Abstract
Aims
Replenishment of soils with carbon (C) produced during photosynthesis plays an important role in global C cycling. Nitrogen (N) fertilization is critical for rice production, but its effects on the deposition of photosynthesis-derived C into soil C pools is poorly understood. To address this, we used continuous 14C-labeling to quantify the deposition of photosynthesis-derived C into various soil organic pools in a rice-soil system.
Methods
Rice (Oryza sativa L.) was continuously supplied with 14C-labeled CO2 (14C-CO2) for 36 days, with increasing N fertilizer rates (0 [N0], 10 [N10], 20 [N20], or 40 mg N kg−1 soil [N40], respectively).
Results
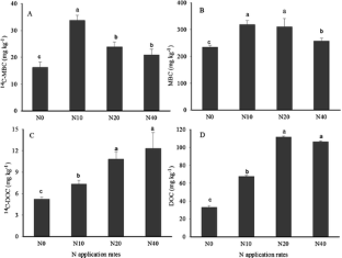
Rice shoot and root biomass significantly increased following N fertilization. The amount of photosynthesis-derived C converted into soil organic carbon (14C-SOC) was proportional to the soil N concentration, and accounted for 8.0–19.3 % of rice biomass C. The 14C-SOC content was positively correlated with the rice root biomass, suggesting that N increased root exudation of photosynthesis-derived C. The amounts of 14C-labeled C in the dissolved organic carbon (14C-DOC) and in the microbial biomass carbon (14C-MBC), as proportions of 14C-SOC, were 3.9–7.8 and 6.6–24.0 %, respectively. The 14C-DOC, 14C-MBC, and 14C-SOC as proportions of total DOC, MBC, and SOC were 9.7–11.6, 6.9–10.6, and 0.37–1.71 %, respectively.
Conclusions
Nitrogen fertilization promotes deposition of photosynthesis-derived C into SOC pools in a rate-dependent manner. However, the 14C-MBC as a proportion of both 14C-SOC (14C-MBC/14C-SOC) and MBC (14C-MBC/MBC) increase during rice growth at lower N concentrations.




References
Amiotte-suchet P, Linglois N, Leveque J, Andreux F (2007) 13C composition of dissolved organic carbon in upland forested catchments of the Morvan Mountains (France): influence of coniferous and deciduous vegetation. J Hydrol 335:354–363
Anderson EL (1988) Tillage and N fertilization effects on maize root growth and root: shoot ratio. Plant Soil 108:245–251
Boddy E, Hill PW, Farrar J, Jones DL (2007) Fast turnover of low molecular weight components of the dissolved organic carbon pool of temperate grassland field soils. Soil Biol Biochem 39:827–835
Bolan NS, Baskaran S, Thiagarajan S (1996) An evaluation of the methods of measurement of dissolved organic carbon in soils, manures, sludges, and stream water. Commun Soil Sci Plant Anal 27:2723–2737
Cai ZC, Qin SW (2006) Dynamics of crop yields and soil organic carbon in a long-term fertilization experiment in the Huang-Huai-Hai Plain of China. Geoderma 136(3):708–715
Carter MR (2002) Soil quality for sustainable land management: organic matter and aggregation interactions that maintain soil functions. Agron J 94:38–47
Chantigny MH, Angers DA, Prévost D, Simarda RR, Chalifourb FP (1999) Dynamics of soluble organic C and C mineralization in cultivated soils with varying N fertilization. Soil Biol Biochem 31(4):543–550
Dijkstra FA, Cheng WX, Johnson DW (2006) Plant biomass influences rhizosphere priming effects on soil organic matter decomposition in two differently managed soils. Soil Biol Biochem 38:2519–2526
FAO (2011) Rice market monitor. April 2011. XIV(2). P2. http://www.fao.org/docrep/014/am491e/am491e00.pdf
Farrar J, Hawes M, Jones D, Lindow S (2003) How roots control the flux of carbon to the rhizosphere. Ecology 84:827–837
Gavrichkova O, Kuzyakov Y (2008) Ammonium versus nitrate nutrition of Zea mays and Lupinus albus: effect on root-derived CO2 efflux. Soil Biol Biochem 40:2835–2842
