Abstract
Background
We hypothesize that invasive English ivy (Hedera helix) harbors endophytic microbes that promote plant growth and survival. To evaluate this hypothesis, we examined endophytic bacteria in English ivy and evaluated effects on the host plant.
Methods
Endophytic bacteria were isolated from multiple populations of English ivy in New Brunswick, NJ. Bacteria were identified as a single species Bacillus amyloliquefaciens. One strain of B. amyloliquefaciens, strain C6c, was characterized for indoleacetic acid (IAA) production, secretion of hydrolytic enzymes, phosphate solubilization, and antibiosis against pathogens. PCR was used to amplify lipopeptide genes and their secretion into culture media was detected by MALDI-TOF mass spectrometry. Capability to promote growth of English ivy was evaluated in greenhouse experiments. The capacity of C6c to protect plants from disease was evaluated by exposing B+ (bacterium inoculated) and B− (non-inoculated) plants to the necrotrophic pathogen Alternaria tenuissima.
Results
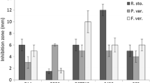
B. amyloliquefaciens C6c systemically colonized leaves, petioles, and seeds of English ivy. C6c synthesized IAA and inhibited plant pathogens. MALDI-TOF mass spectrometry analysis revealed secretion of antifungal lipopeptides surfactin, iturin, bacillomycin, and fengycin. C6c promoted the growth of English ivy in low and high soil nitrogen conditions. This endophytic bacterium efficiently controlled disease caused by Alternaria tenuissima.
Conclusions
This study suggests that B. amyloliquefaciens plays an important role in enhancing growth and disease protection of English ivy.




Similar content being viewed by others
Explore related subjects
Discover the latest articles and news from researchers in related subjects, suggested using machine learning.References
Adesemoye AO, Torbert HA, Kloepper JW (2009) Plant growth-promoting rhizobacteria allow reduced application rates of chemical fertilizers. Microb Ecol 58:921–929. doi:10.1007/s00248-009-9531-y
Almoneafy AA, Kakar KU, Nawaz Z, Li B, Chun-lan Y, Xie GL (2014) Tomato plant growth promotion and antibacterial related-mechanisms of four rhizobacterial Bacillus strains against Ralstonia solanacearum. Symbiosis 63:59–70. doi:10.1007/s13199-014-0288-9
Andonian K, Hierro JL (2011) Species interactions contribute to the success of a global plant invader. Biol Invasions 13:2957–2965. doi:10.1007/s10530-011-9879-x
Aravind R, Eapen SJ, Kumar A, Dinu A, Ramana KV (2010) Screening of endophytic bacteria and evaluation of selected isolates for suppression of burrowing nematode (Radopholus similis Thorne) using three varieties of black pepper (Piper nigrum L.). Crop Prot 29:318–324. doi:10.1016/j.cropro.2009.12.005
Aschehoug ET, Callaway RM, Newcombe G, Tharayil N, Chen S (2014) Fungal endophyte increases the allelopathic effects of an invasive forb. Oecologia 175:285–291. doi:10.1007/s00442-014-2891-0
Bacon CW, White JF (2000) Microbial endophytes. Marcel Dekker, New York
Bai Y, Zhou X, Smith DL (2003) Enhanced soybean plant growth resulting from coinoculation of Bacillus strains with Bradyrhizobium japonicum. Crop Sci 43:1774–1781. doi:10.2135/cropsci2003.1774
Bell CR, Dickie GA, Harvey WLG, Chan JWYF (1995) Endophytic bacteria in grapevine. Can J Microbiol 41:46–53. doi:10.1139/m95-006
Beltran-Garcia MJ, White Jr, JF, Prado FM, Prieto KR, Yamaguchi LF, Torres MS, Di Mascio P (2014) Nitrogen acquisition in Agave tequilana from degradation of endophytic bacteria. Sci Rep 4. doi:10.1038/srep06938
