Abstract
Aim
Utilization of biological nitrification inhibition (BNI) strategy can reduce nitrogen losses in agricultural systems. This study is aimed at characterizing BNI activity in a plant-soil system using a biparental hybrid population of Brachiaria humidicola (Bh), a forage grass with high BNI potential but of low nutritional quality.
Methods
Soil nitrification rates and BNI potential in root-tissue were analyzed in a hybrid population (117), obtained from two contrasting Bh parents, namely CIAT 26146 and CIAT 16888, with low and high BNI activity, respectively. Observed BNI activity was validated by measuring archaeal (AOA) and bacterial (AOB) nitrifier abundance in the rhizosphere soil of parents and contrasting hybrids. Comparisons of the BNI potential of four forage grasses were conducted to evaluate the feasibility of using nitrification rates to measure BNI activity under field and pot grown conditions.
Results
High BNI activity was the phenotype most commonly observed in the hybrid population (72%). BNI activity showed a similar tendency for genotypes grown in pots and in the field. A reduction in AOA abundance was found for contrasting hybrids with low nitrification rates and high BNI potential.
Conclusion
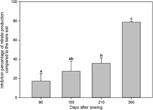
Bh hybrids with high levels of BNI activity were identified. Our results demonstrate that the microcosm incubation and the in vitro bioassay may be used as complementary methods for effectively assessing BNI activity. The full expression of BNI potential of Bh genotypes grown in the soil (i.e. low nitrification rates) requires up to one year to develop, after planting.
This is a preview of subscription content, access via your institution.




References
Arango J, Moreta D, Núñez J, Hartmann K, DomĂnguez M, Ishitani M, Miles J, Subbarao G, Peters M, Rao I (2014) Developing methods to evaluate phenotypic variability in biological nitrification inhibition (BNI) capacity of Brachiaria grasses. Trop Grassl-Forrajes Trops 2:6–8
Bardon C, Piola F, Bellvert F, Haichar F, Comte G, Meiffren G, Pommier T, Puijalon S, Tsafack N, Poly F (2014) Evidence for biological denitrification inhibition (BDI) by plant secondary metabolites. New Phytol 204:620–630
Beeckman F, Motte H, Beeckman T (2018) Nitrification in agricultural soils: impacts, actors and mitigation. Curr Opin Biotechnol 50:166–173
Byrnes R, Nuñez J, Arenas L, Rao I, Trujillo C, Alvarez C, Rasche F, Arango J, Chirinda N (2017) Biological nitrification inhibition by Brachiaria grasses mitigates soil nitrous oxide emissions from bovine urine patches. Soil Biol Biochem 107:156–163
Canfield DE, Glazer AN, Falkowski PG (2010) The evolution and future of Earth’s nitrogen cycle. Science 330:192–196
Castilla C, Jackson WA (1991) Nitrogen uptake mechanism in two Brachiaria species: Y-315. In: TropSoils technical report, 1988–1989. TropSoils, Raleigh, pp 164–167
Coskun D, Britto DT, Shi W, Kronzucker HJ (2017a) Nitrogen transformations in modern agriculture and the role of biological nitrification inhibition. Nature Plants 3:17074
Coskun D, Britto DT, Shi W, Kronzucker HJ (2017b) How plant root exudates shape the nitrogen cycle. Trends Plant Sci 22:661–673
Di HJ, Cameron KC, Sherlock RR, Shen JP, He JZ, Winefield CS (2010) Nitrous oxide emissions from grazed grassland as affected by a nitrification inhibitor, dicyandiamide, and relationships with ammonia-oxidizing bacteria and archaea. J Soils Sediments 10:943–954
Gopalakrishnan S, Subbarao GV, Nakahara K, Yoshihashi T, Ito O, Maeda I, Ono H, Yoshida M (2007) Nitrification inhibitors from the root tissues of Brachiaria humidicola, a tropical grass. J Agric Food Chem 55:1385–1388
Gopalakrishnan S, Watanabe T, Pearse SJ, Ito O, Hossain Z, Subbarao GV (2009) Biological nitrification inhibition by Brachiaria humidicola roots varies with soil type and inhibits nitrifying bacteria, but not other major soil microorganisms. Soil Sci Plant Nutr 55:725–733
Haichar FE, Santaella C, Heulin T, Achouak W (2014) Root exudates mediated interactions belowground. Soil Biol Biochem 77:69–80
Iizumi T, Mizumoto M, Nakamura K (1998) A bioluminescence assay using Nitrosomonas europaea for rapid and sensitive detection of nitrification inhibitors. Appl Environ Microbiol 64:3656–3662