Ge TD, Yuan HZ, Zhu HH, Wu XH, Nie SA, Liu C, Tong CL, Wu JS, Brookes PC (2012) Biological carbon assimilation and dynamics in a flooded rice–soil system. Soil Biol Biochem 48:39–46
Ge TD, Wu XH, Chen XJ, Yuan HZ, Zou ZY, Li BZ, Zhou P, Liu SL, Tong CL, Brookes PC, Wu JS (2013) Microbial phototrophic fixation of atmospheric CO2 in China subtropical upland and paddy soils. Geochim Cosmochim Acta 113:70–78
Gong ZT, Zhang GL, Chen ZC (eds) (2009) Pedogenesis and soil taxonomy. Science Press, Beijing, pp 613–626, in Chinese
He JS, Wang ZQ, Fang JY (2004) Issues and prospects of belowground ecology with special reference to global climate change. Chin Sci Bull 49:1226–1233
Hütsch BW, Augustin J, Merbach W (2002) Plant rhizodeposition-an important source for carbon turnover in soils. J Plant Nutr Soil Sci 165:397–407
Johansson G (1992) Release of organic C from growing roots of meadow fescue Festuca pratensis. Soil Biol Biochem 24(5):427–433
Kaštovská E, Šantrůčková H (2007) Fate and dynamics of recently fixed C in pasture plant–soil system under field conditions. Plant Soil 300:61–69
Kuzyakov Y, Jones DL (2006) Glucose uptake by maize roots and its transformation in the rhizosphere. Soil Biol Biochem 38:851–860
Kuzyakov Y, Kretzschmar A, Stahr K (1999) Contribution of Lolium perenne rhizodeposition to carbon turnover of pasture soil. Plant Soil 213:127–136
Kuzyakov Y, Biryukova O, Kuznetzova T, Mölter K (2002a) Carbon partitioning in plant soil, carbon dioxide fluxes and enzyme activities as affected by cutting ryegrass. Biol Fertil Soils 35:348–358
Kuzyakov Y, Siniakina SV, Ruehlmann J, Domanski G, Stahr K (2002b) Effect of nitrogen fertilization on below-ground carbon allocation in lettuce. J Sci Food Agric 82:432–1441
Liljeroth E, Kuikman P, Van Veen JA (1994) Carbon translocation to the rhizosphere of maize and wheat and influence on the turnover of native soil organic matter at different soil nitrogen levels. Plant Soil 161:233–240
Lu YH, Watanabe A, Kimura M (2002a) Input and distribution of photosynthesized carbon in a flooded rice soil. Global Biogeochem Cy 16:1085
Lu YH, Watanabe A, Kimura M (2002b) Contribution of plant-derived carbon to soil microbial biomass dynamics in a paddy rice microcosm. Biol Fertil Soils 36:136–142
Lu YH, Watanabe A, Kimura M (2004) Contribution of plant photosynthates to dissolved organic carbon in a flooded rice soil. Biogeochemistry 71:1–15
Nguyen C (2003) Rhizodeposition of organic C by plants: mechanisms and controls. Agronomie 23:375–396
Pan GX, Wu LS, Li LQ, Zhang XH, Gong W, Yvonne W (2008) Organic carbon stratification and size distribution of three typical paddy soils from Taihu Lake region, China. J Environ Sci 20:456–463
Rasse DP, Rumpel C, Dignac MF (2005) Is soil carbon mostly root carbon? Mechanisms for a specific stabilization. Plant Soil 269:341–356
Saggar S, Hedley C, Mazchzy AD (1997) Partitioning and translocation of photosynthetically fixed 14C in grazed hill pastures. Biol Fertil Soils 25:152–158
Swinnen J, van Veen JA, Merckx R (1994a) 14C pulse-labeling of field growth spring wheat: an evaluation of its use in rhizosphere carbon budget estimations. Soil Biol Biochem 26:161–170
Swinnen J, van Veen JA, Merckx R (1994b) Rhizosphere carbon fluxes in field-grown spring wheat: model calculations based on 14C partitioning after pulse-labelling. Soil Biol Biochem 26:171–182