Beneduzi A, Peres D, Vargas LK, Bodanese-Zanettini MH, Passaglia LMP (2008) Evaluation of genetic diversity and plant growth promoting activities of nitrogen-fixing bacilli isolated from rice fields in South Brazil. Appl Soil Ecol 39:311–320. doi:10.1018/j.apsoil.2008.01.006
Berg G, Krechel A, Ditz M, Sikora RA, Ulrich A, Hallmann J (2005a) Endophytic and ectophytic potato-associated bacterial communities differ in structure and antagonistic function against plant pathogenic fungi. FEMS Microbiol Ecol 51:215–229. doi:10.1016/j.femsec.2004.08.006
Berg G, Zachow C, Lottmann J, Götz M, Costa R, Smalla K (2005b) Impact of plant species and site on rhizosphere-associated fungi antagonistic to Verticillium dahliae Kleb. Appl Environ Microbiol 71:4203–4213. doi:10.1128/AEM.71.8.4203-4213.20
Biggerstaff MS, Beck CW (2007) Effects of English ivy (Hedera helix) on seed bank formation and germination. Am Midl Nat 157:250–257
Borriss R, Chen XH, Rueckert C, Blom J, Becker A, Baumgarth B, Klenk HP (2011) Relationship of Bacillus amyloliquefaciens clades associated with strains DSM 7T and FZB42T: a proposal for Bacillus amyloliquefaciens subsp. amyloliquefaciens subsp. nov. and Bacillus amyloliquefaciens subsp. plantarum subsp. nov. based on complete genome sequence comparisons. Int J Syst Evol Microbiol 61:1786–1801. doi:10.1099/ijs.0.023267-0
Brader G, Compant S, Mitter B, Trognitz F, Sessitsch A (2014) Metabolic potential of endophytic bacteria. Curr Opin Biotechnol 27:30–37. doi:10.1016/j.copbio.2013.09.012
Brown RL, Peet RK (2003) Diversity and invasibility of southern Appalachian plant communities. Ecology 84:32–39. doi:10.1890/0012-9658(2003)084[0032:DAIOSA]2.0.CO;2
Callaway RM, Waller LP, Diaconu A, Pal R, Collins AR, Mueller-Schaerer H, Maron JL (2011) Escape from competition: neighbors reduce Centaurea stoebe performance at home but not away. Ecology 92:2208–2213. doi:10.1890/11-0518.1
Carrim AJI, Barbosa EC, Vieira JDG (2006) Enzymatic activity of endophytic bacterial isolates of Jacaranda decurrens Cham. (Carobinha-do-campo). Braz Arch Biol Technol 49:353–359. doi:10.1590/S1516-89132006000400001
Chen XH, Koumoutsi A, Scholz R, Eisenreich A, Schneider K, Heinemeyer I, Borriss R (2007) Comparative analysis of the complete genome sequence of the plant growth-promoting bacterium Bacillus amyloliquefaciens FZB42. Nat Biotechnol 25:1007–1014. doi:10.1038/nbt1325
Choi SK, Jeong H, Kloepper JW, Ryu CM (2014) Genome sequence of Bacillus amyloliquefaciens GB03, an active ingredient of the first commercial biological control product. Genome Announc 2:e01092–14. doi:10.1128/genomeA.01092-14
Chung S, Kong H, Buyer JS, Lakshman DK, Lydon J, Kim SD, Roberts DP (2008) Isolation and partial characterization of Bacillus subtilis ME488 for suppression of soilborne pathogens of cucumber and pepper. Appl Microbiol Biotechnol 80:115–123. doi:10.1007/s00253-008-1520-4
Clapham AR, Tutin TG, Moore DM (1990) Flora of the British isles. CUP Archive
Clarke MM, Reichard SH, Hamilton CW (2006) Prevalence of different horticultural taxa of ivy (Hedera spp., Araliaceae) in invading populations. Biol Invasions 8:149–157. doi:10.1007/s10530-004-2424-6
Colautti RI, MacIsaac HJ (2004) A neutral terminology to define ‘invasive’species. Divers Distrib 10:135–141. doi:10.1111/j.1366-9516.2004.00061.x
Crane JM, Gibson DM, Vaughan RH, Bergstrom GC (2013) Iturin levels on wheat spikes linked to biological control of Fusarium head blight by Bacillus amyloliquefaciens. Phytopathology 103:146–155. doi:10.1094/PHYTO-07-12-0154-R
Dabundo R, Lehmann MF, Treibergs L, Tobias CR, Altabet MA, Moisander PH, Granger J (2014) The contamination of commercial 15N2 gas stocks with 15N-labeled nitrate and ammonium and consequences for nitrogen fixation measurements. PLoS ONE 9:e110335. doi:10.1371/journal.pone.0110335
