Abstract
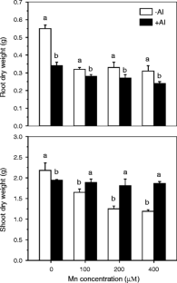
Aluminum (Al) and manganese (Mn) toxicity are two main constraints to crop production in some acid soils. In the present study, hydroponic experiments were conducted to investigate the phytoxicity caused by the metals Al and Mn in the Al-sensitive soybean (Glycine max) cultivar Jilin62. Results showed that more than 80% of the total cellular Al accumulated in the cell walls of the root tissue. Excessive Mn supply significantly increased the Al level in the root and aggravated Al toxicity, and as the result leading to a stronger inhibition of the root-elongation rate and root-biomass production. No obvious change of Al concentration was detected in root-cell organelles and soluble fractions. Interestingly, Al-induced increase in cell wall pectin content in the root was further enhanced by addition of Mn, which might explain how Mn aggravated Al toxicity. In addition, it was found that high levels of Al significantly alleviated Mn toxicity symptoms like brown spots on the old leaves, crinkle on the young leaves and shoot growth inhibition. This Al reduced Mn toxicity was related to the decrease of Mn content in shoots under combined Al and Mn stress. Lanthanum (La3+), which has similar chemical properties as Al, can also reduce Mn toxicity and Mn accumulation in the plant. Thus, it is speculated that Al exerts an antagonistic effect on Mn uptake, and thus leads to alleviated Mn toxicity.










Similar content being viewed by others
References
Adams F (1984) Crop response to lime in the Southern United States. In: Adams F (ed) Soil acidity and liming. 2nd edn. Amer Soc Agron, Crop Sci Soc Amer, and Soil Sci Soc Amer, Madison, Wisconsin, pp 211–265
Ahn SJ, Sivaguru M, Chung GC, Rengel Z, Matsumoto H (2002) Aluminium-induced growth inhibition is associated with impaired efflux and influx of H+ across the plasma membrane in root apices of squash (Cucurbita pepo). J Environ Qual 53:1959–1966
Bidwell SD, Woodrow IE, Batianoff GN, Sommer-Knudsen J (2002) Hyperaccumulation of manganese in the rainforest tree Austromyrtus bidwillii (Myrtaceae) from Queensland, Australia. Funct Plant Biol 29:899–905. doi:10.1071/PP01192
Blair LM, Taylor GJ (1997) The nature of interaction between aluminum and manganese on growth and metal accumulation in Triticum aestivum. Environ Exp Bot 37:25–37. doi:10.1016/S0098-8472(96)01036-2
Blamey FPC, Edmeades DC, Wheeler DM (1990) Role of cation-exchange capacity in differential aluminum tolerance of Lotus species. J Plant Nutr 13:729–744. doi:10.1080/01904169009364112
Bortner CE (1935) Toxicity of manganese to Turkish tobacco in acid Kentucky soils. Soil Sci 39:15–33. doi:10.1097/00010694-193501000-00003
Bromfield SM, Cumming RW, David DJ, Williams CH (1983) Change in soil pH, manganese and aluminium under subterranean clover pasture. Aust J Exp Agric Anim Husb 23:181–191. doi:10.1071/EA9830181
Chang YC, Yamamoto Y, Matsumoto H (1999) Accumulation of aluminum in the cell wall pectin in cultured tobacco (Nicotiana tabacum L.) cells treated with a combination of aluminum and iron. Plant Cell Environ 22:1009–1017. doi:10.1046/j.1365-3040.1999.00467.x
Chinese National Soil Survey Office (1998) Soil of China (in Chinese). Chinese Agricultural, Beijing, pp 95–96. pp 950
Clark RB (1977) Effect of aluminum on growth and mineral elements of Al-tolerant and Al-intolerant corn. Plant Soil 47:653–662. doi:10.1007/BF00011034
Clarkson DT (1967) Interaction between aluminium and phosphorus on root surfaces and cell wall material. Plant Soil 27:347–356. doi:10.1007/BF01376328
Culvenor RA (1985) Tolerance of Phalaris aquatica L. lines and some other agricultural species to excess manganese, and the effect of aluminium on manganese tolerance in P. aquatica. Aust J Agric Res 36:695–708. doi:10.1071/AR9850695
