Abstract
Background and aims
Further understanding the factors which influence cover crop decomposition is needed to tailor management practices to achieve production and environmental stewardship goals.
Methods
Short-term Nmin from warm-season cover crops in organic farming systems was assessed with a variety of field and lab-based measures including: residue biochemical composition, extractable inorganic N, ion-exchange resin membranes, potential Cmin and Nmin.
Results
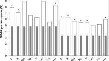
Residue biochemical composition and environmental conditions appeared to be the primary factors affecting short-term Nmin in our study. Legume-dominated cover crops demonstrated greater potential Nmin than grass cover crops with higher C:N ratios. However even cover crops with C:N ratios >40:1 were predicted to result in mean net Nmin rather than immobilization. Sorghum-sudangrass demonstrated a greater ability to moderate nitrate loss from the top 0–15 cm of soil over the fall season compared to the other cover crops evaluated.
Conclusions
The difference in potential Nmin of low and high C:N ratio cover crops was not as appreciable as expected. Our data suggests that the microbial community reduced its carbon use efficiency (CUE) due to suboptimal soil moisture. Further investigation into the impacts of soil moisture on residue decomposition in agroecosystems is needed to better understand and manage short-term C and N cycling.





Similar content being viewed by others
Explore related subjects
Discover the latest articles and news from researchers in related subjects, suggested using machine learning.Abbreviations
- Nmin :
-
Nitrogen mineralization
- Cmin :
-
Carbon mineralization
- PRS:
-
Plant root simulator probes
- CUE:
-
Carbon use efficiency
References
Abdul-Baki, Morse RD, Devine TE, Teasdale JR (1997) Broccoli production in forage soybean and foxtail millet cover crop mulches. HortSci 32(5):836–839
Alexander M (1977) Introduction to soil microbiology. John Wiley & Sons, NY
Baggie I, Rowell DL, Robinson JS, Warren GP (2004) Decomposition and phosphorus release from organic residues as affected by residue quality and added inorganic phosphorus. Agrofor Syst 63:125–131
Baligar VC, Fageria NK (2007) Agronomy and physiology of tropical cover crops. J Plant Nutr 30(8):1287–1339
Binkley D, Hart S (1989) The components of nitrogen availability assessments in forest soils. Adv in Soil Sci 10:57–116
Birkhofer K et al (2008) Long-term organic farming fosters below and aboveground biota: implications for soil quality, biological control and productivity. Soil Biol Biochem 40:2297–2308
Brinsfield R, Staver K (1991) Role of cover crops in reduction of cropland nonpoint source pollution. Final report to USDA/SCS, Cooperative Agreement #25087
Burger M, Jackson L (2003) Micorbial immobilization of ammonium and nitrate in relation to ammonification and nitrification rates in organic and conventional cropping systems. Soil Biol Biochem 35:29–36
Cambardella CA, Elliott ET (1993) Carbon and nitrogen mineralization in aggregates from cultivated and native grassland soils. Soil Sci Soc Am J 57:1071–1076
Coulibaly S, Pasquet RS, Papa R, Gents P (2002) AFLP analysis of the phenetic organization and genetic diversity ofVigna unguiculata L. Walp. reveals extensive gene flow between wild and domesticated types. Theor Appl Genet 104:358–366
Creamer NG, Baldwin KR (2000) An evaluation of summer cover crops for use in vegetable production systems in North Carolina. HortSci 35(4):600–603
Dabney SM, Delgado JA, Reeves DW (2001) Using winter cover crops to improve soil and water quality. Commun Soil Sci Plant Anal 32(7):1221–1250
De Vos JA, Heterberg D, Raats PAC (2000) Nitrate leaching in a tile-drained silt loam soil. Soil Sci Soc Am J 64:517–527