Davis MA, Grime JP, Thompson K (2000) Fluctuating resources in plant communities: a general theory of invasibility. J Ecol 88:528–534. doi:10.1046/j.1365-2745.2000.00473.x
Deleu M, Paquot M, Nylander T (2008) Effect of fengycin, a lipopeptide produced by Bacillus subtilis, on model biomembranes. Biophys J 94:2667–2679. doi:10.1529/biophysj.107.114090
Di Fiore S, Del Gallo M (1995) Endophytic bacteria: their possible role in the host plant. In: Fendrik I, Del Gallo M, Vanderleyden J, Zamaroczy M (eds) AzospirillumVI and related microorganisms. Springer, Berlin, pp 169–187
Ellenberg H (1988) Vegetation ecology of central Europe. Cambridge University Press, Cambridge
Farzana K, Shah SN, Butt FB, Awan SB (2005) Biosynthesis of bacitracin in solid-state fermentation by Bacillus licheniformis using defatted oil seed cakes as substrate. Pak J Pharm Sci 18:55–57, IOP Publishing Physics Web
Ferreira A, Quecine MC, Lacava PT, Oda S, Azevedo JL, Araújo WL (2008) Diversity of endophytic bacteria from Eucalyptus species seeds and colonization of seedlings by Pantoea agglomerans. FEMS Microbiol Lett 287:8–14. doi:10.1111/j.1574-6968.2008.01258.x
González‐Sánchez MÁ, Pérez‐Jiménez RM, Pliego C, Ramos C, De Vicente A, Cazorla FM (2010) Biocontrol bacteria selected by a direct plant protection strategy against avocado white root rot show antagonism as a prevalent trait. J Appl Microbiol 109:65–78. doi:10.1111/j.1365-2672.2009.04628.x
Grime JP, Hodgson JG, Hunt R (1988) Comparative plant ecology. A functional approach to common British species. Unwin Hyman Ltd, London
Gyaneshwar P, James EK, Mathan N, Reddy PM, Reinhold-Hurek B, Ladha JK (2001) Endophytic colonization of rice by a diazotrophic strain of Serratia marcescens. J Bacteriol 183:2634–2645. doi:10.1128/JB.183.8.2634-2645.2001
Hardy RW, Holsten RD, Jackson EK, Burns RC (1968) The acetylene-ethylene assay for N2 fixation: laboratory and field evaluation. Plant Physiol 43:1185–1207. doi:10.1104/pp. 43.8.1185
Hoflacher H, Bauer H (1982) Light acclimation in leaves of the juvenile and adult life phases of ivy (Hedera helix). Physiol Plant 56:177–182. doi:10.1111/j.1399-3054.1982.tb00321.x
Idris EE, Iglesias DJ, Talon M, Borriss R (2007) Tryptophan-dependent production of indole-3-acetic acid (IAA) affects level of plant growth promotion by Bacillus amyloliquefaciens FZB42. Mol Plant Microbe Interact 20:619–626. doi:10.1094/MPMI-20-6-0619
Jordan NR, Larson DL, Huerd SC (2008) Soil modification by invasive plants: effects on native and invasive species of mixed-grass prairies. Biol Invasions 10:177–190. doi:10.1007/s10530-007-9121-1
Jourdan E, Henry G, Duby F, Dommes J, Barthélemy JP, Thonart P, Ongena MARC (2009) Insights into the defense-related events occurring in plant cells following perception of surfactin-type lipopeptide from Bacillus subtilis. Plant Microbe Interact 22:456–468. doi:10.1094/MPMI-22-4-0456
Kawaguchi A, Sawada H, Ichinose Y (2008) Phylogenetic and serological analyses reveal genetic diversity of Agrobacterium vitis strains in Japan. Plant Pathol 57:747–753. doi:10.1111/j.1365-3059.2008.01829.x
Kim PI, Ryu J, Kim YH, Chi YT (2010) Production of biosurfactant lipopeptides Iturin A, fengycin and surfactin A from Bacillus subtilis CMB32 for control of Colletotrichum gloeosporioides. J Microbiol Biotechnol 20:138–145. doi:10.4014/jmb.0905.05007
Kollmann J, Grubb PJ (1999) Recruitment of fleshy-fruited species under different shrub species: control by under-canopy environment. Ecol Res 14:9–21. doi:10.1046/j.1440-1703.1999.141281.x
