Abstract
Aims
Soil water repellency (SWR) in Mediterranean sub-humid environments is poorly studied in soils derived from basic bedrock. This study addressed this gap by comparing SWR in soil samples collected before/after a prescribed burning in a Mediterranean shrubland overlaying limestone.
Methods
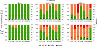
Sampling was performed on two adjacent slopes (NE/SW) underneath Quercus coccifera, Pistacia lentiscus, Arbutus unedo shrubs, and on bare inter-patches, at two depths (0–2 and 2–5 cm). Samples were sieved at <0.25, 0.25–1, 1–2 and <2 mm and SWR was assessed through the Water Drop Penetration Time (WDPT) in each fraction. Samples were analysed for pH, AS, CaCO3 and SOM.
Results
SWR was present before fire, mainly in the <0.25 and 0.25–1 mm fractions at 0–2 cm, which could be explained by SOM (amount and chemical composition). Persistence varied between the two slopes (NE > SW) and the four patches (Arbutus unedo > Pistacia lentiscus ≈ Quercus coccifera > Bare). The low-severity fire slightly increased SWR but did not affect the above-mentioned pre-fire differences.
Conclusions
The wax and resins from different shrub species have implications for SWR persistence on the finer soil fractions. Prescribed fire increased the severity of SWR at surface but also its frequency at the subsurface layer.





Similar content being viewed by others
Explore related subjects
Discover the latest articles and news from researchers in related subjects, suggested using machine learning.Abbreviations
- SWR:
-
Soil water repellency
- SMC:
-
Soil moisture content
- WDPT:
-
Water drop penetration time
- SOM:
-
Soil organic matter
- NE:
-
North-east
- SW:
-
South-west
- TC’s:
-
Thermocouples
- TP’s:
-
Thermo-sensitive paints
- AS:
-
Aggregate stability
- CaCO3 :
-
Carbonate content
References
Andreu V, Imeson AC, Rubio JL (2001) Temporal changes in soil aggregates and water erosion after a wildfire in Mediterranean pine forest. Catena 44:69–84
Arcenegui V, Mataix-Solera J, Guerrero C, Zornoza R, Mayoral AM, Morales J (2007) Factors controlling the water repellency induced by fire in calcareous mediterranean forest soils. Eur J Soil Sci 58:1254–1259
Arcenegui V, Mataix-Solera J, Guerrero C, Zornoza R, Mataix-Beneyto J, García-Orenes F (2008) Immediate effects of wildfires on water repellency and aggregate stability in Mediterranean calcareous soils. Catena 74:219–226
Bisdom EBA, Dekker LW, Schoute JFT (1993) Water repellency of sieve fractions from sandy soils and relationships with organic material and soil structure. Geoderma 56:105–118
Bochet E, García-Fayos P, Alborch B, Tormo J (2007) Soil water availability effects on seed germination account for species segregation in semiarid roadslopes. Plant Soil 295:179–191
Bodí MB, Muñoz-Santa I, Armero C, Doerr SH, Mataix-Solera J, Cerdà A (2013) Spatial and temporal variations of water repellency and probability of its occurrence in calcareous Mediterranean rangeland soils affected by fires. Catena 108:14–25
Bodí MB, Martin DA, Balfourd VN, Santín C, Doerr SH, Pereira P, Cerdà A, Mataix-Solera J (2014) Wildland fire ash: production, composition and eco-hydro-geomorphic effects. Earth Sci Rev 130:103–127
Boix-Fayos C, Calvo-Cases A, Imeson AC, Soriano-Soto MD (2001) Influence of soil properties on the aggregation of some Mediterranean soils and the use of aggregate size and stability as land degradation indicators. Catena 44:47–67
Campo J, Gimeno-García E, Andreu V, González-Pelayo O, Rubio JL (2008) Aggregation of under canopy and bare soils in a Mediterranean environment affected by different fire intensities. Catena 74(3):212–218