Karwat H, Moreta D, Arango J, Núñez J, Rao I, Rincón A, Rasche F, Cadisch G (2017) Residual effect of BNI by Brachiaria humidicola pasture on nitrogen recovery and grain yield of subsequent maize. Plant Soil 420:389–406
Keller-Grein G, Maass BL, Hanson J (1996) Natural variation in Brachiaria and existing germplasm collections. In: Miles JW, Maass BL, do Valle CB (eds) Brachiaria: the biology, agronomy, and improvement. CIAT, Cali, pp 16–35
Kraffczyk I, Trolldenier G, Beringer H (1984) Soluble root exudates of maize: influence of potassium supply and rhizosphere microorganisms. Soil Biol Biochem 16:315–322
Leininger S, Urich T, Schloter M, Schwark L, Qi J, Nicol GW, Prosser JI, Schuster SC, Schleper C (2006) Archaea predominate among ammonia-oxidizing prokaryotes in soils. Nature 442:806–809
Liu C, Wang K, Zheng X (2013) Effects of nitrification inhibitors (DCD and DMPP) on nitrous oxide emission, crop yield and nitrogen uptake in a wheat-maize cropping system. Biogeosciences 10:2427–2437
Mackay TF, Stone E, Ayroles F (2009) The genetics of quantitative traits: challenges and prospects. Nat Rev Genet 10:565–577
Marschner M (1995) Mineral nutrition of higher plants, 2nd edn. Academic Press, London
Miles J, Do Valle CB, Rao IM, Euclides V (2004) Brachiaria grasses. In: Moser LE, Burson BL, Sollenberger LE (eds) Warm-season (C4) grasses. Agron. Monogr, vol 45. ASA, CSSA, SSSA, Madison, pp 745–783
Moreta D, Arango J, Sotelo M, Vergara D, Rincon A, Ishitani M, Castro A, Miles J, Peters M, Tohme J, Subbarao GV, Rao IM (2014) Biological nitrification inhibition (BNI) in Brachiaria pastures: a novel strategy to improve eco-efficiency of crop- livestock systems and to mitigate climate change. Trop Grassl - Forrajes Trop 2:88–91
Neumann G, Römheld V (2007) The release of root exudates as affected by the plant physiological status. In: Pinton R, Varinini Z, Nannipieri P (eds) The rhizosphere: biochemistry and organic substances at the soil-plant interface, 2nd edn. CRC Press, Boca Raton, pp 23–72
O’Sullivan CA, Fillery IR, Roper MM, Richards RA (2016) Identification of several wheat landraces with biological nitrification inhibition capacity. Plant Soil 404:61–74
Oburger E, Gruber B, Schindlegger Y, Schenkeveld W, Hann S, Kraemer SM, Wenzel W, Puschenreiter M (2014) Root exudation of phytosiderophores from soil-grown wheat. New Phytol 203:1161–1174
Rao IM, Kerridge PC, Macedo M (1996) Nutritional requirements of Brachiaria and adaptation to acid soils. In: Miles JW, Maass BL, do Valle CB (eds) Brachiaria: The biology, agronomy, and improvement. CIAT, Cali, pp 53–71
Rao IM, Ishitani M, Miles J, Peters M, Tohme J, Arango J, Moreta DE, Lopez H, Castro A, van der Hoek R, Martens S, Hyman G, Tapasco J, Duitama J, Suárez H, Borrero G, Núñez J, Hartmann K, DomĂnguez M, Sotelo M, Vergara D, La Velle P, Subbarao GV, RincĂłn A, Plazas C, Mendoza R, Rathjen L, Karwat H, Cadisch G (2014) Climate-smart crop-livestock systems for smallholders in the tropics: integration of new forage hybrids to intensify agriculture and to mitigate climate change through regulation of nitrification in soil. Tropical Grasslands – Forrajes Tropicales 2:130–132
Rivas L, Holmann F (2004) Impacto de la AdopciĂłn de Nuevos HĂbridos de Brachiarias Resistentes al Salivazo en Colombia, MĂ©xico y CentroamĂ©rica. Centro Internacional de Agricultura Tropical (CIAT), Cali 28p
Rotthauwe J, Witzel KP, Liesack W (1997) The ammonia monooxygenase structural gene amoA as a functional marker: molecular fine-scale analysis of natural ammonia-oxidizing populations. Appl Environ Microbiol 63:4704–4712
Souri M, Neumann G (2017) Indications for passive rather than active release of natural nitrification inhibitors in Brachiaria humidicola root exudates. J Plant Nutr 41:477–486. https://doi.org/10.1080/01904167.2017.1385809
Subbarao G, Ishikawa T, Ito O, Nakahara K, Wang H, Berry W (2006) A bioluminescence assay to detect nitrification inhibitors released from plant roots: a case study with Brachiaria humidicola. Plant Soil 288:101–112
Subbarao G, Wang H, Ito O, Nakahara K, Berry W (2007) NH4 + triggers the synthesis and release of biological nitrification inhibition compounds in Brachiaria humidicola roots. Plant Soil 290:245–257
Subbarao G, Nakahara K, Hurtado M, Ono H, Moreta D, Salcedo AF, Yoshihashi A, Ishikawa T, Ishitani M, Ohnishi-Kameyama M (2009) Evidence for biological nitrification inhibition in Brachiaria pastures. Proc Natl Acad Sci U S A 106:17302–17307