Kowalski KP, Bacon C, Bickford W, Braun H, Clay K, Leduc-Lapierre M, Lillard E, McCormick MK, Nelson E, Torres M, White J, Wilcox DA (2015) Advancing the science of microbial symbiosis to support invasive species management: a case study on Phragmites in the Great Lakes. Front Microbiol 6:95. doi:10.3389/fmicb.2015.00095
Kumar A, Prakash A, Johri BN (2011) Bacillus as PGPR in crop ecosystem. In: Maheshwari D (ed) Bacteria in agrobiology: crop ecosystems. Springer, Berlin, pp 37–59
Kumaresan V, Suryanarayanan TS (2002) Endophyte assemblages in young, mature and senescent leaves of Rhizophora apiculata: evidence for the role of endophytes in mangrove litter degradation. Fungal Divers 9:81–91
Laskurain NA, Escudero A, Olano JM, Loidi J (2004) Seedling dynamics of shrubs in a fully closed temperate forest: greater than expected. Ecography 27:650–658. doi:10.1111/j.0906-7590.2004.03750.x
Leclère V, Marti R, Béchet M, Fickers P, Jacques P (2006) The lipopeptides mycosubtilin and surfactin enhance spreading of Bacillus subtilis strains by their surface-active properties. Arch Microbiol 186:475–483. doi:10.1007/s00203-006-0163-z
Leelasuphakul W, Hemmanee P, Chuenchitt S (2008) Growth inhibitory properties of Bacillus subtilis strains and their metabolites against the green mold pathogen (Penicillium digitatum Sacc.) of citrus fruit. Postharvest Biol Technol 48:113–121. doi:10.1016/j.postharvbio.2007.09.024
Li HY, Li DW, He CM, Zhou ZP, Mei T, Xu HM (2012) Diversity and heavy metal tolerance of endophytic fungi from six dominant plant species in a Pb–Zn mine wasteland in China. Fungal Ecol 5:309–315. doi:10.1016/j.funeco.2011.06.002
Lima JVL, Weber OB, Correia D, Soares MA, Senabio JA (2015) Endophytic bacteria in cacti native to a Brazilian semi-arid region. Plant Soil. doi:10.1007/s11104-014-2344-x
Liao C, Peng R, Lou Y, Zhou X, Wu X, Fang C, Chen J, Li B (2008) Altered ecosystem carbon and nitrogen cycles by plant invasion: a meta-analysis. New Phytol 177:706–714
Lugtenberg B, De Weger L, Bennett J (1991) Microbial stimulation of plant growth and protection from disease. Curr Opin Biotechnol 2:457–464
Mari M, Guizzardi M, Brunelli M, Folchi A (1996) Postharvest biological control of grey mold (Botrytis cinerea Pers.: Fr.) on fresh-market tomatoes with Bacillus amyloliquefaciens. Crop Prot 15:699–705. doi:10.1016/S0261-2194(96)00042-7
McSpadden Gardener BB (2004) Ecology of Bacillus and Paenibacillus spp. in agricultural systems. Phytopathology 94:1252–1258. doi:10.1094/PHYTO.2004.94.11.1252
Melnick RL, Zidack NK, Bailey BA, Maximova SN, Guiltinan M, Backman PA (2008) Bacterial endophytes: Bacillus spp. from annual crops as potential biological control agents of black pod rot of cacao. Biol Control 46:46–56. doi:10.1016/j.biocontrol.2008.01.022
Mercier R, Kawai Y, Errington J (2014) General principles for the formation and proliferation of a wall-free (L-form) state in bacteria. eLife 3:e04629. doi:10.7554/eLife.04629
Montanez A, Blanco AR, Barlocco C, Beracochea M, Sicardi M (2012) Characterization of cultivable putative endophytic plant growth promoting bacteria associated with maize cultivars (Zea mays L.) and their inoculation effects in vitro. Appl Soil Ecol 58:21–28. doi:10.1016/j.apsoil.2012.02.009
Norris JR, Chapman HM (1968) Classification of Azotobacter. In: Gibbs BM, Shapton DA (eds) Identification methods for microbiologists. Academic Press, New York, pp 19–27
Okunishi S, Sako K, Mano H, Imamura A, Morisaki H (2005) Bacterial flora of endophytes in the maturing seed of cultivated rice (Oryza sativa). Microbes Environ 20:168–177. doi:10.1264/jsme2.20.168