Tian J, Dippold M, Pausch J, Blagodatskay E, Fan M, Li XL, Kuzyakov Y (2013a) Microbial response to rhizodeposition depending on water regimes in paddy soils. Soil Biol Biochem 65:195–203
Tian J, Pausch J, Fan MS, Li XL, Tang QY, Kuzyakov Y (2013b) Allocation and dynamics of assimilated carbon in rice-soil system depending on water management. Plant Soil 363:273–285
van Ginkel JH, Gorissen A, Polci D (2000) Elevated atmospheric carbon dioxide concentration: effects of increased carbon input in a Lolium perenne soil on microorganisms and decomposition. Soil Biol Biochem 32:449–456
Walker TS, Bais HP, Grotewold E, Vivanco JM (2003) Root exudates and rhizosphere biology. Plant Physiol 132:44–51
Wang HJ, Liu QH, Shi XZ, Yu DS, Zhao YC, Sun WX, Darilek JL (2007) Carbon storage and spatial distribution patterns of paddy soils in China. Front Agric China 1:149–154
Weintraub MN, Scott-Denton LE, Schmidt SK, Monson RK (2007) The effects of tree rhizodeposition on soil exoenzyme activity, dissolved organic carbon, and nutrient availability in a subalpine forest ecosystem. Oecologia 154(2):327–338
Wu JS (2011) Carbon accumulation in paddy ecosystems in subtropical China: evidence from landscape studies. Eur J Soil Sci 62:29–34
Wu JS, O’Donnell AG (1997) Procedure for the simultaneous analysis of total and radioactive carbon in soil and plant materials. Soil Biol Biochem 29:199–202
Wu JS, Joergensen RG, Pommerening B, Chaussod R, Brookes PC (1990) Measurement of soil microbial biomass C by fumigation-extraction–an automated procedure. Soil Biol Biochem 22:1167–1169
Wu XH, Ge TD, Yuan HZ, Li BZ, Zhu HH, Zhou P, Sui FG, O’Donnell AG, Wu JS (2014) Changes in bacterial CO2 fixation with depth in agricultural soils. Appl Microbiol Biotechnol 98:2309–2319
Yuan HZ, Ge TD, Zou SY, Wu XH, Liu SL, Zhou P, Chen XJ, Brookes P, Wu JS (2013) Effect of land use on the abundance and diversity of autotrophic bacteria as measured by ribulose-1, 5-biphosphate carboxylase/oxygenase (RubisCO) large-subunit gene abundance in soils. Biol Fertil Soils 49:609–616
Zagal E (1994) Carbon distribution and nitrogen partitioning in a soil-plant system with barley (Hordeum vulgare L.), ryegrass (Lolium perenne) and rape (Brassica napus L.) grown in a 14CO2-atmosphere. Plant Soil 166:63–74
Zagal E, Bjarnason S, Olsson U (1993) Carbon and nitrogen in the root-zone of barley (Hordeum vulgare L.) supplied with nitrogen fertilizer at two rates. Plant Soil 157:51–63
Zagal E, Rydberg I, Martensson A (2001) Carbon distribution and variations in nitrogen-uptake between catch crop species in pot experiments. Soil Biol Biochem 33:523–532
Acknowledgments
This study was supported financially by the Strategic Priority Research Program of the Chinese Academy of Sciences (XDB15020401), the National Natural Science Foundation of China (41301275; 41430860) and the Research Fund of State Key Laboratory of Soil and Sustainable Agriculture, Nanjing Institute of Soil Science, Chinese Academy of Science (Y412201410). We thank Editage for editorial assistance.
Author information
Authors and Affiliations
Corresponding authors
Additional information
Responsible Editor: Kees Jan van Groenigen.
Rights and permissions
About this article
Cite this article
Ge, T., Liu, C., Yuan, H. et al. Tracking the photosynthesized carbon input into soil organic carbon pools in a rice soil fertilized with nitrogen. Plant Soil 392, 17–25 (2015). https://doi.org/10.1007/s11104-014-2265-8
Received:
Accepted:
Published:
Issue Date:
DOI: https://doi.org/10.1007/s11104-014-2265-8