Subbarao G, Nakahara K, Ishikawa T, Ono H, Yoshida M, Yoshihashi T, Zhu Y, Zakir H, Deshpande S, Hash C (2013) Biological nitrification inhibition (BNI) activity in sorghum and its characterization. Plant Soil 366:243–259
Subbarao G, Arango J, Masahiro K, Hooper AM, Yoshihashi T, Ando Y, Nakahara K, Deshpande S, Ortiz-Monasterio I, Ishitani M, Peters M, Chirinda N, Wollenber L, Lata JC, Gerard B, Tobita S, Rao IM, Braun HJ, Kommerell V, Tohme J, Iwanaga M (2017) Genetic mitigation strategies to tackle agricultural GHG emissions: the case for biological nitrification inhibition technology. Plant Sci 262:165–168
Sun L, Lu Y, Yu F, Kronzucker HJ, Shi W (2016) Biological nitrification inhibition by rice root exudates and its relationship with nitrogen use efficiency. New Phytol 212:646–656
Tanaka JP, Nardi P, Wissuwa M (2010) Nitrification inhibition activity, a novel trait in root exudates of rice. AoB Plants 2010:1–11
Tesfamariam T, Yoshinaga H, Deshpande SP, Srinivasa P, Sahrawat KL, Ando Y, Nakahara K, Hash CT, Subbarao GV (2014) Biological nitrification inhibition in sorghum: the role of sorgoleone production. Plant Soil 379:325–335
Thion C, Poirel J, Cornulier T, DeVries F, Bardgett R, Prosser JI (2016) Plant N-use strategy as a driver of rhizosphere archaeal and bacterial ammonia oxidiser abundance. FEMS Microbiol Ecol 92:fiw091
Worthington M, Miles J, (2015) Reciprocal full-sib recurrent selection and tools for accelerating genetic gain in apomictic Brachiaria. In: Budak H, Spangenberg G (eds) Molecular breeding of forage and turf. Springer International Publishing Switzerland, Basel, pp 19–30
Yang M, Fang Y, Sun D, Shi Y (2016) Efficiency of two nitrification inhibitors (dicyandiamide and 3, 4-dimethypyrazole phosphate) on soil nitrogen transformations and plant productivity: a meta-analysis. Sci Rep 6:22075
Zakir HA, Subbarao GV, Pearse SJ, Gopalakrishnan S, Ito O, Ishikawa T, Kawano N, Nakahara K, Yoshihashi T, Ono H (2008) Detection, isolation and characterization of a root-exuded compound, methyl 3-(4-hydroxyphenyl) propionate, responsible for biological nitrification inhibition by sorghum (Sorghum bicolor). New Phytol 180:442–451
Zhang LM, Hu HW, Shen JP, He JZ (2012) Ammonia-oxidizing archaea have more important role than ammonia-oxidizing bacteria in ammonia oxidation of strongly acidic soils. ISME Journal 6:1032–1045
Zhu Y, Zeng H, Shen Q, Ishikawa T, Subbarao GV (2012) Interplay among NH4 + uptake, rhizosphere pH and plasma membrane H+-ATPase determine the release of BNIs in sorghum roots – possible mechanisms and underlying hypothesis. Plant Soil 358:131–141
Acknowledgements
We very much appreciate the financial support of the project “Climate-smart crop-livestock systems for smallholders in the tropics: Integration of new forage hybrids to intensify agriculture and to mitigate climate change through regulation of nitrification in soil” by the Federal Ministry for Economic Cooperation and Development (BMZ, Germany). This study was undertaken as part of the LivestockPlus project funded by CGIAR Research Program (CRP) on Climate Change, Agriculture and Food Security (CCAFS), which is a strategic partnership of CGIAR and Future Earth. In addition, this work was, in part, conducted as part of the Livestock CRP. We thank all donors that globally support the work of the program through their contributions to the CGIAR system. We would like to thank Lucia Chavez, Maria Eugenia Recio, Aracelly Vidal and Edwin Palma for their technical assistance in performing this research. We thank the two anonymous reviewers for their valuable and constructive comments.
Author information
Authors and Affiliations
Corresponding author
Additional information
Responsible Editor: Feike A. Dijkstra.
Rights and permissions
About this article
Cite this article
Nuñez, J., Arevalo, A., Karwat, H. et al. Biological nitrification inhibition activity in a soil-grown biparental population of the forage grass, Brachiaria humidicola. Plant Soil 426, 401–411 (2018). https://doi.org/10.1007/s11104-018-3626-5
Received:
Accepted:
Published:
Issue Date:
DOI: https://doi.org/10.1007/s11104-018-3626-5
Keywords
- Ammonia oxidation
- Bioassay
- Brachiaria hybrids
- Microcosm incubation
- Plant soil interaction
- Rhizosphere