Delhaize E, Ryan PR (1995) Aluminum toxicity and tolerance in plants. Plant Physiol 107:315–321
Dolling PJ, Moody P, Noble A, Helyar K, Hughes B, Reuter D, Sparrow L (2001) Soil acidity and acidification in Australia. National Land & Water Resources Audit Project Report: Canberra
Eticha D, Stass A, Horst WJ (2005) Cell-wall pectin and its degree of methylation in the maize root-apex: significance for genotypic differences in aluminium resistance. Plant Cell Environ 28:1410–1420. doi:10.1111/j.1365-3040.2005.01375.x
Foy CD (1984) Physiological effects of hydrogen, aluminum, and manganese toxicities in acid soil. In: Adams F (ed) Soil acidity and liming. 2nd edn. Amer Soc Agron, Crop Sci Soc Amer, and Soil Sci Soc Amer, Madison, Wisconsin, pp 57–97
González A, Steffen KL, Lynch JP (1998) Light and excess manganese: implications for oxidative stress in common bean. Plant Physiol 118:493–504. doi:10.1104/pp.118.2.493
Horst WJ (1995) The role of the apoplast in aluminium toxicity and resistance of higher plants: a review. Z. Pflanzenernähr. Bodenkd 158:419–428. doi:10.1002/jpln.19951580503
Horst WJ, Asher CJ, Cakmak I, Szulkiewicz P, Wissemeier AH (1992) Short-term responses of soybean roots to aluminium. J Plant Physiol 140:174–178
Hossain AKMZ, Ohno T, Koyama H, Hara T (2005) Effect of enhanced calcium supply on aluminum toxicity in relation to cell wall properties in the root apex of two wheat cultivars differing in aluminum resistance. Plant Soil 276:193–204. doi:10.1007/s11104-005-4390-2
Huang CY (2000) Soil science (in Chinese). Chinese Agricultural, Beijing, p 189
Hue NV, Vega S, Silva JA (2001) Manganese toxicity in a Hawaiian oxisol affected by soil pH and organic amendments. Soil Sci Soc Am J 65:153–160
Ishikawa S, Wagatsuma T, Ikarashi T (1996) Comparative toxicity of Al3+, Yb3+, and La3+ to root-tip cells differing in tolerance to high Al3+ in terms of ionic potentials of dehydrated trivalent cations. Soil Sci Plant Nutr 42:613–625
Khan AA, McNeilly T (1998) Variability in aluminium and manganese tolerance among maize accessions. Genet Resour Crop Evol 45:525–531. doi:10.1023/A:1008699817089
Kinraide TB (1991) Identity of the rhizotoxic aluminium species. Plant Soil 134:167–178
Kinraide TB (2003) Toxicity factors in acidic forest soils: attempts to evaluate separately the toxic effects of excessive Al3+ and H+ and insufficient Ca2+ and Mg2+ upon root elongation. Eur J Eur Soil Sci 54:323–333. doi:10.1046/j.1365-2389.2003.00538.x
Kochian LV, Hoekenga OA, Piñeros MA (2004) How do crop plants tolerate acid soils? Mechanisms of aluminum tolerance and phosphorous efficiency. Annu Rev Plant Biol 55:459–493. doi:10.1146/annurev.arplant.55.031903.141655
Kochian LV, Miguel A, Piñeros MA, Hoekenga OA (2005) The physiology, genetics and molecular biology of plant aluminum resistance and toxicity. Plant Soil 274:175–195. doi:10.1007/s11104-004-1158-7
Lancaster JD, Gholston LE (1953) Crinkle leaf of cotton corrected by use of lime. Miss Farm Res 16:7
Marienfeld S, Schmohl N, Klein M, Schröder WH, Kuhn AJ, Horst WJ (2000) Localisation of aluminium in root tips of Zea mays and Vicia faba. J Plant Physiol 156:666–671
Marschner H (1995) Mineral nutrition of higher plants, 2nd edn. Academic, London, pp 324–333. pp 605–626
Martini JA, Kochhann RA, Siqueira OJ, Borkert CM (1974) Response of soybeans to liming as related to soil acidity, aluminum and manganese toxicities, and phosphorous in some Oxisols of Brazil. Soil Sci Sco Am Proc 38:616–620
Memon AR, Yatazawa M (1984) Nature of manganese complexes in the manganese accumulator plant-Acanthopanax sciadophylloides. J Plant Nutr 7:961–964. doi:10.1080/01904168409363257