Campo J, Nierop KGJ, Cammeraat E, Andreu V, Rubio JL (2011) Application of pyrolysis-gas chromatography/mass spectrometry to study changes in the organic matter of macro- and microaggregates of a Mediterranean soil upon heating. J Chromatogr A 1218:4817–4827
Campo J, Gimeno-García E, Andreu V, González-Pelayo O, Rubio JL (2014) Cementing agents involved in the macro- and microaggregation of a Mediterranean shrubland soil under laboratory heating. Catena 113:165–176
Cerdà A (1998) Soil aggregate stability under different Mediterranean vegetation types. Catena 32(2):73–86
Cerdà A, Doerr SH (2007) Soil wettability, runoff and erodibility of major dry-mediterranean land use types on calcareous soils. Hydrol Process 21:2325–2336
De Blas E, Rodríguez-Alleres M, Almendros G (2010) Speciation of lipid and humic fractions in soils under pine and eucalyptus forest in northwest Spain and its effect on water repellency. Geoderma 155:242–248
Dekker LW, Ritsema CJ (1994) How water moves in a water repellent sandy soil. 1. Potential and actual water repellency. Water Resour Res 30:2507–2517
Dlapa P, Bodí MB, Mataix-Solera J, Cerdà A, Doerr SH (2013) FT-IR spectroscopy reveals that ash water repellency is highly dependent on ash chemical composition. Catena 108:35–43
Doerr SH, Thomas AD (2000) The role of soil moisture in controlling water repellency: new evidence from forest soils in Portugal. J Hydrol 231–232:134–147
Doerr SH, Shakesby RA, Walsh RPC (2000) Soil water repellency: its causes, characteristics and hydro-geomorphological significance. Earth Sci Rev 51:33–65
Doerr SH, Dekker LW, Shakesby RA, Ritsema CJ, Bryant R (2002) Water repellency of soils: the influence of ambient relative humidity. Soil Sci Soc Am J 66:401–405
Doerr SH, Douglas RC, Morley CP, Mullinger NJ, Bryant R, Shakesby RA (2005) Effects of heating and post-heating equilibration times on soil water repellency. Aust J Soil Res 43:261–267
Fernandes PM, Botelho HS (2003) A review of prescribed burning effectiveness in fire hazard reduction. Int J Wildland Fire 12:117–128
Gimeno-García E, Andreu V, Rubio JL (2004) Spatial patterns of soil temperatures during experimental fires. Geoderma 118:17–38
Gimeno-García E, Pascual JA, Llovet J (2011) Water repellency and moisture spatial variations under Rosmarinus officinalis and Quercus coccifera in a Mediterranean burned soil. Catena 85:48–77
González-Pelayo O, Andreu V, Gimeno-García E, Campo J, Rubio JL (2010a) Effects of fire and vegetation cover on hydrological characteristics of a Mediterranean shrubland soil. Hydrol Process 24:1504–1513
González-Pelayo O, Andreu V, Gimeno-García E, Campo J, Rubio JL (2010b) Rainfall influence on plot-scale runoff and soil loss from repeated burning in a Mediterranean-shrub ecosystem, Valencia, Spain. Geomorphology 118:444–452
González-Pérez JA, González-Vila FJ, Almendros G, Knicker H (2004) The effect of fire on soil organic matter—a review. Environ Int 30(6):855–870
Hubbert KR, Preisler HK, Wohlgemuth PM, Graham RC, Narog MG (2006) Prescribed burning effects on soil physical properties and soil water repellency in a steep chaparral watershed, southern California, USA. Geoderma 130:284–298
Imeson AC, Verstraten JM, van Mulligen EJ, Sevink J (1992) The effects of fire and water repellency on infiltration and runoff under Mediterranean type forest. Catena 19:345–361
IUSS Working Group WRB (2014) World Reference Base for Soil Resources (2014) International soil classification system for naming soils and creating legends for soil maps. World Soil Resources Reports No. 106. FAO, Rome
Jackson ML (1958) Soil chemical analysis. Prentice Hall Inc, London
Johansen MP, Hakonson TE, Whicker FW, Breshears DD (2003) Pulsed redistribution of a contaminant following forest fire. J Environ Qual 32:2150–2157