Drohan PJ, Buck BJ, Merkler DJ (2005) Suitability of the plant root simulator probe for use in the Mojave Desert. Soil Sci Soc Am J 69(5):1482–1491
Due M, Rattunde F, Chantereau J (2006) A global view of genetic diversity in cultivated sorghums using a core collection. Genome 49(2):168–180
Finney DM, Creamer NG, Schulteis JR, Wagger MG, Brownie C (2009) Sorghum sudangrass as a summer cover and hay crop for fall cabbage production. Renewable Agric Food Syst 24(3):225–233
Flieβbach A, Oberholzer HR, Gunst L, Mader P (2007) Soil organic matter and biological soil quality indicators after 21 years of organic and conventional farming. Agric Ecosyst Environ 118:273–284
Frankenberger WT Jr, Abdelmagid HM (1985) Kinetic parameters of nitrogen mineralization rates from leguminous crops incorporated into soil. Plant Soil 87:257–271
Franzluebbers K, Weaver RW, Juo ASR (1994) Mineralization of labeled N from cowpea [Vigna unguiculata (L.) Walp.] plant parts at two growth stages in sandy soil. Plant Soil 160:259–266
Goh KM, Tutuna SS (2004) Effects of organic and plant residue quality and orchard management practices on decomposition rates of residues. Commun Soil Sci Plant Anal 35:441–460
Gowik U, Westhoff P (2011) The path from C3 to C4 photosynthesis. Am Soc Plant Biol 155(1):56–63
Hart SC, Stark JM, Davidson EA, Firestone MK (1994) Nitrogen mineralization, immobilization, and nitrification. In: Methods of soil analysis, part 2. Microbiological and biochemical properties, p 985–1016. Soil Sci. Soc. of Am. Madison, WI
Hartwig NL, Ammon HU (2002) Cover crops and living mulches. Weed Sci 50(6):688–699
Herron PM, Stark JM, Holt C, Hooker T, Cardon ZG (2009) Microbial growth efficiencies across a soil moisture gradient assessed using 13C-acetic acid vapor and 15N-ammonia gas. Soil Biol Biochem 41:1262–1269
Indiati R, Neri U (2004) Time-dependent phosphorus extractability from soils treated with different fertilizer phosphorus sources. Commun Soil Sci Plant Anal 35:1741–1755
Iritani WM, Arnold CY (1959) Nitrogen release of vegetable crop residues during incubation as related to their chemical composition. Soil Sci 89:74–82
Janzen HH, Schaalje GB (1992) Barley response to nitrogen and non-nutritional benefits of legume green manure. Plant Soil 142:19–30
Johnson JM-F, Barbour NW, Weyers SL (2007) Chemical composition of crop biomass impacts its decomposition. Soil Sci Soc Am J 71(1):155–162
Justes E, Mary B, Nicolardot B (2009) Quantifying and modelling C and N mineralization kinetics of catch crop residues in soil: parameterization of the residue decomposition module of STICS model for mature and non mature residues. Plant Soil 325:171–185
Kuo S, Sainju UM (1998) Nitrogen mineralization and availability of mixed leguminous and nonleguminous cover crop residues in soil. Biol Fertil Soils 26:346–353
Lal R, Regnier E, Eckert DJ, Edwards WM, Hammond R (1991) Expectations of cover crops for sustainable agriculture. In: Hargrove WL (ed) Cover crops for clean water. SWCS, Ankeny, pp 1–11
Lewan E (1994) Effects of a catch crop on leaching of nitrogen from a sandy soil: simulations and measurements. Plant Soil 166:137–152
Lu H et al (2009) Earliest domestication of common millet (Panicum miliaceum) in East Asia extended to 10,000 years ago. Proc Natl Acad Sci 106(18):7367–7372
Lundquist E, Jackson L, Scow K, Hsu C (1999) Changes in microbial biomass and community composition, and soil carbon and nitrogen pools after incorporation of rye into three California agricultural soils. Soil Biol Biochem 31:221–236
Macdonald AJ, Poulton PR, Howe MT, Goulding KWT, Powlson DS (2005) The use of cover crops in cereal-based cropping systems to control nitrate leaching in SE England. Plant Soil 273:355–373
Manzoni S, Taylor P, Richter A, Porporato A, Agren G (2012) Environmental and stoichoimetric controls on microbial carbon-use efficiency in soils. New Phytol 196:79–91