Mimmo T, Marzadori C, Gessa CE (2008) Does the degree of pectin esterification influence aluminium sorption by the root apoplast? Plant Soil doi:10.1007/s11104-008-9715-0
Parker DR, Norvell WA, Chaney RL (1995) GEOCHEM-PC: a chemical speciation program for IBM and compatible computers. In: Loeppert RH, Schwab AP, Goldberg S (ed) Chemical equilibrium and reaction models. SSSA Special Publication No 42, ASA/SSSA, Madison, WI, pp 253–269
Pittman JK (2005) Managing the manganese: molecular mechanisms of manganese transport and homeostasis. New Phytol 167:733–742. doi:10.1111/j.1469-8137.2005.01453.x
Ryan PR, Kochian LV (1993) Interaction between aluminium toxicity and calcium uptake at the root apex in near-isogenic lines of wheat (Triticum aestivum L.) differing in aluminium tolerance. Plant Physiol 102:975–982
Schmohl N, Horst WJ (2000) Cell wall pectin content modulates aluminium sensitivity of Zea mays (L.) cell grown in suspension culture. Plant Cell Environ 23:735–742. doi:10.1046/j.1365-3040.2000.00591.x
Silva IR, Smyth TJ, Raper CD, Carter TE, Rufty TW (2001) Differential aluminum tolerance in soybean: an evaluation of the role of organic acids. Physiol Plant 112:200–210. doi:10.1034/j.1399-3054.2001.1120208.x
Taylor GJ, Blamey FPC, Edwards DG (1998) Antagonistic and synergistic interaction between aluminum and manganese on growth of Vigna unguiculata at low ionic strength. Physiol Plant 104:183–194. doi:10.1034/j.1399-3054.1998.1040206.x
Taylor GJ, McDonald-Stephens JL, Hunter DB, Bertsch DM, Elmore D, Rengel Z, Reid RJ (2000) Direct measurement of aluminium uptake and distribution in single cells of Chara corallina. Plant Physiol 123:987–996. doi:10.1104/pp.123.3.987
Von Uexküll HR, Mutert E (1995) Global extent, development and economic impact of acid soils. Plant Soil 171:1–15. doi:10.1007/BF00009558
Wang Y, Stass A, Horst WJ (2004) Apoplastic binding of aluminum is involved in silicon-induced amelioration of aluminum toxicity in maize. Plant Physiol 136:3762–3770. doi:10.1104/pp.104.045005
Weigel HJ, Jäger HJ (1980) Subcellular distribution and chemical form of cadmium in bean plants. Plant Physiol 65:480–482
Yang ZM, Sivaguru M, Horst WJ, Matsumoto H (2000) Aluminum tolerance is achieved by exudation of citric acid from roots of soybean (Glycine max). Physiol Plant 110:72–77. doi:10.1034/j.1399-3054.2000.110110.x
You JF, He YF, Yang JL, Zheng SJ (2005) A comparison of aluminum resistance among Polygonum species originating on strongly acidic and neutral soils. Plant Soil 276:143–151. doi:10.1007/s11104-005-3786-y
Zheng SJ, Ma JF, Matsumot H (1998) Continuous secretion of organic acids is related to aluminium resistance during relatively long-term exposure to aluminium stress. Physiol Plant 103:209–214. doi:10.1034/j.1399-3054.1998.1030208.x
Zheng SJ, Lin XY, Yang JL, Liu Q, Tang CX (2004) The kinetics of aluminum adsorption and desorption by root cell walls of an aluminum resistant wheat (Triticum aestivum L.) cultivar. Plant Soil 261:85–90. doi:10.1023/B:PLSO.0000035576.71760.2b
Zhong H, Läuchli A (1993) Changes of cell wall composition and polymer size in primary roots of cotton seedlings under high salinity. J Exp Bot 44:773–778. doi:10.1093/jxb/44.4.773
Acknowledgements
Financial support for this research was provided by the National Natural Science Foundation of China (No. 30671241).
Author information
Authors and Affiliations
Corresponding author
Additional information
Responsible Editor: Robert Reid.
Rights and permissions
About this article
Cite this article
Yang, Z.B., You, J.F., Xu, M.Y. et al. Interaction between aluminum toxicity and manganese toxicity in soybean (Glycine max). Plant Soil 319, 277–289 (2009). https://doi.org/10.1007/s11104-008-9869-9
Received:
Accepted:
Published:
Issue Date:
DOI: https://doi.org/10.1007/s11104-008-9869-9