Oldenburg KR, Vo KT, Ruhland B, Schatz PJ, Yuan Z (1996) A dual culture assay for detection of antimicrobial activity. J Biomol Screen 1:123–130. doi:10.1177/108705719600100305
Ongena M, Jacques P (2008) Bacillus lipopeptides: versatile weapons for plant disease biocontrol. Trends Microbiol 16:115–125. doi:10.1016/j.tim.2007.12.009
Panchal H, Ingle S (2011) Isolation and characterization of endophytes from the root of the medicinal plant Chlorophytum borivilianum (Safed musli). J Adv Dev Res 2:205–209
Pandya U, Saraf M (2015) Isolation and identification of allelochemicals produced by B. sonorensis for suppression of charcoal rot of Arachis hypogaea L. J Basic Microbiol. doi:10.1002/jobm.201400416
Patel H, Tscheka C, Edwards K, Karlsson G, Heerklotz H (2011) All-or-none membrane permeabilization by fengycin-type lipopeptides from Bacillus subtilis QST713. BBA-Biomembr 1808:2000–2008. doi:10.1016/j.bbamem.2011.04.008
Perez-Garcia O, Escalante FM, de-Bashan LE, Bashan Y (2011) Heterotrophic cultures of microalgae: metabolism and potential products. Water Res 45:11–36. doi:10.1016/j.watres.2010.08.037
Peypoux F, Bonmatin JM, Wallach J (1999) Recent trends in the biochemistry of surfactin. Appl Microbiol Biotechnol 51:553–563. doi:10.1007/s002530051432
Pryor SW, Siebert KJ, Gibson DM, Gossett JM, Walker LP (2007) Modeling production of antifungal compounds and their role in biocontrol product inhibitory activity. J Agric Food Chem 55:9530–9536. doi:10.1021/jf0719252
Raaijmakers JM, De Bruijn I, Nybroe O, Ongena M (2010) Natural functions of lipopeptides from Bacillus and Pseudomonas: more than surfactants and antibiotics. FEMS Microbiol Rev 34:1037–1062. doi:10.1111/j.1574-6976.2010.00221.x
Rahman A, Uddin W, Wenner NG (2015) Induced systemic resistance responses in perennial ryegrass against Magnaporthe oryzae elicited by semi‐purified surfactin lipopeptides and live cells of Bacillus amyloliquefaciens. Mol Plant Pathol. doi:10.1111/mpp.12209
Rai R, Dash PK, Prasanna BM, Singh A (2007) Endophytic bacterial flora in the stem tissue of a tropical maize (Zea mays L.) genotype: isolation, identification and enumeration. World J Microbiol Biotechnol 23:853–858. doi:10.1007/s11274-006-9309-z
Rajagopal R, Suryanarayanan TS (2000) Isolation of endophytic fungi from leaves of neem (Azadirachta indica). Curr Sci 78:1375–1378
Reinhart KO, Callaway RM (2006) Soil biota and invasive plants. New Phytol 170:445–457. doi:10.1111/j.1469-8137.2006.01715.x
Reiter B, Wermbter N, Gyamfi S, Schwab H, Sessitsch A (2003) Endophytic Pseudomonas spp. populations of pathogen-infected potato plants analysed by 16S rDNA-and 16S rRNA-based denaturating gradient gel electrophoresis. Plant Soil 257:397–405. doi:10.1023/A:1027382232391
Richardson AE, Barea JM, McNeill AM, Prigent-Combaret C (2009) Acquisition of phosphorus and nitrogen in the rhizosphere and plant growth promotion by microorganisms. Plant Soil 321:305–339. doi:10.1007/s11104-009-9895-2
Romero D, de Vicente A, Rakotoaly RH, Dufour SE, Veening JW, Arrebola E, Pérez-García A (2007) The iturin and fengycin families of lipopeptides are key factors in antagonism of Bacillus subtilis toward Podosphaera fusca. Mol Plant Microbe Interact 20:430–440. doi:10.1094/MPMI-20-4-0430
Rout ME, Chrzanowski TH (2009) The invasive Sorghum halepense harbors endophytic N2-fixing bacteria and alters soil biogeochemistry. Plant Soil 315:163–172. doi:10.1007/s11104-008-9740-z
Sack L, Cowan PD, Jaikumar N, Holbrook NM (2003a) The ‘hydrology’of leaves: co‐ordination of structure and function in temperate woody species. Plant Cell Environ 26:1343–1356. doi:10.1046/j.0016-8025.2003.01058.x