Marschner H (1995) Mineral nutrition of higher plants. Academic Press, Elsevier Ltd., Oxford
Minderman G (1968) Addition, decomposition, and accumulation of organic matter in forests. J Ecol 56:355–362
Moyer JR, Blackshaw RE, Smith EG, McGinn SM (2000) Cereal cover crops for weed suppression in a summer fallow wheat cropping sequence. Can J Plant Sci 80:441–449
O’Connell S, Grossman JM, Hoyt GD, Shi W, Bowen S, Marticorena DC, Fager KL, Creamer NG (2014) A survey of cover crop practices and perceptions of sustainable farmers in North Carolina and the surrounding region. Renewable Agric Food Syst. doi:10.1017/S1742170514000398
Paul E (2007) Soil microbiology, ecology, and biochemistry, 3rd edn. Elsevier Inc, Oxford
Plante AF, Parton WJ (2007) The dynamics of soil organic matter and nutrient cycling. In: Soil microbiology, ecology, and biochemistry, 3rd edn. Elsevier Inc., Oxford, p 433–467
Qian P, Schoenau JJ (2005) Use of ion-exchange membrane to assess nitrogen-supply power of soils. J Plant Nutr 28:2193–2200
Robertson GP, Groffman PM (2007) Nitrogen transformations. In: Soil microbiology, ecology, and biochemistry, 3rd edn. Elsevier Inc., Oxford, p 341–364
Sarrantonio M (1994) Northeast cover crop handbook. Rodale Institute, Emmaus, pp 45–48
Sarrantonio M, Gallandt E (2003) The role of cover crops in North American cropping systems. J Crop Prod 8:53–74
State Climate Office of North Carolina (2010) North Carolina climate monthly newsletters. Feb. 2010–Jan. 2011. Available at: http://nc-climate.ncsu.edu/office/newsletters
Subler S, Parmelee R, Allen M (1995) Comparison of buried bag and PVC core methods for in situ measurement of nitrogen mineralization rates in an agricultural soil. Commun Soil Sci Plant Anal 26:2369–2381
Sylvia DM, Fuhrmann JJ, Hartel PG, Zuberer DA (2005) Principles and applications of soil microbiology, 2nd edn. Pearson Education, Upper Saddle River, pp 222–262
Tiemann LK, Billings SA (2011) Changes in variability of soil moisture alter microbial community C and N resource allocation. Soil Biol Biochem 43:1837–1847
Tisdale SL, Nelson WL (1975) Soil fertility and fertilizers, 3rd edn. Collier Macmillan Ltd., New York
USDA, Natural Resources Conservation Service (2005) Web soil survey. Available online at https://soilseries.sc.egov.usda.gov/OSD_Docs/W/WICKHAM.html. Accessed 01 May 2015
Vigil MF, Kissel DE (1991) Equations for estimating the amount of nitrogen mineralized from crop residues. Soil Sci Soc Am J 55:757–761
Wang G, Hutchinson CM, McGiffen ME Jr, Ngouajio M (2008) Summer cover crop and management system affect lettuce and cantaloupe production system. Agron J 6:1587–1593
Zibilske LM (1994) Carbon mineralization. In: Methods of soil analysis, part 2. Microbiological and biochemical properties, p 836–863. Soil Sci. Soc. of Am. Madison, WI
Acknowledgments
We would like to thank the Southern Sustainable Agriculture Research and Education program (SSARE) and the Organic Crop Improvement Association (OCIA) for their generous financial support. We also would like to thank NCDA/CEFS experiment station, the NCSU soil analytical lab and statistician Joy Smith for invaluable assistance, and multiple anonymous reviewers for their valuable input.
Author information
Authors and Affiliations
Corresponding author
Additional information
Responsible Editor: Johan Six.
One of the authors of this study, Ken Fager, has passed away since the project was completed. The authors would like to retain him as an author as he was integral to the success of this effort.
Rights and permissions
About this article
Cite this article
O’Connell, S., Shi, W., Grossman, J.M. et al. Short-term nitrogen mineralization from warm-season cover crops in organic farming systems. Plant Soil 396, 353–367 (2015). https://doi.org/10.1007/s11104-015-2594-2
Received:
Accepted:
Published:
Issue Date:
DOI: https://doi.org/10.1007/s11104-015-2594-2