Jordán A, Martínez-Zavala L, Bellinfante N (2008) Heterogeneity in soil hydrological response from different land cover types in southern Spain. Catena 74:137–143
Kawamoto K, Moldrup P, Komatsu T, de Jonge LW, Oda M (2007) Water repellency of aggregate size fractions of a volcanic ash soil. Soil Sci Soc Am 71(6):1658–1666
Letey J (2001) Causes and consequences of fire-induced soil water repellency. Hydrol Process 15:2867–2875
Lozano E, Jiménez-Pinilla P, Mataix-Solera J, Arcenegui V, Bárcenas GM, González-Pérez JA, García-Orenes F, Torres MP, Mataix-Beneyto J (2013) Biological and chemical factors controlling the patchy distribution of soil water repellency among plant species in a Mediterranean semiarid forest. Geoderma 207–208:212–220
Maia P, Pausas JG, Arcenegui V, Guerrero C, Pérez-Bejarano A, Mataix-Solera J, Varela MET, Fernandes I, Pedrosa ET, Keizer JJ (2012) Wildfire effects on the soil seed bank of a maritime pine stand—the importance of fire severity. Geoderma 191:80–88
Malkinson D, Wittenberg L (2011) Post fire induced soil water repellency-modeling short and long-term processes. Geomorphology 125(1):186–192
MAPA (1986) Métodos oficiales de análisis (suelos). Ministerio de Agricultura, Pesca y Alimentación. Madrid, 531
Martínez-Murillo JF, Gabarrón-Galeote MA, Ruiz-Sinagoga JD (2013) Soil water repellency in Mediterranean rangelands under contrasted climatic, slope and patch conditions in southern Spain. Catena 110:196–206
Martínez-Zavala L, Jordán-López A (2009) Influence of different plant species on water repellency in mediterranean heatland soils. Catena 76:215–223
Mataix-Solera J, Doerr SH (2004) Hydrophobicity and aggregate stability in calcareous topsoils from fire-affected pine forest in southeastern Spain. Geoderma 118:77–88
Mataix-Solera J, Arcenegui V, Guerrero C, Mayoral AM, Morales J, González J, García-Orenes F, Gómez I (2007) Water repellency under different plant species in a calcareous forest soil in a semiarid mediterranean environment. Hydrol Process 21:2300–2309
Mataix-Solera J, Arcenegui V, Tessler N, Zornoza R, Wittenberg L, Martínez C, Caselles P, Pérez-Bejarano A, Malkinson D, Jordán MM (2013) Soil properties as key factors controlling water repellency in fire-affected areas: evidences from burned sites in Spain and Israel. Catena 108:6–13
Mazzoleni S, Bonanomi G, Giannino F, Incerti G, Dekker SC, Rietkerk M (2010) Modelling the effects of litter decomposition on tree diversity patterns. Ecol Model 221:2784–2792
Neinhuis C, Barthlott W (1997) Characterization and distribution of water-repellent, self-cleaning plant surfaces. Ann Bot 79:667–677
Paula S, Pausas JG (2008) Burning seeds: germinative response to heat treatments in relation to resprouting ability. J Ecol 96:543–552
Prats SA, MacDonald LH, Monteiro M, Ferreira AJD, Coelho COA, Keizer JJ (2012) Effectiveness of forest residue mulching in reducing post-fire runoff and erosion in a pine and a eucalypt plantation in north-central Portugal. Geoderma 191:115–124
Primo-Yufera E, Carrasco JM (1973) Química Agrícola I. Suelos y Fertilizantes. Alhambra, Madrid
Regalado CM, Ritter A (2005) Characterizing water dependent soil repellency with minimal parameter requirement. Soil Sci Soc Am 69(6):1955–1966
Robichaud PR, Hungerford RD (2000) Water repellency by laboratory burning of four northern Rocky mountain forest soils. J Hydrol 231–232:207–219
Rotondi A, Rossi F, Asunis C, Cesaraccio C (2003) Leaf xeromorphic adaptations of some plants of coastal Mediterranean macchia ecosystem. J Mediterr Ecol 4(3-4):25–35
Roy JL, McGill WB (2000) Flexible conformation in organic matter coatings: an hypothesis about soil water repellence. Can J Soil Sci 80:143–152