Sack L, Grubb PJ, Marañón T (2003b) The functional morphology of juvenile plants tolerant of strong summer drought in shaded forest understories in southern Spain. Plant Ecol 168:139–163. doi:10.1023/A:1024423820136
Schulz B, Boyle C (2006) What are endophytes? In: Schulz B, Boyle CJ, Sieber TN (eds) Microbial root endophytes. Springer, Berlin, pp 1–13
Shao J, Xu Z, Zhang N, Shen Q, Zhang R (2015) Contribution of indole-3-acetic acid in the plant growth promotion by the rhizospheric strain Bacillus amyloliquefaciens SQR9. Biol Fertil Soils 51:321–330. doi:10.1007/s00374-014-0978-8
Shishido M, Breuil C, Chanway CP (1999) Endophytic colonization of spruce by plant growth-promoting rhizobacteria. FEMS Microbiol Ecol 29:191–196. doi:10.1111/j.1574-6941.1999.tb00610.x
Singh N, Pandey P, Dubey RC, Maheshwari DK (2008) Biological control of root rot fungus Macrophomina phaseolina and growth enhancement of Pinus roxburghii (Sarg.) by rhizosphere competent Bacillus subtilis BN1. World J Microbiol Biotechnol 24:1669–1679. doi:10.1007/s11274-008-9680-z
Souto GI, Correa OS, Montecchia MS, Kerber NL, Pucheu NL, Bachur M, Garcia AF (2004) Genetic and functional characterization of a Bacillus sp. strain excreting surfactin and antifungal metabolites partially identified as iturin‐like compounds. J Appl Microbiol 97:1247–1256. doi:10.1111/j.1365-2672.2004.02408.x
Stein T (2005) Bacillus subtilis antibiotics: structures, syntheses and specific functions. Mol Microbiol 56:845–857. doi:10.1111/j.1365-2958.2005.04587.x
Stein T, Vater J, Kruft V, Otto A, Wittmann-Liebold B, Franke P, Morris HR (1996) The multiple carrier model of nonribosomal peptide biosynthesis at modular multienzymatic templates. J Biol Chem 271:15428–15435. doi:10.1074/jbc.271.26.15428
Steller S, Sokoll A, Wilde C, Bernhard F, Franke P, Vater J (2004) Initiation of surfactin biosynthesis and the role of the SrfD-thioesterase protein. Biochemistry 43:11331–11343. doi:10.1021/bi0493416
Stevenson FJ, Cole MA (1999) Cycles of soil: carbon, nitrogen phosphorus, sulfur, and micronutrients. Wiley, New York
Strobel G (2006) Muscodor albus and its biological promise. J Ind Microbiol Biotechnol 33:514–522. doi:10.1007/s10295-006-0090-7
Suryanarayanan TS, Vijaykrishna D (2001) Fungal endophytes of aerial roots of Ficus benghalensis. Fungal Divers 8:155–161
Swadling IR, Jeffries P (1996) Isolation of microbial antagonists for biocontrol of grey mold disease of strawberries. Biocontrol Sci Technol 6:125–136. doi:10.1080/09583159650039584
Sylvester-Bradley R, Asakawa N, La Torraca S, Magalhães FMM, Oliveira L, Pereira RM (1982) Levantamento quantitativo de microrganismos solubilizadores de fosfatos na rizosfera de gramíneas e leguminosas forrageiras na Amazônia. Acta Amazon 12:15–22
Thomas P, Sekhar AC (2014) Live cell imaging reveals extensive intracellular cytoplasmic colonization of banana by normally non-cultivable endophytic bacteria. AoB Plants. doi:10.1093/aobpla/plu002
Torres AR, Araujo WL, Cursino L, Hungria M, Plotegher F, Mostasso FL, Azevedo JL (2008) Diversity of endophytic Enterobacteria associated with different host plants. J Microbiol 46:373–379. doi:10.1007/s12275-007-0165-9
Tsuge K, Akiyama T, Shoda M (2001) Cloning, sequencing, and characterization of the iturin A operon. J Bacteriol 183:6265–6273. doi:10.1128/JB.183.21.6265-6273.2001
Van der Putten WH, Klironomos JN, Wardle DA (2007) Microbial ecology of biological invasions. ISME J 1:28–37. doi:10.1038/ismej.2007.9
Westbrook R (1998) Invasive plants: weeds of the global garden. Brooklyn Botanical Garden, New York
