litter decomposition dynamics. Ecology 63:621–626
Mikola J, Paaso U, Silfver T, Autelo M, Koikkalainen K, Ruotsalainen S, Rousi M (2014) Growth and genotype x environment interactions in Betula pendula: can tree genetic variation be maintained by small-scale forest ground heterogeneity? Evol Ecol 28:811–828
Mikola J, Silfver T, Paaso U, Possen B, Rousi M (2018) Leaf N resorption efficiency and litter N mineralization rate have a genotypic trade-off in a silver birch population. Ecology. in press
Nordstokke D, Zumbo B (2007) A cautionary tale about levene’s tests for equal variances. JERPS 7:1–14
Paaso U, Keski-Saari S, Keinänen M, Karvinen H, Silfver T, Rousi M, Mikola J (2017) Intrapopulation genotypic variation of foliar secondary chemistry during leaf senescence and litter decomposition in silver birch (Betula pendula). Front Plant Sci 8:1074
Pastor J (2017) Ecosystem ecology and evolutionary biology, a new frontier for experiments and models. Ecosystems 20:245–252
Peñuelas J, Rico L, Ogaya R, Jump AS, Terradas J (2012) Summer season and long-term drought increase the richness of bacteria and fungi in the foliar phyllosphere of Quercus ilex in a mixed Mediterranean forest. Plant Biol 14:565–575
Pérez-Harguindeguy N, Díaz S, Cornelissen JHC, Vendramini F, Cabido M, Castellanos A (2000) Chemistry and toughness predict leaf litter decomposition rates over a wide spectrum of functional types and taxa in central Argentina. Plant Soil 218:21–30
Saikkonen K, Helander ML, Rousi M (2003) Endophytic foliar fungi in Betula spp. and their F1 hybrids. For Pathol 33:215–222
Sariyildiz T, Anderson JM (2003) Interactions between litter quality, decomposition and soil fertility: a laboratory study. Soil Biol Biochem 35:391–399
Schimel JP, Cleve KV, Cates RG, Clausen TP, Reichardt PB (1996) Effects of balsam poplar (Populus balsamifera) tannins and low molecular weight phenolics on microbial activity in taiga floodplain soil: implications for changes in N cycling during succession. Can J Bot 74:84–90
Schweitzer JA, Bailey JK, Fischer DG, LeRoy CJ, Lonsdorf EV, Whitham TG, Hart SC (2008a) Plant-soil-microorganism interactions: heritable relationship between plant genotype and associated soil microorganisms. Ecology 89:773–781
Schweitzer J, Madritch M, Bailey J, LeRoy C, Fischer D, Rehill B, Lindroth R, Hagerman A, Wooley S, Hart S, Whitham T (2008b) From genes to ecosystems: the genetic basis of condensed tannins and their role in nutrient regulation in a Populus model system. Ecosystems 11:1005–1020
Silfver T, Mikola J, Rousi M, Roininen H, Oksanen E (2007) Leaf litter decomposition differs among genotypes in a local Betula pendula population. Oecologia 152:707–714
Silfver T, Paaso U, Rasehorn M, Rousi M, Mikola J (2015) Genotype × herbivore effect on leaf litter decomposition in Betula pendula saplings: ecological and evolutionary consequences and the role of secondary metabolites. PLoS One 10:e0116806
Tack AJM, Johnson MTJ, Roslin T (2012) Sizing up community genetics: it’s a matter of scale. Oikos 121:481–488
Talbot JM, Treseder KK (2012) Interactions among lignin, cellulose, and nitrogen drive litter chemistry–decay relationships. Ecology 93:345–354
Templer P, Findlay S, Lovett G (2003) Soil microbial biomass and nitrogen transformations among five tree species of the Catskill Mountains, New York, USA. Soil Biol Biochem 35:607–613
U’Ren JM, Arnold AE (2016) Diversity, taxonomic composition, and functional aspects of fungal communities in living, senesced, and fallen leaves at five sites across North America. PeerJ 4:e2768
Vaieretti MV, Harguindeguy NP, Gurvich DE, Cingolani AM, Cabido M (2005) Decomposition dynamics and physico-chemical leaf quality of abundant species in a montane woodland in Central Argentina. Plant Soil 278:223–234
Wardle DA (2002) Communities and ecosystems - linking the aboveground and belowground components. Princeton University Press, Princeton
Wardle DA, Barker GM, Bonner KI, Nicholson KS (1998) Can comparative approaches based on plant ecophysiological traits predict the nature of biotic interactions and individual plant species effects in ecosystems? J Ecol 86:405–420
Weand MP, Arthur MA, Lovett GM, McCulley RL, Weathers KC (2010) Effects of tree species and N additions on forest floor microbial communities and extracellular enzyme activities. Soil Biol Biochem 42:2161–2173
Whitham TG, Bailey JK, Schweitzer JA, Shuster SM, Bangert RK, LeRoy CJ, Lonsdorf EV, Allan GJ, DiFazio SP, Potts BM, Fischer DG, Gehring CA, Lindroth RL, Marks JC, Hart SC, Wimp GM, Wooley SC (2006) A framework for community and ecosystem genetics: from genes to ecosystems. Nat Rev Genet 7:510–523
Whitham TG, DiFazio SP, Schweitzer JA, Shuster SM, Allan GJ, Bailey JK, Woolbright SA (2008) Extending genomics to natural communities and ecosystems. Science 320:492–495
Acknowledgments
We thank Hanni Sikanen and Eeva Somerkoski for their help in the field work, Kaisa Soikkeli for her help in the laboratory work and two anonymous reviewers for their constructive comments. The study was funded by the Academy of Finland (decision #1122444).
Author information
Authors and Affiliations
Corresponding author
Additional information
Responsible Editor: Cindy Prescott.
Rights and permissions
About this article
Cite this article
Silfver, T., Kontro, M., Paaso, U. et al. Intrapopulation genotypic variation in leaf litter chemistry does not control microbial abundance and litter mass loss in silver birch, Betula pendula. Plant Soil 426, 253–266 (2018). https://doi.org/10.1007/s11104-018-3631-8
Received:
Accepted:
Published:
Issue Date:
DOI: https://doi.org/10.1007/s11104-018-3631-8