Santos JM, Verheijen FGA, Wahren FT, Wahren A, Feger KH, Bernard-Jannin L, Rial-Rivas ME, Keizer JJ, Nunes JP (2013) Soil water repellency dynamics in pine and eucalypt plantations in Portugal—a high resolution time series. Land Degrad Dev. doi:10.1002/ldr.2251
Shakesby RA, Bento CPM, Ferreira CSS, Ferreira AJD, Stoof CR, Urbanek E, Walsh RPD (2015) Impacts of prescribed fire on soil loss and soil quality: an assessment based on an experimentally-burned catchment in central Portugal. Catena 128:278–293
Stoof CR, Moore D, Ritsema CJ, Dekker LW (2011) Natural and fire-induced soil water repellency in a Portuguese shrubland. Soil Sci Soc Am J 75(6):2283–2295
Stoof CR, Moore D, Fernandes PM, Stoorvogel JJ, Fernandes RES, Ferreira AJD, Ritsema CJ (2013) Hot fire, cool soil. Geophys Res Lett 40:1–6
Tessler N, Wittenberg L, Malkinson D, Greenbaum N (2008) Fire effects and short-term changes in soil water repellency—Mt. Carmel, Israel. Catena 74:185–191
Úbeda X, Lorca M, Outeiro LR, Bernia S, Castellnou M (2005) Effects of prescribed fire on soil quality in Mediterranean grassland (Prades Mountains, north-east Spain). Int J Wildland Fire 14:379–384
Vadilonga T, Úbeda X, Germann PF, Lorca M (2008) Effects of prescribed burnings on soil hydrological parameters. Hydrol Process 22:4249–4256
Valette J, Gomendi V, Marechal J, Houssard C, Guillon D (1994) Heat transfer in the soil during very low-intensity experimental fires: the role of duff and soil moisture content. Int J Wildland Fire 4(4):225–237
Verheijen FGA, Cammeraat LH (2007) The association between three dominant shrub species and water repellent soil, along a range of soil moisture contents in semi-arid Spain. Hydrol Process 21:2310–2316
Vilén T, Fernandes PM (2011) Forest fires in Mediterranean countries: CO2 emissions and mitigation possibilities through prescribed burning. Environ Manag 48:558–567
Zavala LM, Granged AJP, Jordán A, Bárcenas-Moreno G (2010) Effect of burning temperature on water repellency and aggregate stability in forest soils under laboratory conditions. Geoderma 158:366–374
Acknowledgments
The authors are grateful for the financial support from Agreement Generalitat Valenciana-CSIC in CIDE (2005020112) “Impacto de los incendios forestales repetidos sobre los procesos de erosión hídrica del suelo y la recuperación de la cubierta vegetal. Seguimiento y evaluación en una estación permanente de campo”. We also thank to CERNAS (in Escola Superior Agrária de Coimbra) and CESAM (in University of Aveiro) for the technical support performed through the DESIRE project (FP6-2005-Global-4. Combat land degradation and Desertification). People involved in floristic/soil surveys were Pedro Bingre de Amaral, Marta López, Erica Castanheira, Manuela Carreiras, Tanya Esteves, Celia Bento, Vitor Tomé and Simon Drooger. The main author also thanks to Ana Vasques, Bruno Moreira, Maruxa Malvar, Sergio Prats, and the anonymous referees for their useful comments that mostly improved this manuscript. Acknowledgements are extended to the FLOPEN forestry association, headed by Ing. João Ribeiro, for the prescribed fire management.
Author information
Authors and Affiliations
Corresponding author
Additional information
Responsible Editor: Rafael S. Oliveira.
Rights and permissions
About this article
Cite this article
González-Pelayo, O., Gimeno-García, E., Ferreira, C.S.S. et al. Water repellency of air-dried and sieved samples from limestone soils in central Portugal collected before and after prescribed fire. Plant Soil 394, 199–214 (2015). https://doi.org/10.1007/s11104-015-2515-4
Received:
Accepted:
Published:
Issue Date:
DOI: https://doi.org/10.1007/s11104-015-2515-4