White JF, Chen Q, Torres MS, Mattera R, Irizarry I, Tadych M, Bergen M (2015) Collaboration between grass seedlings and rhizobacteria to scavenge organic nitrogen in soils. AoB Plants. doi:10.1093/aobpla/plu093
White JF, Torres MS, Sullivan RF, Jabbour RE, Chen Q, Tadych M, Belanger FC (2014) Occurrence of Bacillus amyloliquefaciens as a systemic endophyte of vanilla orchids. Microsc Res Tech 77:874–885. doi:10.1002/jemt.22410
Whitehouse R (2006) Which ivy? Metula Books, London
Xu M, Sheng J, Chen L, Men Y, Gan L, Guo S, Shen L (2014) Bacterial community compositions of tomato (Lycopersicum esculentum Mill.) seeds and plant growth promoting activity of ACC deaminase producing Bacillus subtilis (HYT-12-1) on tomato seedlings. World J Microbiol Biotechnol 30:835–845. doi:10.1007/s11274-013-1486-y
Yoshida S, Hiradate S, Tsukamoto T, Hatakeda K, Shirata A (2001) Antimicrobial activity of culture filtrate of Bacillus amyloliquefaciens RC-2 isolated from mulberry leaves. Phytopathology 91:181–187. doi:10.1094/PHYTO.2001.91.2.181
Yu GY, Sinclair JB, Hartman GL, Bertagnolli BL (2002) Production of iturin A by Bacillus amyloliquefaciens suppressing Rhizoctonia solani. Soil Biol Biochem 34:955–963. doi:10.1016/S0038-0717(02)00027-5
Yuan ZL, Zhang CL, Lin FC (2010) Role of diverse non-systemic fungal endophytes in plant performance and response to stress: progress and approaches. J Plant Growth Regul 29:116–126. doi:10.1007/s00344-009-9112-9
Yuan J, Ruan Y, Wang B, Zhang J, Waseem R, Huang Q, Shen Q (2013) Plant growth-promoting rhizobacteria strain Bacillus amyloliquefaciens NJN-6-enriched bio-organic fertilizer suppressed Fusarium wilt and promoted the growth of banana plants. J Agric Food Chem 61:3774–3780. doi:10.1021/jf400038z
Zhang YF, He LY, Chen ZJ, Wang QY, Qian M, Sheng XF (2011) Characterization of ACC deaminase-producing endophytic bacteria isolated from copper-tolerant plants and their potential in promoting the growth and copper accumulation of Brassica napus. Chemosphere 83:57–62
Zhao P, Quan C, Jin L, Wang L, Wang J, Fan S (2013) Effects of critical medium components on the production of antifungal lipopeptides from Bacillus amyloliquefaciens Q-426 exhibiting excellent biosurfactant properties. World J Microbiol Biotechnol 29:401–409. doi:10.1007/s11274-012-1180-5
Acknowledgments
The Federal University of Mato Grosso (UFMT), Department of Plant Biology and Pathology of Rutgers University; The Brazilian National Council for Scientific and Technological Development (CNPq) for Post Doctoral Fellowship; International Institute of Science and Technology in Wetlands (INAU); and Sr. Qiang Chen for confocal microscopy assistance were acknowledged. The authors are also grateful to the support from the John E. and Christina C. Craighead Foundation, USDA-NIFA Multistate Project W3147, and the New Jersey Agricultural Experiment Station. Any use of trade, product or firm names is for descriptive purposes only and does not imply endorsement by the U.S. Government. This article is Contribution 1957 of the USGS Great Lakes Science Center.
Author information
Authors and Affiliations
Corresponding authors
Additional information
Responsible Editor: Jesus Mercado-Blanco.
Rights and permissions
About this article
Cite this article
Soares, M.A., Li, HY., Bergen, M. et al. Functional role of an endophytic Bacillus amyloliquefaciens in enhancing growth and disease protection of invasive English ivy (Hedera helix L.). Plant Soil 405, 107–123 (2016). https://doi.org/10.1007/s11104-015-2638-7
Received:
Accepted:
Published:
Issue Date:
DOI: https://doi.org/10.1007/s11104-015-2638-7


